Prognostic Value of Lymph Node-To-Primary Tumor Standardized Uptake Value Ratio in Esophageal Squamous Cell Carcinoma Treated with Definitive Chemoradiotherapy
Abstract
1. Introduction
2. Results
2.1. Patient and Treatment Characteristics
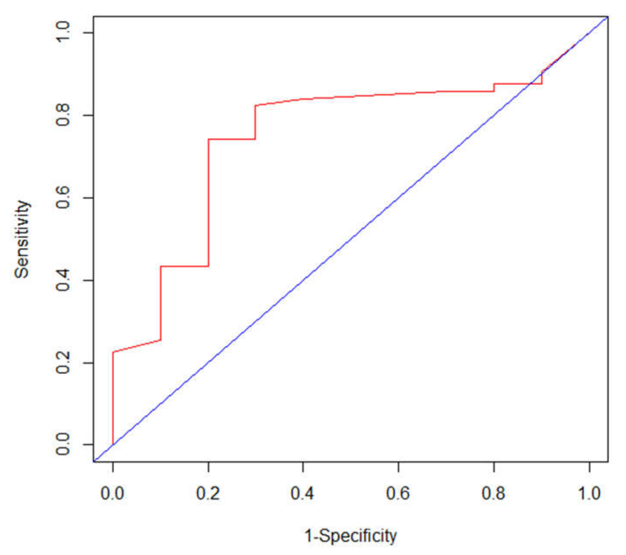
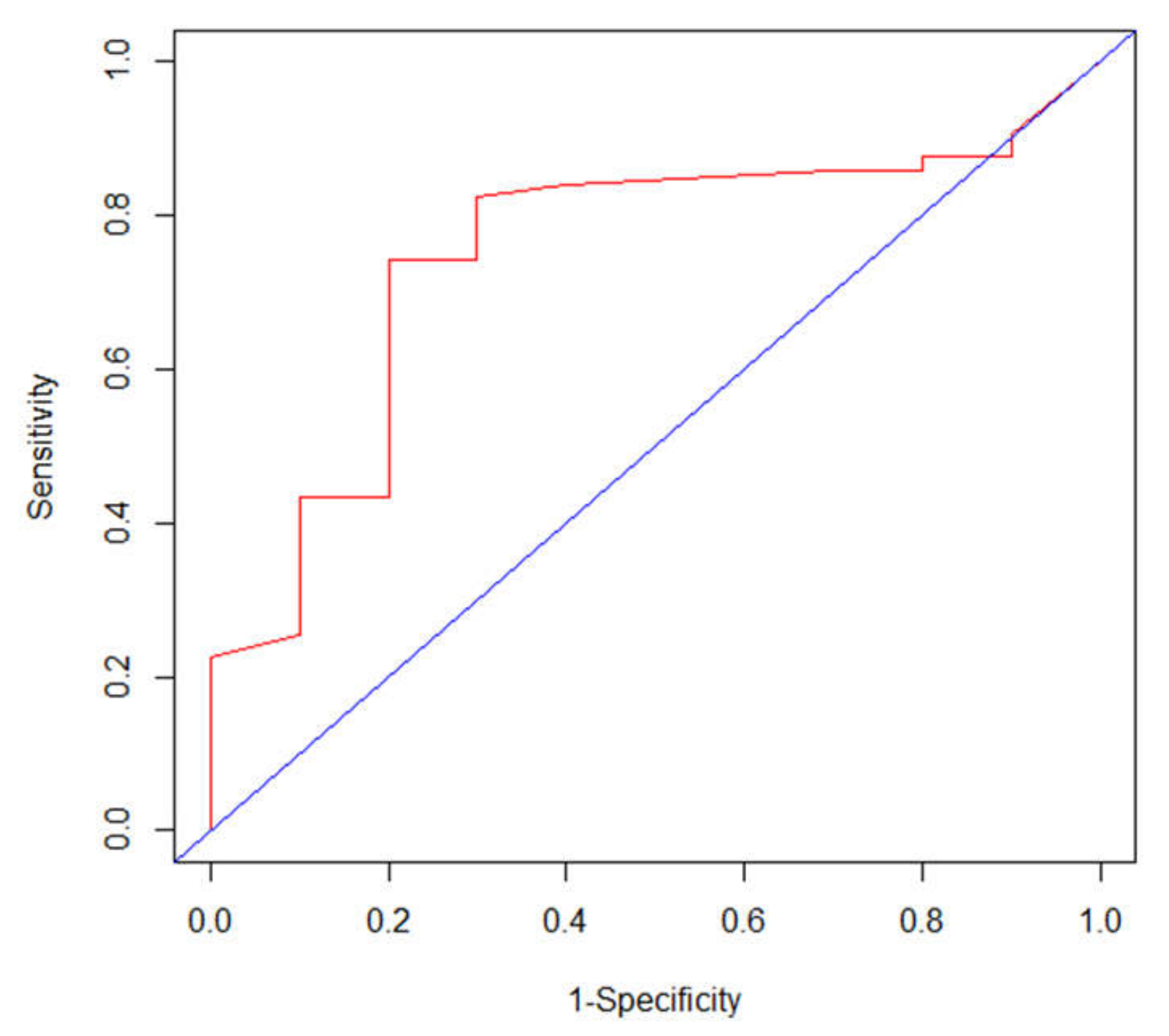
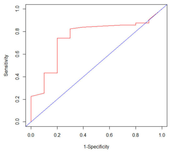
2.2. Measurement of Cutoff Values for FDG-PET Parameters
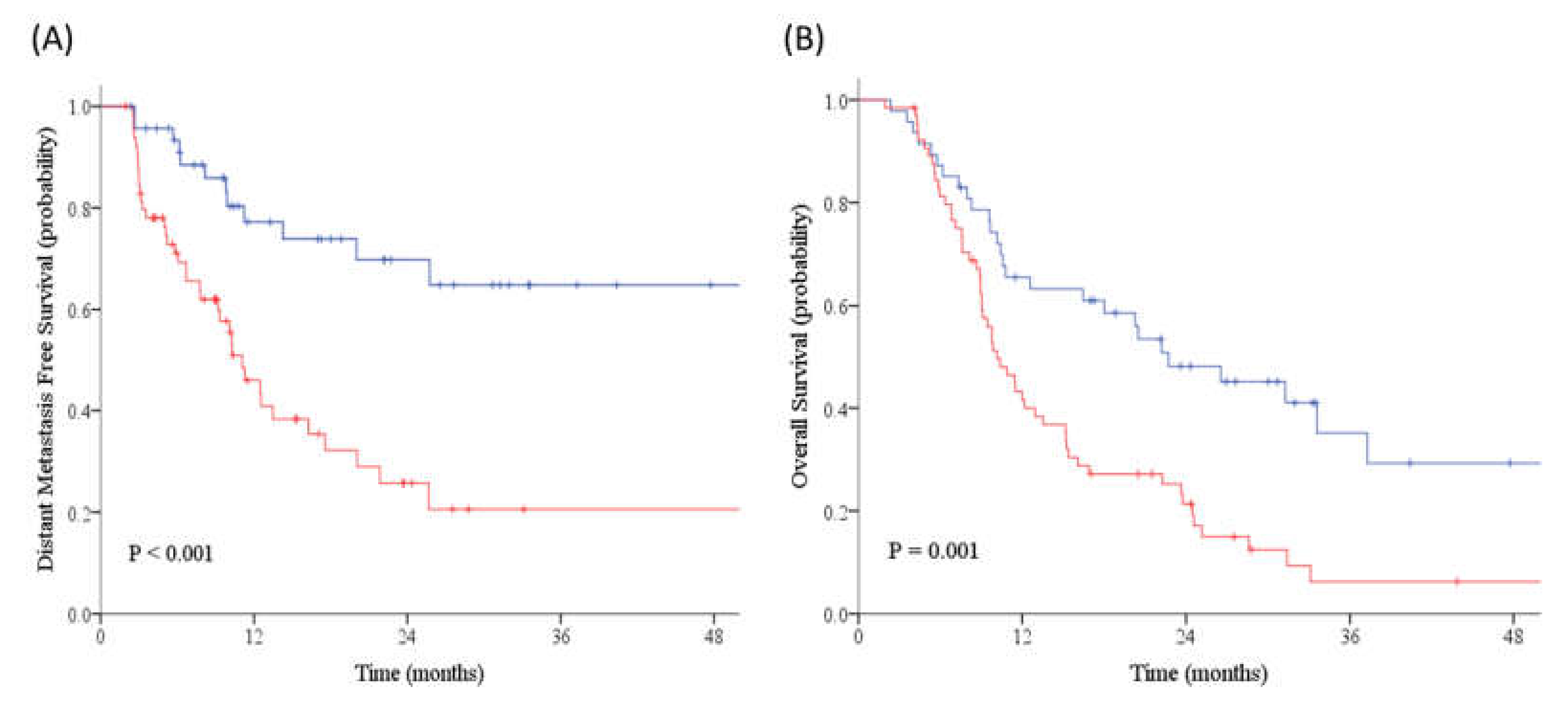
2.3. Survival Analyses
2.4. Correlations between Parameters Evaluated by FDG-PET and Clinicopathological Features
2.5. Evaluation of Prognostic Factors of DMFS and OS
3. Discussion
4. Materials and Methods
4.1. Patient Selection
4.2. Treatment
4.3. FDG-PET/CT
4.4. Post-Therapy Surveillance and Clinical Endpoints
4.5. Statistical Analysis
5. Conclusions
Author Contributions
Funding
Acknowledgments
Conflicts of Interest
References
- Rice, T.W.; Rusch, V.W.; Apperson-Hansen, C.; Allen, M.S.; Chen, L.Q.; Hunter, J.G.; Kesler, K.A.; Law, S.; Lerut, T.E.; Reed, C.E.; et al. Worldwide esophageal cancer collaboration. Dis. Esophagus 2009, 22, 1–8. [Google Scholar] [CrossRef] [PubMed]
- Zhang, Y. Epidemiology of esophageal cancer. World J. Gastroenterol. 2013, 19, 5598–5606. [Google Scholar] [CrossRef] [PubMed]
- Piessen, G.; Petyt, G.; Duhamel, A.; Mirabel, X.; Huglo, D.; Mariette, C. Ineffectiveness of (1)(8)F-fluorodeoxyglucose positron emission tomography in the evaluation of tumor response after completion of neoadjuvant chemoradiation in esophageal cancer. Ann. Surg. 2013, 258, 66–76. [Google Scholar] [CrossRef] [PubMed]
- Shapiro, J.; van Lanschot, J.J.B.; Hulshof, M.; van Hagen, P.; van Berge Henegouwen, M.I.; Wijnhoven, B.P.L.; van Laarhoven, H.W.M.; Nieuwenhuijzen, G.A.P.; Hospers, G.A.P.; Bonenkamp, J.J.; et al. Neoadjuvant chemoradiotherapy plus surgery versus surgery alone for oesophageal or junctional cancer (CROSS): Long-term results of a randomised controlled trial. Lancet. Oncol. 2015, 16, 1090–1098. [Google Scholar] [CrossRef]
- Van Hagen, P.; Hulshof, M.C.; van Lanschot, J.J.; Steyerberg, E.W.; van Berge Henegouwen, M.I.; Wijnhoven, B.P.; Richel, D.J.; Nieuwenhuijzen, G.A.; Hospers, G.A.; Bonenkamp, J.J.; et al. Preoperative chemoradiotherapy for esophageal or junctional cancer. N Engl. J. Med. 2012, 366, 2074–2084. [Google Scholar] [CrossRef]
