Diffusion-Weighted MRI and Diffusion Kurtosis Imaging to Detect RAS Mutation in Colorectal Liver Metastasis
Simple Summary
Abstract
1. Introduction
2. Materials and Methods
2.1. Dataset Characteristics
2.2. MR Imaging Protocol
2.3. Data Analysis
DWI Features
2.4. Statistical Analysis
2.4.1. Univariate Analysis
2.4.2. Multivariate Analysis
3. Results
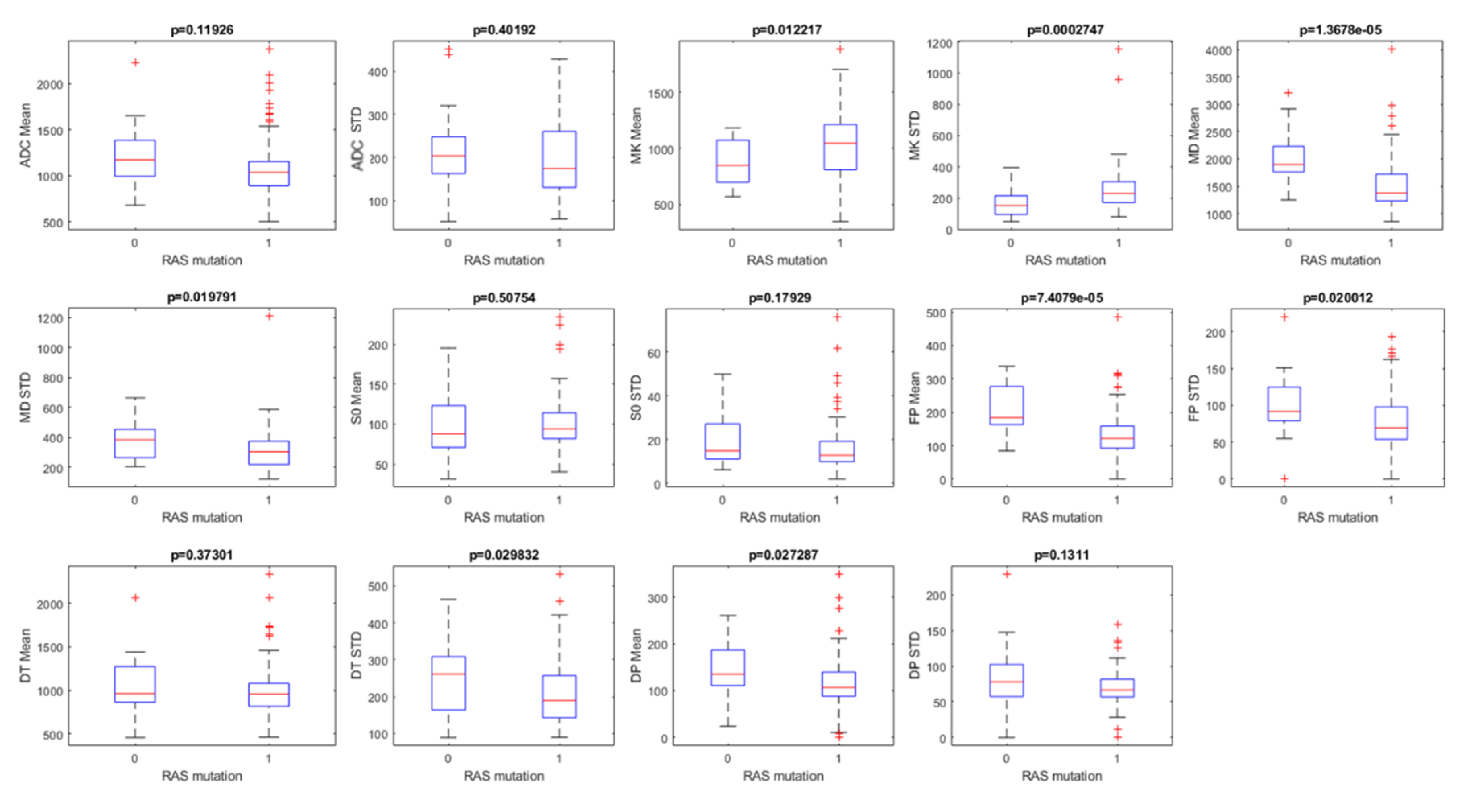
3.1. Univariate Analysis Results
3.2. Multivariate Analysis Results
4. Discussion
5. Conclusions
Author Contributions
Funding
Conflicts of Interest
Abbreviations
| ACC | accuracy | 
| ADC | apparent diffusion coefficient | 
| AUC | area under ROC curve | 
| AT | Acquisition time | 
| CRC | colorectal cancer | 
| DP | pseudo-diffusion coefficient | 
| DT | pure tissue coefficient | 
| DWI | diffusion-weighted imaging | 
| DKI | Diffusion Kurtosis Imaging | 
| EPI | echo-pulse planar sequence | 
| FA | Flip angle | 
| FP | perfusion fraction | 
| FS | fat-suppressed | 
| HASTE | Half-Fourier Acquisition Single-Shot Turbo Spin-Echo | 
| IVIM | Intravoxel Incoherent Motion method | 
| KNN | K-Nearest Neighbor | 
| MD | the mean value of diffusion coefficient with the correction of non-Gaussian bias | 
| MK | mean value of kurtosis coefficient | 
| MRI | Magnetic Resonance Imaging | 
| NPV | negative predictive value | 
| PPV | positive predictive value | 
| ROI | Regions of interest | 
| ROC | Receiver operating characteristic | 
| SEN | sensitivity | 
| SPAIR | Spectral adiabatic inversion recovery | 
| SPEC | specificity | 
| STD | standard deviation | 
| ST | Slice thickness | 
| TE | Echo time | 
| TR | Repetition time | 
| VIBE | Volumetric Interpolated Breath-hold Examination | 
| VOI | Volume of interest | 
References
- Lambin, P.; Leijenaar, R.T.; Deist, T.M.; Peerlings, J.; De Jong, E.E.; Van Timmeren, J.E.; Sanduleanu, S.; LaRue, R.T.; Even, A.J.; Jochems, A.; et al. Radiomics: The bridge between medical imaging and personalized medicine. Nat. Rev. Clin. Oncol. 2017, 14, 749–762. [Google Scholar] [CrossRef] [PubMed]
 - Limkin, E.J.C.; Sun, R.; Dercle, L.; Zacharaki, E.I.; Robert, C.; Reuzé, S.; Schernberg, A.; Paragios, N.; Deutsch, E.; Ferté, C. Promises and challenges for the implementation of computational medical imaging (radiomics) in oncology. Ann. Oncol. 2017, 28, 1191–1206. [Google Scholar] [CrossRef] [PubMed]
 - Verma, V.; Simone, C.B., 2nd; Krishnan, S.; Lin, S.H.; Yang, J.; Hahn, S.M. The rise of radiomics and implications for oncologic management. J. Natl. Cancer Inst. 2017, 109, djx055. [Google Scholar] [CrossRef]
