A Wideband D-Band Frequency Sextupler Chain with High Harmonic Rejection in 100 nm GaAs pHEMT Technology
Abstract
1. Introduction
2. Circuit Design
2.1. Design of the Balanced Tripler
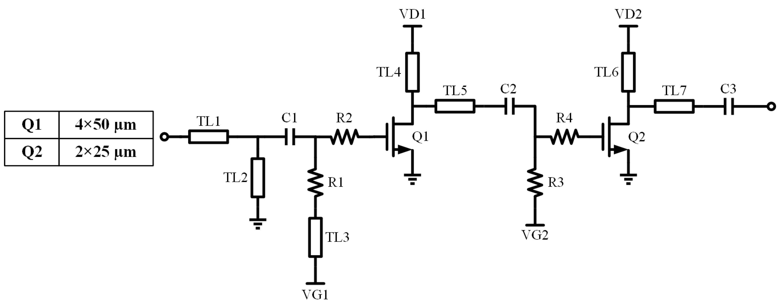
2.2. Design of the Inter-Stage E-Band PA
2.3. Design of the Single-Balanced D-Band Doubler
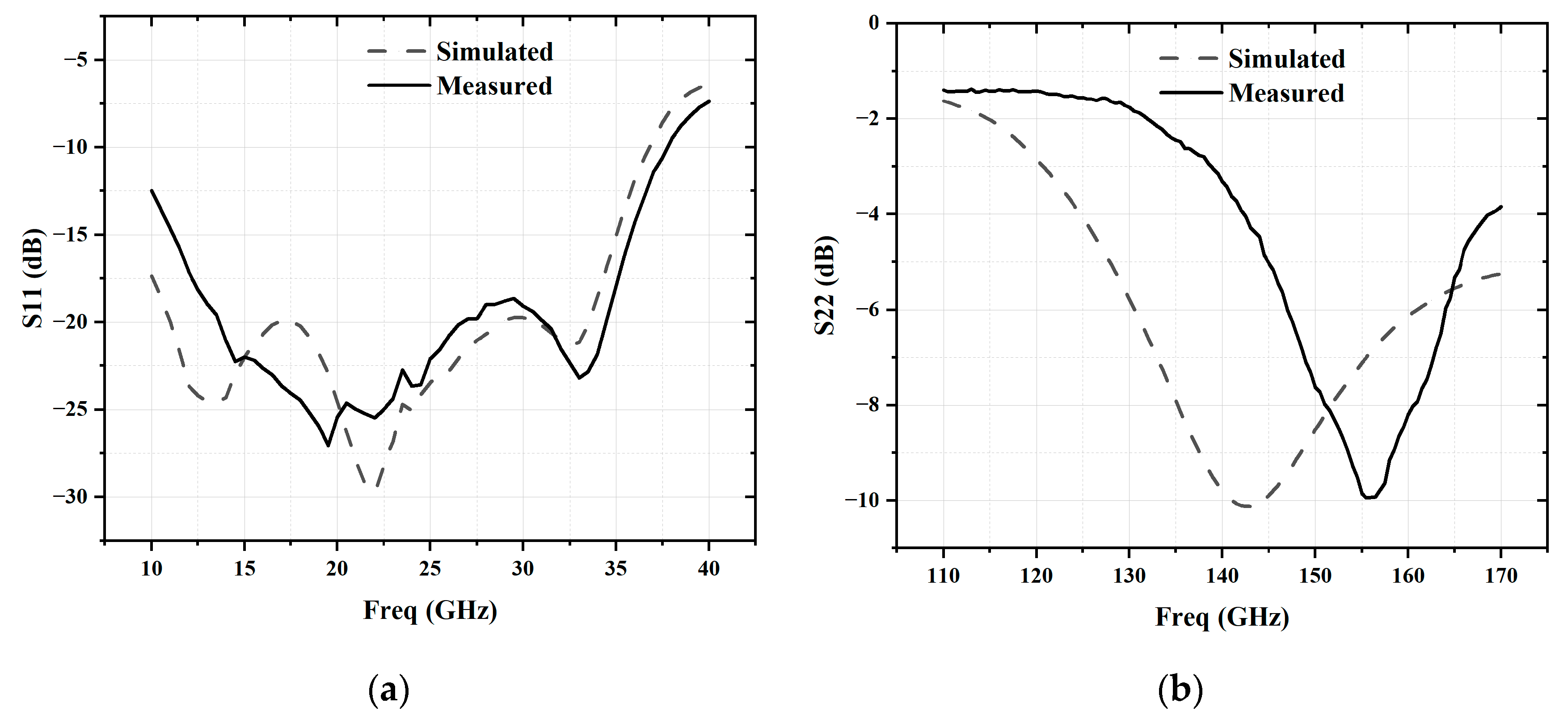
3. Measured Results
4. Conclusions
Author Contributions
Funding
Data Availability Statement
Conflicts of Interest
References
- Zhou, P.; Chen, J.; Yan, P.; Yu, J.; Hu, J.; Dong, H.; Wang, L.; Hou, D.; Gao, H.; Hong, W. A 28.5-dB EVM 64-QAM 45-GHz Transceiver for IEEE 802.11aj. IEEE J. Solid State Circuits 2021, 56, 3077–3093. [Google Scholar] [CrossRef]
- Rappaport, T.S.; Xing, Y.; Kanhere, O.; Ju, S.; Madanayake, A.; Mandal, S.; Alkhateeb, A.; Trichopoulos, G.C. Wireless Communications and Applications Above 100 GHz: Opportunities and Challenges for 6G and Beyond. IEEE Access 2019, 7, 78729–78757. [Google Scholar] [CrossRef]
- Li, C.; Liu, P.; Zhu, X.W.; Zhu, A. A SIW-based Wideband Circularly Polarized 4 × 4 Patch Array Antenna in 45 GHz Band. In Proceedings of the 2019 12th UK-Europe-China Workshop on Millimeter Waves and Terahertz Technologies (UCMMT), London, UK, 20–22 August 2019; pp. 1–4. [Google Scholar]
- Wang, L.; Chen, J.; Hou, D.; Hong, W. A 45 GHz Low-Voltage Cascode Power Amplifier Based on Capacitor Coupling Technology. In Proceedings of the 2021 IEEE MTT-S International Wireless Symposium (IWS), Nanjing, China, 23–26 May 2021; pp. 1–3. [Google Scholar]
- Zhu, F.; Luo, G. A W-Band Frequency Quadrupler MMIC. In Proceedings of the 2020 International Conference on Microwave and Millimeter Wave Technology (ICMMT), Shanghai, China, 20–23 September 2020; pp. 1–3. [Google Scholar]
- Chandra-Prabhu, A.; Grzyb, J.; Hillger, P.; Heinemann, B.; Rücker, H.; Pfeiffer, U. A Wideband W-Band Frequency Tripler with a Novel Mode-Selective Filter for High Harmonic Rejection. In Proceedings of the 2023 18th European Microwave Integrated Circuits Conference (EuMIC), Berlin, Germany, 18–19 September 2023; pp. 197–200. [Google Scholar]
