Influence of Marangoni Effect on Heat and Mass Transfer during Evaporation of Sessile Microdroplets
Abstract
1. Introduction
2. Model Construction and Validation
2.1. Physical Model
2.2. Mathematical Model for the Internal Flow and Heat Transfer of Liquid Droplets
- (1)
- Since some research findings show that the constant contact angle (CCA) [21] mode of evaporation accounts for over 50% of the evaporation process when the droplet is evaporating on a surface of constant heat [22,23], the process of evaporation is considered to be the CCA mode, and the change in contact angle is ignored.
- (2)
- Droplet evaporation does not account for the change in moisture content of the initial environment, and to simplify the computational model, the environmental water vapor content is assumed to be 0 at the initial time, and water vapor in the environment only originates from the droplet during evaporation.
- (3)
- Since the object of investigation in this paper is a micro-droplet and its size is small, the change in curvature of the liquid surface during evaporation is ignored. The effect of the curvature of the droplet interface on the concentration of vapor saturation can be neglected, according to the Kelvin equation [24]; thus, the vapor concentration at the droplet surface can be thought of as the saturated vapor concentration only relative to the local temperature, given by Equation (8).
- (4)
- In the computational domain, the fluid is assumed to be incompressible due to the small velocity of the air flow around the droplet and the droplet.
2.3. Model Validation
3. Numerical Results and Analysis
3.1. Effect of the Marangoni Effect on the Physical Field Inside the Droplet
3.2. Effect of Droplet Initial Radius on Droplet Evaporation
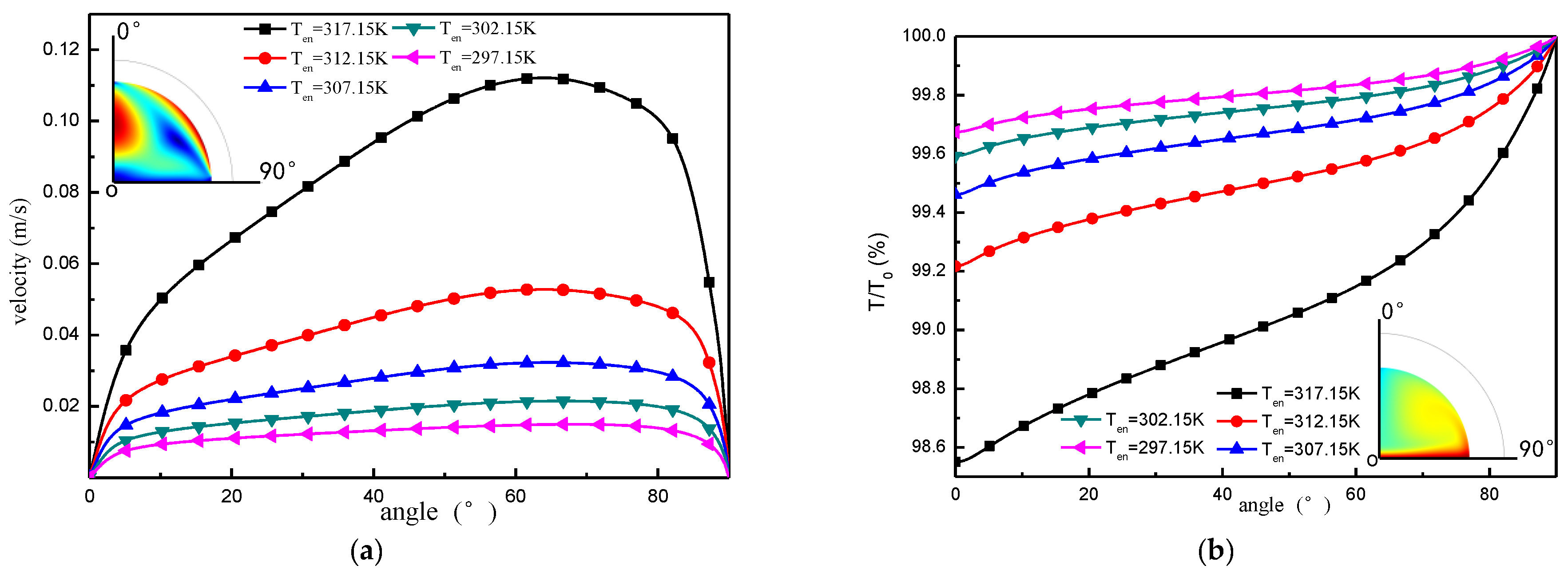
3.3. Effect of Ambient Temperature on Droplet Evaporation
4. Conclusions
- (1)
- When considering the Marangoni effect, the evaporation process of the wall droplet leads to a slight increase in the bulk temperature of the droplet, and generation of Marangoni flow may increase the internal droplet velocity. In comparison to the lack of the Marangoni effect, the effect can increase the internal velocity of the droplet by almost 100 times and increase the rate of evaporation by approximately 2.5%.