 - Calin, G.A.; Croce, C.M. MicroRNA signatures in human cancers. Nat. Rev. Cancer 2006, 6, 857–866. [Google Scholar] [CrossRef]
 - Campbell, P.J.; Yachida, S.; Mudie, L.J.; Stephens, P.J.; Pleasance, E.D.; Stebbings, L.A.; Morsberger, L.A.; Latimer, C.; McLaren, S.; Lin, M.-L.; et al. The patterns and dynamics of genomic instability in metastatic pancreatic cancer. Nature 2010, 467, 1109–1113. [Google Scholar] [CrossRef]
 - Verma, V.; Lautenschlaeger, T. MicroRNAs in non-small cell lung cancer invasion and metastasis: From the perspective of the radiation oncologist. Expert Rev. Anticancer Ther. 2016, 16, 767–774. [Google Scholar] [CrossRef] [PubMed]
 - Shi, L.; He, Y.; Yuan, Z.; Benedict, S.; Valicenti, R.; Qiu, J.; Rong, Y. Radiomics for response and outcome assessment for non-small cell lung cancer. Technol. Cancer Res. Treat. 2018, 17, 1533033818782788. [Google Scholar] [CrossRef] [PubMed]
 - Fujiyoshi, K.; Yamamoto, G.; Takahashi, A.; Arai, Y.; Yamada, M.; Kakuta, M.; Yamaguchi, K.; Akagi, Y.; Nishimura, Y.; Sakamoto, H.; et al. High concordance rate of KRAS/BRAF mutations and MSI-H between primary colorectal cancer and corresponding metastases. Oncol. Rep. 2016, 37, 785–792. [Google Scholar] [CrossRef] [PubMed]
 - Nakayama, I.; Shinozaki, E.; Matsushima, T.; Wakatsuki, T.; Ogura, M.; Ichimura, T.; Ozaka, M.; Takahari, D.; Suenaga, M.; Chin, K.; et al. Retrospective study of RAS/PIK3CA/BRAF tumor mutations as predictors of response to first-line chemotherapy with bevacizumab in metastatic colorectal cancer patients. BMC Cancer 2017, 17, 38. [Google Scholar] [CrossRef]
 - Karapetis, C.S.; Khambata-Ford, S.; Jonker, D.J.; O’Callaghan, C.J.; Tu, D.; Tebbutt, N.C.; Simes, R.J.; Chalchal, H.; Shapiro, J.D.; Robitaille, S.; et al. K-ras mutations and benefit from cetuximab in advanced colorectal cancer. N. Engl. J. Med. 2008, 359, 1757–1765. [Google Scholar] [CrossRef]
 - Sorich, M.J.; Wiese, M.D.; Rowland, A.; Kichenadasse, G.; McKinnon, R.A.; Karapetis, C.S. Extended RAS mutations and anti-EGFR monoclonal antibody survival benefit in metastatic colorectal cancer: A meta-analysis of randomized, controlled trials. Ann. Oncol. 2015, 26, 13–21. [Google Scholar] [CrossRef] [PubMed]
 - Baselga, J. The EGFR as a target for anticancer therapy—Focus on cetuximab. Eur. J. Cancer 2001, 37, 16–22. [Google Scholar] [CrossRef]
 - Lovinfosse, P.; Koopmansch, B.; Lambert, F.; Jodogne, S.; Kustermans, G.; Hatt, M.; Visvikis, D.; Seidel, L.; Polus, M.; Albert, A.; et al. (18)F-FDG PET/CT imaging in rectal cancer: Relationship with the RAS mutational status. Br. J. Radiol. 2016, 89, 20160212. [Google Scholar] [CrossRef] [PubMed]