- Kallfass, I.; Tessmann, A.; Massler, H.; Lewark, U.; Kuri, M.; Riessle, M.; Zink, M.; Leuther, A. Balanced active frequency multipliers for W-band signal sources. In Proceedings of the 2011 6th European Microwave Integrated Circuit Conference, Manchester, UK, 10–12 October 2011; pp. 101–104. [Google Scholar]
- Hu, Y.; Xie, J.; Bi, X. A W-band Frequency Tripler with 8-dBm Output Power Using 0.25-m GaAs pHEMT Process. In Proceedings of the 2022 IEEE MTT-S International Microwave Workshop Series on Advanced Materials and Processes for RF and THz Applications (IMWS-AMP), Guangzhou, China, 12–14 December 2022; pp. 1–3. [Google Scholar]
- Kim, M.; Choi, K.; Kim, J. W -Band Backward Distributed Frequency Doubler Using GaAs 0.15-µm pHEMT Process. IEEE Microw. Wirel. Compon. Lett. 2019, 29, 400–402. [Google Scholar] [CrossRef]
- Ye, Y.; Zhang, J.; Sun, X.W. A W-Band Traveling-Wave Frequency Doubler With Output Power of 9 dBm and Power Efficiency of 11.2%. IEEE Microw. Wirel. Compon. Lett. 2014, 24, 704–706. [Google Scholar] [CrossRef]
- Campos-Roca, Y.; Verweyen, L.; Fernandez-Barciela, M.; Bischof, W.; Curras-Francos, M.; Sanchez, E.; Hulsmann, A.; Schlechtweg, M. 38/76 GHz PHEMT MMIC balanced frequency doublers in coplanar technology. IEEE Microw. Guid. Wave Lett. 2000, 10, 484–486. [Google Scholar] [CrossRef]
- Lu, K.H.; Huang, J.J.; Chen, W.C.; Chang, H.Y.; Wang, Y.C. A K-Band Frequency Doubler in 0.15-µm GaAs pHEMT with an Autonomous Circuit for Stability Analysis. In Proceedings of the 2018 IEEE International Symposium on Radio-Frequency Integration Technology (RFIT), Melbourne, Australia, 15–17 August 2018; pp. 1–3. [Google Scholar]
- Shi, Q.H.; Liu, W.L.; Lu, Y.; Liu, X.; Feng, T.; Zhao, Z.Y.; Yi, C.P.; Ma, X.H.; Hao, Y. An E/W-band Frequency Doubler with 10.5-dBm Output Power Using 0.1-m GaAs pHEMT Process. In Proceedings of the 2024 IEEE MTT-S International Microwave Workshop Series on Advanced Materials and Processes for RF and THz Applications (IMWS-AMP), Nanjing, China, 9–11 November 2024; pp. 1–3. [Google Scholar]
















| Reference | [7] | [8] | [9] | [10] | [11] | [12] | [13] | This Work |