- Stahl, M.; Stuschke, M.; Lehmann, N.; Meyer, H.J.; Walz, M.K.; Seeber, S.; Klump, B.; Budach, W.; Teichmann, R.; Schmitt, M.; et al. Chemoradiation with and without surgery in patients with locally advanced squamous cell carcinoma of the esophagus. J. Clin. Oncol. 2005, 23, 2310–2317. [Google Scholar] [CrossRef]
- Stahl, M.; Wilke, H.; Lehmann, N.; Stuschke, M. Long-term results of a phase III study investigating chemoradiation with and without surgery in locally advanced squamous cell carcinoma (LA-SCC) of the esophagus. J. Clin. Oncol. 2008, 26, 4530. [Google Scholar] [CrossRef]
- Bedenne, L.; Michel, P.; Bouche, O.; Milan, C.; Mariette, C.; Conroy, T.; Pezet, D.; Roullet, B.; Seitz, J.F.; Herr, J.P.; et al. Chemoradiation followed by surgery compared with chemoradiation alone in squamous cancer of the esophagus: FFCD 9102. J. Clin. Oncol. 2007, 25, 1160–1168. [Google Scholar] [CrossRef]
- Surgical resection with or without preoperative chemotherapy in oesophageal cancer: a randomised controlled trial. Lancet 2002, 359, 1727–1733. [CrossRef]
- Allum, W.H.; Stenning, S.P.; Bancewicz, J.; Clark, P.I.; Langley, R.E. Long-term results of a randomized trial of surgery with or without preoperative chemotherapy in esophageal cancer. J. Clin. Oncol. 2009, 27, 5062–5067. [Google Scholar] [CrossRef]
- Ruhstaller, T.; Widmer, L.; Schuller, J.C.; Roth, A.; Hess, V.; Mingrone, W.; von Moos, R.; Borner, M.; Pestalozzi, B.C.; Balmermajno, S.; et al. Multicenter phase II trial of preoperative induction chemotherapy followed by chemoradiation with docetaxel and cisplatin for locally advanced esophageal carcinoma (SAKK 75/02). Ann. Oncol. 2009, 20, 1522–1528. [Google Scholar] [CrossRef] [PubMed]
- Ajani, J.A.; Xiao, L.; Roth, J.A.; Hofstetter, W.L.; Walsh, G.; Komaki, R.; Liao, Z.; Rice, D.C.; Vaporciyan, A.A.; Maru, D.M.; et al. A phase II randomized trial of induction chemotherapy versus no induction chemotherapy followed by preoperative chemoradiation in patients with esophageal cancer. Ann. Oncol. 2013, 24, 2844–2849. [Google Scholar] [CrossRef] [PubMed]
- Stiekema, J.; Vermeulen, D.; Vegt, E.; Voncken, F.E.; Aleman, B.M.; Sanders, J.; Boot, H.; van Sandick, J.W. Detecting interval metastases and response assessment using 18F-FDG PET/CT after neoadjuvant chemoradiotherapy for esophageal cancer. Clin. Nucl. Med. 2014, 39, 862–867. [Google Scholar] [CrossRef] [PubMed]