 - Jo, S.J.; Kim, S.H. Association between oncogenic RAS mutation and radiologic-pathologic findings in patients with primary rectal cancer. Quant. Imaging Med. Surg. 2019, 9, 238–246. [Google Scholar] [CrossRef] [PubMed]
 - Le Bihan, D.; Breton, E.; Lallemand, D.; Aubin, M.L.; Vignaud, J.; Laval-Jeantet, M. Separation of diffusion and perfusion in intravoxel incoherent motion MR imaging. Radiology 1988, 168, 497–505. [Google Scholar] [CrossRef]
 - Le Bihan, D.; Breton, E.; Lallemand, D.; Grenier, P.; Cabanis, E.; Laval-Jeantet, M. MR imaging of intravoxel incoherent motions: Application to diffusion and perfusion in neurologic disorders. Radiology 1986, 161, 401–407. [Google Scholar] [CrossRef] [PubMed]
 - Saito, K.; Tajima, Y.; Harada, T.L. Diffusion-weighted imaging of the liver: Current applications. World J. Radiol. 2016, 8, 857–867. [Google Scholar] [CrossRef]
 - Yoshimaru, D.; Takatsu, Y.; Suzuki, Y.; Miyati, T.; Hamada, Y.; Funaki, A.; Tabata, A.; Maruyama, C.; Shimada, M.; Tobari, M.; et al. Diffusion kurtosis imaging in the assessment of liver function: Its potential as an effective predictor of liver function. Br. J. Radiol. 2019, 92, 20170608. [Google Scholar] [CrossRef]
 - Luciani, A.; Vignaud, A.; Cavet, M.; Van Nhieu, J.T.; Mallat, A.; Ruel, L.; Laurent, A.; Deux, J.-F.; Brugieres, P.; Rahmouni, A. Liver cirrhosis: Intravoxel incoherent motion MR imaging—Pilot study. Radiology 2008, 249, 891–899. [Google Scholar] [CrossRef]
 - Wirestam, R.; Borg, M.; Brockstedt, S.; Lindgren, A.; Holtas, S.; Stahlberg, F. Perfusion-related parameters in intravoxel incoherent motion MR imaging compared with CBV and CBF measured by dynamic susceptibility contrast MR technique. Acta Radiol. 2001, 42, 123–128. [Google Scholar] [CrossRef]
 - Granata, V.; Fusco, R.; Catalano, O.; Guarino, B.; Granata, F.; Tatangelo, F.; Avallone, A.; Piccirillo, M.; Palaia, R.; Izzo, F.; et al. Intravoxel incoherent motion (IVIM) in diffusion-weighted imaging (DWI) for Hepatocellular carcinoma: Correlation with histologic grade. Oncotarget 2016, 7, 79357–79364. [Google Scholar] [CrossRef] [PubMed]
 - Granata, V.; Fusco, R.; Catalano, O.; Filice, S.; Amato, D.M.; Nasti, G.; Avallone, A.; Izzo, F.; Petrillo, A. Early assessment of colorectal cancer patients with liver metastases treated with antiangiogenic drugs: The role of intravoxel incoherent motion in diffusion-weighted imaging. PLoS ONE 2015, 10, e0142876. [Google Scholar] [CrossRef] [PubMed]
 - Koh, D.-M.; Collins, D.J.; Orton, M.R. Intravoxel incoherent motion in body diffusion-weighted MRI: Reality and challenges. Am. J. Roentgenol. 2011, 196, 1351–1361. [Google Scholar] [CrossRef] [PubMed]