|---|---|---|---|---|---|---|---|---|
| Process | 100 nm | 250 nm | 150 nm | 100 nm | 150 nm | 150 nm | 100 nm | 100 nm |
| AlGaAs | GaAs | GaAs | GaAs | GaAs | GaAs | GaAs | GaAs | |
| mHEMT | pHEMT | pHEMT | pHEMT | pHEMT | pHEMT | pHEMT | pHEMT | |
| Freq (GHz) | 79–100 | 90–99 | 88–99.5 | 85–110 | 34.44–42.56 | 37–43 | 71–90 | 126.3–152.7 |
| Multi Factor | 8 | 3 | 2 | 2 | 2 | 2 | 2 | 6 |
| Gain (dB) | 8.9 | −3 | −4.3 | 3.2 | −4 | 0.9 | −3.3 | 0.33 |
| Pout (dBm) | 6.9 | 8 | 7.1 | 8.2 | 8 | 0.9 | 10.5 | 2.33 |
| Size (mm2) | 6 | 2.21 | 2 | 1.35 | NA | 0.72 | 1.9 | 3.2 |
Disclaimer/Publisher’s Note: The statements, opinions and data contained in all publications are solely those of the individual author(s) and contributor(s) and not of MDPI and/or the editor(s). MDPI and/or the editor(s) disclaim responsibility for any injury to people or property resulting from any ideas, methods, instructions or products referred to in the content. |
© 2025 by the authors. Licensee MDPI, Basel, Switzerland. This article is an open access article distributed under the terms and conditions of the Creative Commons Attribution (CC BY) license (https://creativecommons.org/licenses/by/4.0/).
Share and Cite
Wang, P.; Chen, Z.; Guo, Y.; Qi, Y.; Yang, P. A Wideband D-Band Frequency Sextupler Chain with High Harmonic Rejection in 100 nm GaAs pHEMT Technology. Micromachines 2025, 16, 984. https://doi.org/10.3390/mi16090984
Wang P, Chen Z, Guo Y, Qi Y, Yang P. A Wideband D-Band Frequency Sextupler Chain with High Harmonic Rejection in 100 nm GaAs pHEMT Technology. Micromachines. 2025; 16(9):984. https://doi.org/10.3390/mi16090984
Chicago/Turabian StyleWang, Pinqing, Zhe Chen, Yubin Guo, Yue Qi, and Peng Yang. 2025. "A Wideband D-Band Frequency Sextupler Chain with High Harmonic Rejection in 100 nm GaAs pHEMT Technology" Micromachines 16, no. 9: 984. https://doi.org/10.3390/mi16090984
APA StyleWang, P., Chen, Z., Guo, Y., Qi, Y., & Yang, P. (2025). A Wideband D-Band Frequency Sextupler Chain with High Harmonic Rejection in 100 nm GaAs pHEMT Technology. Micromachines, 16(9), 984. https://doi.org/10.3390/mi16090984