- Brücher, B.L.; Weber, W.; Bauer, M.; Fink, U.; Avril, N.; Stein, H.J.; Werner, M.; Zimmerman, F.; Siewert, J.R.; Schwaiger, M. Neoadjuvant therapy of esophageal squamous cell carcinoma: response evaluation by positron emission tomography. Ann. Sur. 2001, 233, 300. [Google Scholar] [CrossRef]
- Flamen, P.; Van Cutsem, E.; Lerut, A.; Cambier, J.P.; Haustermans, K.; Bormans, G.; De Leyn, P.; Van Raemdonck, D.; De Wever, W.; Ectors, N.; et al. Positron emission tomography for assessment of the response to induction radiochemotherapy in locally advanced oesophageal cancer. Ann. Oncol. 2002, 13, 361–368. [Google Scholar] [CrossRef]
- Kim, M.K.; Ryu, J.S.; Kim, S.B.; Ahn, J.H.; Kim, S.Y.; Park, S.I.; Kim, Y.H.; Song, H.Y.; Shin, J.H.; Jung, H.Y.; et al. Value of complete metabolic response by (18)F-fluorodeoxyglucose-positron emission tomography in oesophageal cancer for prediction of pathologic response and survival after preoperative chemoradiotherapy. Eur. J. Cancer 2007, 43, 1385–1391. [Google Scholar] [CrossRef]
- Javeri, H.; Xiao, L.; Rohren, E.; Lee, J.H.; Liao, Z.; Hofstetter, W.; Maru, D.; Bhutani, M.S.; Swisher, S.G.; Macapinlac, H.; et al. The higher the decrease in the standardized uptake value of positron emission tomography after chemoradiation, the better the survival of patients with gastroesophageal adenocarcinoma. Cancer 2009, 115, 5184–5192. [Google Scholar] [CrossRef]
- Sasaki, K.; Uchikado, Y.; Okumura, H.; Omoto, I.; Kita, Y.; Arigami, T.; Uenosono, Y.; Owaki, T.; Maemura, K.; Natsugoe, S. Role of (18)F-FDG-PET/CT in Esophageal Squamous Cell Carcinoma After Neoadjuvant Chemoradiotherapy. Anticancer Res. 2017, 37, 859–864. [Google Scholar] [CrossRef]
- Dewan, A.; Sharma, S.K.; Dewan, A.K.; Khurana, R.; Gupta, M.; Pahuja, A.; Srivastava, H.; Sinha, R. Impact on Radiological and Pathological Response with Neoadjuvant Chemoradiation and Its Effect on Survival in Squamous Cell Carcinoma of Thoracic Esophagus. J. Gastrointest. Cancer 2017, 48, 42–49. [Google Scholar] [CrossRef]
- Yap, W.K.; Chang, Y.C.; Tseng, C.K.; Hsieh, C.H.; Chao, Y.K.; Su, P.J.; Hou, M.M.; Yang, C.K.; Pai, P.C.; Lin, C.R.; et al. Predictive value of nodal maximum standardized uptake value of pretreatment [18F]fluorodeoxyglucose positron emission tomography imaging in patients with esophageal cancer. Dis. Esophagus 2017, 30, 1–10. [Google Scholar] [CrossRef]