 - Jensen, J.H.; Helpern, J.A. MRI quantification of non-Gaussian water diffusion by kurtosis analysis. NMR Biomed. 2010, 23, 698–710. [Google Scholar] [CrossRef] [PubMed]
 - Granata, V.; Fusco, R.; Catalano, O.; Avallone, A.; Palaia, R.; Botti, G.; Tatangelo, F.; Granata, F.; Cascella, M.; Izzo, F.; et al. Diagnostic accuracy of magnetic resonance, computed tomography and contrast enhanced ultrasound in radiological multimodality assessment of peribiliary liver metastases. PLoS ONE 2017, 12, e0179951. [Google Scholar] [CrossRef]
 - Benjamini, Y.; Hochberg, Y. Controlling the false discovery rate: A practical and powerful approach to multiple testing. J. R. Stat. Soc. 1995, 57, 289–300. [Google Scholar] [CrossRef]
 - Fusco, R.; Sansone, M.; Filice, S.; Carone, G.; Amato, D.M.; Sansone, C.; Petrillo, A. Pattern recognition approaches for breast cancer DCE-MRI classification: A systematic review. J. Med Boil. Eng. 2016, 36, 449–459. [Google Scholar] [CrossRef]
 - Yang, W.; Wang, K.; Zuo, W. Neighborhood component feature selection for high-dimensional data. J. Comput. 2012, 7, 7. [Google Scholar] [CrossRef]
 - Gültekin, M.A.; Türk, H.M.; Beşiroğlu, M.; Toprak, H.; Yurtsever, I.; Yilmaz, T.F.; Sharifov, R.; Uysal, Ö. Relationship between KRAS mutation and diffusion weighted imaging in colorectal liver metastases; Preliminary study. Eur. J. Radiol. 2020, 125, 108895. [Google Scholar] [CrossRef]
 - Zhang, B.; Tian, J.; Dong, D.; Gu, D.; Dong, Y.; Zhang, L.; Lian, Z.; Liu, J.; Luo, X.; Pei, S.; et al. Radiomics features of multiparametric MRI as novel prognostic factors in advanced nasopharyngeal carcinoma. Clin. Cancer Res. 2017, 23, 4259–4269. [Google Scholar] [CrossRef]
 - Oh, J.E.; Kim, M.J.; Lee, J.; Hur, B.Y.; Kim, B.; Kim, D.Y.; Baek, J.Y.; Chang, H.J.; Park, S.C.; Oh, J.H.; et al. Magnetic resonance-based texture analysis differentiating KRAS mutation status in rectal cancer. Cancer Res. Treat. 2019, 52, 51–59. [Google Scholar] [CrossRef] [PubMed]
 - Cui, Y.; Yang, X.; Shi, Z.; Yang, Z.; Du, X.; Zhao, Z.; Cheng, X. Radiomics analysis of multiparametric MRI for prediction of pathological complete response to neoadjuvant chemoradiotherapy in locally advanced rectal cancer. Eur. Radiol. 2018, 29, 1211–1220. [Google Scholar] [CrossRef]
 - Becker, A.S.; Schneider, M.A.; Wurnig, M.C.; Wagner, M.; Clavien, P.A.; Boss, A. Radiomics of liver MRI predict metastases in mice. Eur. Radiol. Exp. 2018, 2, 11. [Google Scholar] [CrossRef] [PubMed]