- (2)
- In the evaporative regime, the air temperature near the liquid surface exhibits a decreasing profile, and the flow velocity inside the air domain increases. However, increasing the rate of air flow at the liquid surface by evaporation is not enough to further increase droplet evaporation.
- (3)
- Ambient temperatures can reinforce Marangoni flow and increase liquid surface velocity and temperature, shortening the droplet drying time; there is a non-linear variation between increasing the evaporation quality of the droplet and increasing the temperature of the droplet. For each 5 °C increase in ambient temperature, the maximum increase in the rate of evaporation is approximately 22.7%.
Author Contributions
Funding
Conflicts of Interest
References
- Young, T., III. An essay on the cohesion of fluids. Philos. Trans. R. Soc. Lond. 1805, 95, 65–87. [Google Scholar] [CrossRef]
- Francescantonio, N.D.; Savino, R.; Abe, Y. New alcohol solutions for heat pipes: Marangoni effect and heat transfer enhancement. Int. J. Heat Mass Transf. 2008, 51, 6199–6207. [Google Scholar] [CrossRef]
- Gibbs, J.W. On the Equilibrium of Heterogeneous Substances. Trans. Connect. Acad. Arts Sci. 1878, 3, 343–524. [Google Scholar] [CrossRef]
- Su, X.; Shang, T.; Chao, Y. Evaporation characteristics of n-butanol aqueous solution droplets. J. Therm. Sci. Technol. 2021, 1, 22–27. [Google Scholar] [CrossRef]
- Ryu, J.; Kim, J.; Park, J.; Kim, H. Analysis of vapor-driven solutal Marangoni flows inside a sessile droplet. Int. J. Heat Mass Transf. 2020, 164, 120499. [Google Scholar] [CrossRef]
- Sun, H.-H.; Li, W.-B.; Ji, W.-J.; Dai, G.-L.; Huan, Y.; Wang, Y.-R.; Lan, D. Evaporation of saline colloidal droplet and deposition pattern. Chin. Phys. B 2019, 29, 014701. [Google Scholar] [CrossRef]
- Diddens, C.; Li, Y.; Lohse, D. Competing Marangoni and Rayleigh convection in evaporating binary droplets. J. Fluid Mech. 2021, 914, 1–23. [Google Scholar] [CrossRef]
- Girard, F.; Antoni, M.; Sefiane, K. On the Effect of Marangoni Flow on Evaporation Rates of Heated Water Drops. Langmuir 2008, 24, 9207–9210. [Google Scholar] [CrossRef]
- Wang, Y.; Chen, J.; Wang, Z. Marangoni effect accompanying mass transfer processes in multiphase systems. CIESC J. 2013, 64, 124–132. [Google Scholar] [CrossRef]
- Bozorgmehr, B.; Murray, B.T. Numerical Simulation of Evaporation of Ethanol–Water Mixture Droplets on Isothermal and Heated Substrates. ACS Omega 2021, 6, 12577–12590. [Google Scholar] [CrossRef]
- Hu, S.; Yan, J.; Wang, J. Affecting factors of Marangoni condensation mode. CIESC J. 2011, 62, 3053–3059. [Google Scholar] [CrossRef]
- Karpitschka, S.; Liebig, F.; Riegler, H. Marangoni Contraction of Evaporating Sessile Droplets of Binary Mixtures. Langmuir 2017, 33, 4682–4687. [Google Scholar] [CrossRef]
- Hintermüller, M.A.; Offenzeller, C.; Knoll, M.; Tröls, A.; Jakoby, B. Parallel Droplet Deposition via a Superhydrophobic Plate with Integrated Heater and Temperature Sensors. Micromachines 2020, 11, 354. [Google Scholar] [CrossRef]
- Ye, S.; Wu, C.-M.; Zhang, L.; Li, Y.-R.; Liu, Q.-S. Evolution of thermal patterns during steady state evaporation of sessile droplets. Exp. Therm. Fluid Sci. 2018, 98, 712–718. [Google Scholar] [CrossRef]
- Wang, Z.; Guo, T.; Zhu, Z. Numerical study on transient flow in evaporating droplet. J. Therm. Sci. Technol. 2017, 16, 273–279. [Google Scholar]