- Yap, W.K.; Chang, Y.C.; Hsieh, C.H.; Chao, Y.K.; Chen, C.C.; Shih, M.C.; Hung, T.M. Favorable versus unfavorable prognostic groups by post-chemoradiation FDG-PET imaging in node-positive esophageal squamous cell carcinoma patients treated with definitive chemoradiotherapy. Eur. J. Nucl. Med. Mol. Imaging 2018, 45, 689–698. [Google Scholar] [CrossRef] [PubMed]
- Kaira, K.; Endo, M.; Asakura, K.; Tsuya, A.; Nakamura, Y.; Naito, T.; Murakami, H.; Takahashi, T.; Yamamoto, N. Ratio of standardized uptake value on PET helps predict response and outcome after chemotherapy in advanced non-small cell lung cancer. Ann. Nucl. Med. 2010, 24, 697–705. [Google Scholar] [CrossRef] [PubMed]
- Kim, H.R.; Seo, M.; Nah, Y.W.; Park, H.W.; Park, S.H. Clinical impact of fluorine-18-fluorodeoxyglucose positron emission tomography/computed tomography in patients with resectable pancreatic cancer: diagnosing lymph node metastasis and predicting survival. Nucl. Med. Commun. 2018, 39, 691–698. [Google Scholar] [CrossRef]
- Kim, Y.H.; Yoon, H.J.; Kim, Y.; Kim, B.S. Axillary Lymph Node-to-Primary Tumor Standard Uptake Value Ratio on Preoperative (18)F-FDG PET/CT: A Prognostic Factor for Invasive Ductal Breast Cancer. J. Breast Cancer 2015, 18, 173–180. [Google Scholar] [CrossRef] [PubMed]
- Chung, H.H.; Cheon, G.J.; Kim, J.W.; Park, N.H.; Song, Y.S. Prognostic value of lymph node-to-primary tumor standardized uptake value ratio in endometrioid endometrial carcinoma. Eur. J. Nucl. Med. Mol. Imaging 2018, 45, 47–55. [Google Scholar] [CrossRef]
- Chung, H.H.; Cheon, G.J.; Kim, J.W.; Park, N.H.; Song, Y.S. Prognostic importance of lymph node-to-primary tumor standardized uptake value ratio in invasive squamous cell carcinoma of uterine cervix. Eur. J. Nucl. Med. Mol. Imaging 2017, 44, 1862–1869. [Google Scholar] [CrossRef]
- Vatcheva, K.P.; Lee, M.; McCormick, J.B.; Rahbar, M.H. Multicollinearity in Regression Analyses Conducted in Epidemiologic Studies. Epidemiology 2016, 6. [Google Scholar] [CrossRef]
- Lordick, F.; Mariette, C.; Haustermans, K.; Obermannova, R.; Arnold, D. Oesophageal cancer: ESMO Clinical Practice Guidelines for diagnosis, treatment and follow-up. Ann. Oncol. 2016, 27, v50–v57. [Google Scholar] [CrossRef]