 - Hectors, S.J.; Wagner, M.; Bane, O.; Besa, C.; Lewis, S.; Remark, R.; Chen, N.; Fiel, M.I.; Zhu, H.; Gnjatic, S.; et al. Quantification of hepatocellular carcinoma heterogeneity with multiparametric magnetic resonance imaging. Sci. Rep. 2017, 7, 2452. [Google Scholar] [CrossRef] [PubMed]
 - Kiryu, S.; Akai, H.; Nojima, M.; Hasegawa, K.; Shinkawa, H.; Kokudo, N.; Yasaka, K.; Ohtomo, K. Impact of hepatocellular carcinoma heterogeneity on computed tomography as a prognostic indicator. Sci. Rep. 2017, 7, 12689. [Google Scholar] [CrossRef]
 - Xia, W.; Chen, Y.; Zhang, R.; Yan, Z.; Zhou, X.; Zhang, B.; Gao, X. Radiogenomics of hepatocellular carcinoma: Multiregion analysis-based identification of prognostic imaging biomarkers by integrating gene data—A preliminary study. Phys. Med. Boil. 2018, 63, 035044. [Google Scholar] [CrossRef]
 - Akai, H.; Yasaka, K.; Kunimatsu, A.; Nojima, M.; Kokudo, T.; Kokudo, N.; Hasegawa, K.; Abe, O.; Ohtomo, K.; Kiryu, S. Predicting prognosis of resected hepatocellular carcinoma by radiomics analysis with random survival forest. Diagn. Interv. Imaging 2018, 99, 643–651. [Google Scholar] [CrossRef]
 - Zhou, Y.; He, L.; Huang, Y.; Chen, S.; Wu, P.; Ye, W.; Liu, Z.; Liang, C. CT-based radiomics signature: A potential biomarker for preoperative prediction of early recurrence in hepatocellular carcinoma. Abdom. Radiol. 2017, 42, 1695–1704. [Google Scholar] [CrossRef]
 - Frankel, T.; Vakiani, E.; Nathan, H.; DeMatteo, R.P.; Kingham, T.P.; Allen, P.J.; Jarnagin, W.R.; Kemeny, N.E.; Solit, D.B.; D’Angelica, M.I. Mutation location on the RAS oncogene affects pathologic features and survival after resection of colorectal liver metastases. Cancer 2017, 123, 568–575. [Google Scholar] [CrossRef]
 - Teng, H.-W.; Huang, Y.-C.; Lin, J.-K.; Chen, W.-S.; Lin, T.-C.; Jiang, J.-K.; Yen, C.; Li, A.F.-Y.; Wang, H.-W.; Chang, S.-C.; et al. BRAF mutation is a prognostic biomarker for colorectal liver metastasectomy. J. Surg. Oncol. 2012, 106, 123–129. [Google Scholar] [CrossRef]
 - Tsilimigras, D.I.; Ntanasis-Stathopoulos, I.; Bagante, F.; Moris, D.; Cloyd, J.M.; Spartalis, E.; Pawlik, T.M. Clinical significance and prognostic relevance of KRAS, BRAF, PI3K and TP53 genetic mutation analysis for resectable and unresectable colorectal liver metastases: A systematic review of the current evidence. Surg. Oncol. 2018, 27, 280–288. [Google Scholar] [CrossRef] [PubMed]
 





| Patients with RAS Mutation | Patients with Wild-Type | All Patients | |
|---|---|---|---|
| Patients Description | Numbers (%)/Range | ||
| Gender | Men 15 (53.6%) | Men 12 (50.0%) | Men 27 (51.9%) | 
| Women 13 (46.4%) | Women 12 (50.0%) | Women 25 (48.1%) | |