- Hu, D.; Wu, H. Numerical study and predictions of evolution behaviors of evaporating pinned drop-lets based on a comprehensive model. Int. J. Therm. Sci. 2015, 96, 149–159. [Google Scholar] [CrossRef]
- Al-Sharafi, A.; Yilbas, B.S.; Ali, H.; Al-Qahtani, H. Adhesion of a water droplet on inclined hydrophilic surface and internal fluidity. Int. J. Adhes. Adhes. 2019, 96, 102464. [Google Scholar] [CrossRef]
- Al-Sharafi, A.; Yilbas, B.S.; Hassan, G. Droplet on oil impregnated surface: Temperature and velocity fields. Int. J. Therm. Sci. 2019, 146, 106054. [Google Scholar] [CrossRef]
- Tareie, Z.S.; Latifi, H.; Parchegani, S.; Soltanlou, K. Observation of water droplets oscillation due to laser induced Marangoni convection. Opt. Laser Technol. 2019, 120, 105749. [Google Scholar] [CrossRef]
- Massing, J.; Mutschke, G.; Baczyzmalski, D.; Hossain, S.S.; Yang, X.; Eckert, K.; Cierpka, C. Thermocapillary convection during hydrogen evolution at microelectrodes. Electrochim. Acta 2018, 297, 929–940. [Google Scholar] [CrossRef]
- Picknett, R.; Bexon, R. The evaporation of sessile or pendant drops in still air. J. Colloid Interface Sci. 1977, 61, 336–350. [Google Scholar] [CrossRef]
- Gao, M.; Zhang, D.; Kong, P.; Zhang, L.-X. Experimental investigation of Marangoni convection in a sessile droplet at a constant heat flux condition. Int. Commun. Heat Mass Transf. 2020, 115, 104600. [Google Scholar] [CrossRef]
- Nguyen, T.A.H.; Nguyen, A.V. On the Lifetime of Evaporating Sessile Droplets. Langmuir 2012, 28, 1924–1930. [Google Scholar] [CrossRef]
- Semenov, S.; Starov, V.M.; Rubio, R.G. Evaporation of pinned sessile microdroplets of water on a highly heat-conductive substrate: Computer simulations. Eur. Phys. J. Spec. Top. 2013, 219, 143–154. [Google Scholar] [CrossRef]
- Yao, Y. Physical Chemistry Handbook; Shanghai Science and Technology Press: Shanghai, China, 1985. [Google Scholar]
- Cazabat, A.-M.; Guéna, G. Evaporation of macroscopic sessile droplets. Soft Matter 2010, 6, 2591–2612. [Google Scholar] [CrossRef]
- Stephen, R.T. An Introduction to Combustion: Concepts and Applications; Tsinghua University Press: Beijing, China, 2009. [Google Scholar]
- Schofield, F.; Pritchard, D.; Wilson, S.; Sefiane, K. The Lifetimes of Evaporating Sessile Droplets of Water Can Be Strongly Influenced by Thermal Effects. Fluids 2021, 6, 141. [Google Scholar] [CrossRef]
















Publisher’s Note: MDPI stays neutral with regard to jurisdictional claims in published maps and institutional affiliations. |
© 2022 by the authors. Licensee MDPI, Basel, Switzerland. This article is an open access article distributed under the terms and conditions of the Creative Commons Attribution (CC BY) license (https://creativecommons.org/licenses/by/4.0/).
Share and Cite
Liu, H.; Deng, J. Influence of Marangoni Effect on Heat and Mass Transfer during Evaporation of Sessile Microdroplets. Micromachines 2022, 13, 1968. https://doi.org/10.3390/mi13111968
Liu H, Deng J. Influence of Marangoni Effect on Heat and Mass Transfer during Evaporation of Sessile Microdroplets. Micromachines. 2022; 13(11):1968. https://doi.org/10.3390/mi13111968
Chicago/Turabian StyleLiu, Haiting, and Jiewen Deng. 2022. "Influence of Marangoni Effect on Heat and Mass Transfer during Evaporation of Sessile Microdroplets" Micromachines 13, no. 11: 1968. https://doi.org/10.3390/mi13111968
APA StyleLiu, H., & Deng, J. (2022). Influence of Marangoni Effect on Heat and Mass Transfer during Evaporation of Sessile Microdroplets. Micromachines, 13(11), 1968. https://doi.org/10.3390/mi13111968