- Luo, L.L.; Xi, M.; Yang, Y.D.; Li, Q.Q.; Zhao, L.; Zhang, P.; Liu, S.L.; Liu, M.Z. Comparative Outcomes of Induction Chemotherapy Followed By Definitive Chemoradiotherapy versus Chemoradiotherapy Alone In Esophageal Squamous Cell Carcinoma. J. Cancer 2017, 8, 3441–3447. [Google Scholar] [CrossRef]
- Stahl, M.; Budach, W. Definitive chemoradiotherapy. J. Thorac. Dis. 2017, 9, S792–s798. [Google Scholar] [CrossRef][Green Version]
- Hui, E.P.; Ma, B.B.; Leung, S.F.; King, A.D.; Mo, F.; Kam, M.K.; Yu, B.K.; Chiu, S.K.; Kwan, W.H.; Ho, R.; et al. Randomized phase II trial of concurrent cisplatin-radiotherapy with or without neoadjuvant docetaxel and cisplatin in advanced nasopharyngeal carcinoma. J. Clin. Oncol. 2009, 27, 242–249. [Google Scholar] [CrossRef]
- Minsky, B.D.; Neuberg, D.; Kelsen, D.P.; Pisansky, T.M.; Ginsberg, R.J.; Pajak, T.; Salter, M.; Benson, A.B., 3rd. Final report of Intergroup Trial 0122 (ECOG PE-289, RTOG 90-12): Phase II trial of neoadjuvant chemotherapy plus concurrent chemotherapy and high-dose radiation for squamous cell carcinoma of the esophagus. Int. J. Radiat. Oncol. Biol. Phys. 1999, 43, 517–523. [Google Scholar] [CrossRef]
- Michel, P.; Adenis, A.; Di Fiore, F.; Boucher, E.; Galais, M.P.; Dahan, L.; Mirabel, X.; Hamidou, H.; Raoul, J.L.; Jacob, J.H.; et al. Induction cisplatin-irinotecan followed by concurrent cisplatin-irinotecan and radiotherapy without surgery in oesophageal cancer: multicenter phase II FFCD trial. Br. J. Cancer 2006, 95, 705–709. [Google Scholar] [CrossRef] [PubMed]
- Satake, H.; Tahara, M.; Mochizuki, S.; Kato, K.; Hara, H.; Yokota, T.; Kiyota, N.; Kii, T.; Chin, K.; Zenda, S.; et al. A prospective, multicenter phase I/II study of induction chemotherapy with docetaxel, cisplatin and fluorouracil (DCF) followed by chemoradiotherapy in patients with unresectable locally advanced esophageal carcinoma. Cancer Chemother Pharmacol. 2016, 78, 91–99. [Google Scholar] [CrossRef] [PubMed]
- Yoon, D.H.; Jang, G.; Kim, J.H.; Kim, Y.H.; Kim, J.Y.; Kim, H.R.; Jung, H.Y.; Lee, G.H.; Song, H.Y.; Cho, K.J.; et al. Randomized phase 2 trial of S1 and oxaliplatin-based chemoradiotherapy with or without induction chemotherapy for esophageal cancer. Int. J. Radiat. Oncol. Biol. Phys. 2015, 91, 489–496. [Google Scholar] [CrossRef]