| Age | 58 y; range: 36–79 y | 59 y; range: 37–80 y | 59 y; range: 36–80 y | 
| Primary Cancer Site | |||
| Colon | 15 (53.6%) | 13 (54.2%) | 28 (53.8%) | 
| Rectum | 13 (46.4%) | 11(45.8%) | 24 (46.2%) | 
| Hepatic Metastases Description | |||
| Patients with single nodule | 11 (39.3%) | 9 (37.5%) | 20 (38.5%) | 
| Patients with multiple nodules | 17 (60.7%) | 15(62.5%) | 32 (61.5%)/range: 2–15 metastases | 
| Nodule size (mm) | mean size 35.2 mm; range 19–54 mm | mean size 33.7 mm; range 18–52 mm | mean size 34.4 mm; range 18–54 mm | 
| Sequence | Orientation | TR/TE/FA (ms/ms/deg.) | AT (min) | Acquisition Matrix | ST/Gap (mm) | FS | 
|---|---|---|---|---|---|---|
| Trufisp T2-W | Coronal | 4.30/2.15/80 | 0.46 | 512 × 512 | 4/0 | without | 
| HASTE T2-W | Axial | 1500/90/170 | 0.36 | 320 × 320 | 5/0 | without and with (SPAIR) | 
| HASTE T2-W | Coronal | 1500/92/170 | 0.38 | 320 × 320 | 5/0 | without | 
| In-Out phase T1-W | Axial | 160/2.35/70 | 0.33 | 256 × 192 | 5/0 | without | 
| DWI | Axial | 7500/91/90 | 7 | 192 × 192 | 3/0 | with (SPAIR) | 
| Vibe T1-W | Axial | 4.80/1.76/12 | 0.18 | 320 × 260 | 3/0 | with (SPAIR) | 
| ADC Mean [mm2/s × 10−6] | ADC STD [mm2/s × 10−6] | MK Mean [× 10−3] * | MK STD [× 10−3] * | MD Mean [mm2/s × 10−6] | MD STD [mm2/s × 10−6] | S0 Mean [*] | S0 STD [*] | FP Mean [%] | FP STD [%] | DT Mean [mm2/s × 10−6] | DT STD [mm2/s × 10−6] | DP Mean [mm2/s × 10−5] | DP STD [mm2/s × 10−5] | ||
|---|---|---|---|---|---|---|---|---|---|---|---|---|---|---|---|
| No RAS Mutation | Mean | 1193.38 | 213.81 | 879.27 | 162.14 | 2017.08 | 374.18 | 97.56 | 20.34 | 202.42 | 96.34 | 1049.34 | 251.51 | 142.36 | 82.88 | 
| Median | 1174.40 | 203.80 | 846.60 | 152.60 | 1898.30 | 384.30 | 87.60 | 14.80 | 183.80 | 91.70 | 960.50 | 261.00 | 135.10 | 77.80 | |
| Standard Deviation | 327.82 | 94.99 | 193.49 | 84.38 | 463.51 | 123.39 | 36.53 | 12.48 | 72.61 | 46.11 | 324.33 | 90.55 | 59.89 | 50.25 | |
| Interquartile range | 417.50 | 91.45 | 381.40 | 122.95 | 475.20 | 195.05 | 55.05 | 17.30 | 121.15 | 46.35 | 417.65 | 154.25 | 82.65 | 47.40 | |
| RAS Mutation | Mean | 1107.09 | 194.93 | 1025.01 | 259.83 | 1537.75 | 316.69 | 102.26 | 17.27 | 138.28 | 79.82 | 1010.55 | 211.69 | 116.72 | 68.60 | 
| Median | 1037.80 | 174.20 | 1044.50 | 229.50 | 1374.10 | 304.10 | 94.00 | 12.80 | 122.20 | 69.30 | 957.00 | 188.90 | 106.80 | 66.40 | |
| Standard Deviation | 373.93 | 80.87 | 304.05 | 166.81 | 559.97 | 152.54 | 39.32 | 13.17 | 80.12 | 43.09 | 342.71 | 91.55 | 60.31 | 30.11 | |
| Interquartile range | 267.30 | 130.70 | 406.20 | 135.00 | 495.40 | 159.70 | 33.10 | 9.70 | 70.10 | 44.30 | 277.10 | 116.10 | 52.30 | 25.10 | |