- Mattes, M.D.; Moshchinsky, A.B.; Ahsanuddin, S.; Rizk, N.P.; Foster, A.; Wu, A.J.; Ashamalla, H.; Weber, W.A.; Rimner, A. Ratio of Lymph Node to Primary Tumor SUV on PET/CT Accurately Predicts Nodal Malignancy in Non-Small-Cell Lung Cancer. Clin. Lung Cancer 2015, 16, e253–e258. [Google Scholar] [CrossRef]
- Cerfolio, R.J.; Bryant, A.S. Ratio of the maximum standardized uptake value on FDG-PET of the mediastinal (N2) lymph nodes to the primary tumor may be a universal predictor of nodal malignancy in patients with nonsmall-cell lung cancer. Ann. Thorac. Surg. 2007, 83, 1826–1829. [Google Scholar] [CrossRef]
- Park, J.; Byun, B.H.; Noh, W.C.; Lee, S.S.; Kim, H.A.; Kim, E.K.; Choi, C.W.; Lim, S.M. Lymph node to primary tumor SUV ratio by 18F-FDG PET/CT and the prediction of axillary lymph node metastases in breast cancer. Clin. Nucl. Med. 2014, 39, e249–e253. [Google Scholar] [CrossRef]
- Atsumi, K.; Nakamura, K.; Abe, K.; Hirakawa, M.; Shioyama, Y.; Sasaki, T.; Baba, S.; Isoda, T.; Ohga, S.; Yoshitake, T.; et al. Prediction of outcome with FDG-PET in definitive chemoradiotherapy for esophageal cancer. J. Radiat. Res. 2013, 54, 890–898. [Google Scholar] [CrossRef]
- Hamberg, L.M.; Hunter, G.J.; Alpert, N.M.; Choi, N.C.; Babich, J.W.; Fischman, A.J. The dose uptake ratio as an index of glucose metabolism: useful parameter or oversimplification? J. Nucl. Med. 1994, 35, 1308–1312. [Google Scholar]
- Keyes, J.W., Jr. SUV: Standard uptake or silly useless value? J. Nucl. Med. 1995, 36, 1836–1839. [Google Scholar] [PubMed]
- Huang, S.C. Anatomy of SUV. Standardized uptake value. Nucl. Med. Biol. 2000, 27, 643–646. [Google Scholar] [CrossRef]
- Rice, T.W.; Blackstone, E.H.; Rusch, V.W. 7th edition of the AJCC Cancer Staging Manual: esophagus and esophagogastric junction. Ann. Surg. Oncol. 2010, 17, 1721–1724. [Google Scholar] [CrossRef] [PubMed]
- Clark, T.G.; Bradburn, M.J.; Love, S.B.; Altman, D.G. Survival analysis part I: basic concepts and first analyses. Br. J. Cancer 2003, 89, 232–238. [Google Scholar] [CrossRef]
- Blanche, P.; Dartigues, J.F.; Jacqmin-Gadda, H. Review and comparison of ROC curve estimators for a time-dependent outcome with marker-dependent censoring. Biom. J. 2013, 55, 687–704. [Google Scholar] [CrossRef]



| Characteristics | Patients | % |
|---|---|---|
| Median age, years (IQR) | 56 (50–62) | |
| Male sex | 109 | 97.3 |
| ECOG | ||
| 0 | 20 | 17.9 |
| 1 | 89 | 79.5 |
| 2 | 3 | 2.7 |
| Tumor location | ||
| Upper | 52 | 46.4 |
| Middle | 50 | 44.6 |
| Lower | 10 | 8.9 |
| cT classification a | ||
| T1 | 2 | 1.8 |
| T2 | 10 | 8.9 |
| T3 | 48 | 42.9 |
| T4 | 52 | 46.4 |
| cN classification a | ||
| N1 | 19 | 17.0 |
| N2 | 55 | 49.1 |
| N3 | 38 | 33.9 |
| cStagea | ||
| IIB | 3 | 2.7 |
| IIIA | 13 | 11.6 |
| IIIB | 25 | 22.3 |
| IIIC | 71 | 63.4 |
| Median tumor length, cm (IQR) | 6.0 (4.9–8.0) | |
| Median SUVTumor (IQR) | 17.7 (14.2–23.9) | |
| Median SUVLN (IQR) | 9.9 (4.2–15.3) | |
| Median SUVLN/SUVTumor (IQR) | 0.59 (0.25–0.78) | |
| Chemotherapy | ||
| Carboplatin/Paclitaxel | 63 | 56.2 |
| Cisplatin/5-FU | 46 | 41.1 |
| Cisplatin/Paclitaxel | 3 | 2.7 |
| Median total RT dose, cGy (IQR) | 6000 (4500–6480) |
| Characteristics | SUVLN/SUVTumor | |
|---|---|---|
| Correlation Coefficient a | P-Value | |
| Age | −0.023 | 0.810 |
| Tumor location | −0.090 | 0.344 |
| cT classification b | −0.123 | 0.198 |
| cN classification b | 0.362 | < 0.001 |
| Tumor length | 0.004 | 0.968 |
| Chemotherapy | 0.032 | 0.739 |
| SUVTumor | −0.223 | 0.018 |
| SUVLN | 0.744 | < 0.001 |
| DMFS | OS | |||||||
|---|---|---|---|---|---|---|---|---|
| Predictive Variables | Univariate Analysis | Multivariate Analysis a | Univariate Analysis | Multivariate Analysis a | ||||
| HR (95% CI) | P-Value | HR (95% CI) | P-Value | HR (95% CI) | P-Value | HR (95% CI) | P-Value | |
| Age, years | 0.97 (0.94–1.01) | 0.092 | 0.96 (0.92–0.99) | 0.020 | 1.01 (0.98–1.03) | 0.589 | ||
| ECOG | ||||||||
| 0 vs. 1/2 (ref) | 1.02 (0.52–2.00) | 0.948 | 0.83 (0.49–1.42) | 0.499 | ||||
| Tumor location | ||||||||
| Upper vs. | 0.93 (0.53–1.63) | 0.806 | 0.83 (0.54–1.27) | 0.393 | ||||
| Middle/Lower (ref) | ||||||||
| Initial T-Stage b | ||||||||
| cT4 vs. cT1–3 (ref) | 1.11 (0.63–1.94) | 0.720 | 1.45 (0.94–2.22) | 0.094 | 1.66 (1.06–2.60) | 0.028 | ||
| Initial N-Stage b | ||||||||
| cN3 vs. cN1–2 (ref) | 2.60 (1.48–4.56) | 0.001 | 2.21 (1.18–4.14) | 0.013 | 1.51 (0.97–2.36) | 0.067 | 1.32 (0.82–2.14) | 0.252 |
| Tumor length, cm | 1.04 (0.94–1.16) | 0.450 | 1.04 (0.95–1.13) | 0.424 | ||||
| SUVTumor | 1.06 (1.02–1.09) | 0.001 | 1.08 (1.04–1.12) | < 0.001 | 1.01 (0.98–1.04) | 0.488 | ||
| SUVLN | 1.10 (1.06–1.14) | < 0.001 | 1.04 (1.02–1.07) | 0.003 | ||||