| AUC | Sensitivity | Specificity | PPV | NPV | Accuracy | Cut-off | |
|---|---|---|---|---|---|---|---|
| ADC Mean | 0.61 | 0.52 | 0.76 | 0.45 | 0.81 | 0.70 | 1157.41 | 
| ADC STD | 0.56 | 0.76 | 0.45 | 0.34 | 0.83 | 0.53 | 166.70 | 
| MK Mean | 0.80 | 0.72 | 0.85 | 0.85 | 0.69 | 0.79 | 203.90 | 
| MK STD | 0.27 | 0.06 | 1.00 | 1.00 | 0.46 | 0.48 | 3218.51 | 
| MD Mean | 0.80 | 0.84 | 0.73 | 0.54 | 0.92 | 0.77 | 1694.30 | 
| MD STD | 0.66 | 0.56 | 0.78 | 0.48 | 0.83 | 0.72 | 377.11 | 
| S0 Mean | 0.45 | 0.32 | 0.78 | 0.35 | 0.75 | 0.65 | 117.10 | 
| S0 STD | 0.59 | 0.48 | 0.76 | 0.43 | 0.80 | 0.68 | 19.60 | 
| FP Mean | 0.77 | 0.84 | 0.73 | 0.54 | 0.92 | 0.75 | 148.30 | 
| FP STD | 0.66 | 0.76 | 0.63 | 0.43 | 0.88 | 0.66 | 79.10 | 
| DT Mean | 0.56 | 0.44 | 0.81 | 0.46 | 0.79 | 0.71 | 1100.62 | 
| DT STD | 0.65 | 0.56 | 0.76 | 0.47 | 0.82 | 0.71 | 258.40 | 
| DP Mean | 0.65 | 0.76 | 0.58 | 0.40 | 0.87 | 0.63 | 113.60 | 
| DP STD | 0.60 | 0.68 | 0.58 | 0.38 | 0.83 | 0.61 | 69.30 | 
© 2020 by the authors. Licensee MDPI, Basel, Switzerland. This article is an open access article distributed under the terms and conditions of the Creative Commons Attribution (CC BY) license (http://creativecommons.org/licenses/by/4.0/).
Share and Cite
Granata, V.; Fusco, R.; Risi, C.; Ottaiano, A.; Avallone, A.; De Stefano, A.; Grimm, R.; Grassi, R.; Brunese, L.; Izzo, F.; et al. Diffusion-Weighted MRI and Diffusion Kurtosis Imaging to Detect RAS Mutation in Colorectal Liver Metastasis. Cancers 2020, 12, 2420. https://doi.org/10.3390/cancers12092420
Granata V, Fusco R, Risi C, Ottaiano A, Avallone A, De Stefano A, Grimm R, Grassi R, Brunese L, Izzo F, et al. Diffusion-Weighted MRI and Diffusion Kurtosis Imaging to Detect RAS Mutation in Colorectal Liver Metastasis. Cancers. 2020; 12(9):2420. https://doi.org/10.3390/cancers12092420
Chicago/Turabian StyleGranata, Vincenza, Roberta Fusco, Chiara Risi, Alessandro Ottaiano, Antonio Avallone, Alfonso De Stefano, Robert Grimm, Roberta Grassi, Luca Brunese, Francesco Izzo, and et al. 2020. "Diffusion-Weighted MRI and Diffusion Kurtosis Imaging to Detect RAS Mutation in Colorectal Liver Metastasis" Cancers 12, no. 9: 2420. https://doi.org/10.3390/cancers12092420
APA StyleGranata, V., Fusco, R., Risi, C., Ottaiano, A., Avallone, A., De Stefano, A., Grimm, R., Grassi, R., Brunese, L., Izzo, F., & Petrillo, A. (2020). Diffusion-Weighted MRI and Diffusion Kurtosis Imaging to Detect RAS Mutation in Colorectal Liver Metastasis. Cancers, 12(9), 2420. https://doi.org/10.3390/cancers12092420
        