| SUVLN/SUVTumor | 1.99 (1.29–3.05) | 0.002 | 2.24 (1.34–3.75) | 0.002 | 1.57 (1.06–2.35) | 0.026 | 1.61 (1.03–2.53) | 0.037 |
| Chemotherapy | ||||||||
| Paclitaxel/Cisplatin or Carboplatin | 1.22 (0.69–2.15) | 0.495 | 0.96 (0.62–1.49) | 0.848 | ||||
| Cisplatin/5-FU (ref) | ||||||||
| Radiotherapy | 0.533 | 0.321 | ||||||
| Initial dose < 5000 cGy without consolidative boost | 1.47 (0.70–3.09) | 0.315 | 1.54 (0.86–2.76) | 0.145 | ||||
| Initial dose < 5000 cGy with consolidative boost | 1.04 (0.54–2.00) | 0.918 | 1.13 (0.67–1.91) | 0.640 | ||||
| Initial dose ≥ 5000 cGy (ref) | ||||||||
© 2020 by the authors. Licensee MDPI, Basel, Switzerland. This article is an open access article distributed under the terms and conditions of the Creative Commons Attribution (CC BY) license (http://creativecommons.org/licenses/by/4.0/).
Share and Cite
Lin, C.-H.; Hung, T.-M.; Chang, Y.-C.; Hsieh, C.-H.; Shih, M.-C.; Huang, S.-M.; Yang, C.-K.; Chang, C.-F.; Chan, S.-C.; Yap, W.-K. Prognostic Value of Lymph Node-To-Primary Tumor Standardized Uptake Value Ratio in Esophageal Squamous Cell Carcinoma Treated with Definitive Chemoradiotherapy. Cancers 2020, 12, 607. https://doi.org/10.3390/cancers12030607
Lin C-H, Hung T-M, Chang Y-C, Hsieh C-H, Shih M-C, Huang S-M, Yang C-K, Chang C-F, Chan S-C, Yap W-K. Prognostic Value of Lymph Node-To-Primary Tumor Standardized Uptake Value Ratio in Esophageal Squamous Cell Carcinoma Treated with Definitive Chemoradiotherapy. Cancers. 2020; 12(3):607. https://doi.org/10.3390/cancers12030607
Chicago/Turabian StyleLin, Chia-Hsin, Tsung-Min Hung, Yu-Chuan Chang, Chia-Hsun Hsieh, Ming-Chieh Shih, Shih-Ming Huang, Chan-Keng Yang, Ching-Fu Chang, Sheng-Chieh Chan, and Wing-Keen Yap. 2020. "Prognostic Value of Lymph Node-To-Primary Tumor Standardized Uptake Value Ratio in Esophageal Squamous Cell Carcinoma Treated with Definitive Chemoradiotherapy" Cancers 12, no. 3: 607. https://doi.org/10.3390/cancers12030607
APA StyleLin, C.-H., Hung, T.-M., Chang, Y.-C., Hsieh, C.-H., Shih, M.-C., Huang, S.-M., Yang, C.-K., Chang, C.-F., Chan, S.-C., & Yap, W.-K. (2020). Prognostic Value of Lymph Node-To-Primary Tumor Standardized Uptake Value Ratio in Esophageal Squamous Cell Carcinoma Treated with Definitive Chemoradiotherapy. Cancers, 12(3), 607. https://doi.org/10.3390/cancers12030607

