Abstract
Background/Objectives: Chronic low-grade inflammation is associated with insulin resistance and poor glycemic control, leading to the development of type 2 diabetes mellitus (T2DM). The present study investigated the effect of regular mango intake on inflammation and insulin sensitivity in participants with overweight or obesity and chronic low-grade inflammation. Methods: A human clinical study was performed using a randomized, controlled, two-arm, parallel design with a 2 h oral glucose tolerance test (OGTT) administered before and after 4 weeks (4 W) of mango or control product intake (1 cup/twice a day). Fasting and time course blood sampling for 2 h post-OGTT were analyzed for effects on plasma metabolic and inflammation endpoints using analysis of covariance and repeated-measure approaches (SAS 9.4). Results: Forty-eight adults (37.6 ± 2.8 years, 30.5 ± 4.1 BMI kg/m2) completed the study. Markers of inflammation (IL-6, TNFα, hs-CRP) were not different at the end of 4 W (p > 0.05). The intervention did not significantly influence fasting glucose concentrations; however, insulin was significantly lowered with the mango compared to the control intervention (8.2 ± 1.2 vs. 15.3 ± 1.2 µIU/mL respectively, p = 0.05). Furthermore, the Homeostasis Model Assessment of Insulin Resistance (HOMA-IR), along with the disposition index (DI), was significantly improved in the mango compared to the control interventions (HOMA-IR, 2.28 ± 1.19 vs. 4.67 ± 1.21, p = 0.03; DI, 2.76 ± 1.02 vs. 5.37 ± 1.03, p = 0.04). Mean insulin concentrations were also significantly lower at W4 compared to W0 after the OGTT in the mango vs. control intervention (intervention × week effect, p = 0.04). Relative expression of nuclear factor erythroid 2-related factor 2 (Nrf-2), a gene regulating endogenous antioxidant defense, was non-significantly increased twofold in the mango intervention (W4 vs. W0). Conclusions: Collectively, the data suggest that mango intake increased insulin sensitivity in individuals with chronic low-grade inflammation, possibly through activating Nrf-2 genes and increasing cellular antioxidant status. The data warrant further research on consuming mango fruit as part of a dietary pattern to address insulin resistance and the mechanisms underpinning the actions of mango intake.
1. Introduction
Chronic low-grade inflammation is a significant contributor to metabolic syndrome and the outcomes of its complications, including heart disease, diabetes, and cognitive decline [1,2,3]. In particular, chronic low-grade inflammation has been shown to influence the development of type 2 diabetes mellitus (T2DM), mediating insulin resistance and poor glycemic control [4,5,6]. C-reactive protein (CRP) is the standard clinical marker for chronic low-grade inflammation and is an independent risk factor for cardiovascular disease (CVD) [7]. The prevalence of T2DM and CVD is higher in obesity, which is a pro-inflammatory state [8,9]. The global prevalence of overweight and obesity is 12.5%, with 6.3% of the population having T2DM and 9.1% having prediabetes (defined as fasting glucose >100 mg/dL) [10]. Weight loss is the first line of therapy, having substantial metabolic and anti-inflammatory effects with as little as 5–10% weight loss [11]. Dietary interventions that target biological mechanisms of metabolic dysregulation, such as alleviating chronic low-grade inflammation, could play an important role in tackling the metabolic disease burden even when weight loss is not achievable [12]. The global burden of disease research has identified major dietary risks in disability-adjusted life years due to CVD and T2DM, and low fruit intake is among the top three contributors [13].
Mango is a tropical fruit with a unique composition consisting of dietary fiber, essential vitamins and minerals, and various nutrient-like bioactive compounds [14]. NHANES data (2001–2018) indicate that mango consumers have a higher diet quality than non-consumers, and male and adolescent consumers have lower body weight, smaller waist circumference, and lower body mass index (BMI) z-scores, respectively, than non-mango consumers [15]. Additionally, several groups have reported lower postprandial glycemic responses after consuming mango in various human intervention studies [16,17,18,19,20]. The observed acute effects could be due to the unique nutrient composition of mangoes, including fibers and other nutrient-like bioactive compounds. Fibers have known glycemia-modulating effects, and extracted compounds from mango, including mangiferin, have shown hypoglycemic action in rat animal models [21]. Research on the role of mango and its components in inflammation is slowly progressing. Data from animal studies show improved inflammatory status after mango interventions, with reports of reduced pro-inflammatory markers [22,23,24,25] or increased anti-inflammatory markers [25]. However, results from human studies are mixed, showing a reduction in select inflammatory markers [16,17,20,26] and no effect in other studies [17,26]. The discrepancies observed could be due to study models, populations, feeding duration, and doses used in different studies.
Feeding studies in humans suggest that mango intake contributes to glucose control, although the mechanisms underlying the effects are not clear [16,20,27]. One possibility is through reducing systemic inflammation, as suggested by the results of a responder (n = 8)/non-responder (n = 18) analysis after 8-week intake of mango pulp and results from a 12-week randomized controlled trial (n = 27) in individuals with overweight/obesity, both reporting reduced CRP and decreased glucose after mango intake [16,27]. Decreased HOMA-IR along with changes in gene expression were also reported in the responder group analysis, suggesting glucose control may be achieved through improvements in insulin sensitivity [27]. However, there are limited data from controlled chronic feeding studies with mango, and none have assessed peripheral insulin sensitivity. Therefore, we tested the hypothesis that regular mango intake will improve inflammation status in people with overweight/obesity (OW/OB) and chronic low-grade inflammation, resulting in increased insulin sensitivity.
2. Materials and Methods
2.1. Ethics, Participants, and Study Design
The study was conducted in accordance with the Declaration of Helsinki and approved by the Institutional Review Board of the Illinois Institute of Technology (protocol IRB_2020_57, approval date 2 March 2020). Informed consent was obtained from all participants involved in the study. All procedures were performed at the Clinical Nutrition Research Center (CNRC), Illinois Institute of Technology, Chicago, IL 60616. The study was registered at ClinicalTrials.gov (NCT04726293).
Potential participants were screened for inclusion criteria: BMI ≥ 25 kg/m2, high-sensitivity C-reactive protein (hs-CRP) >1.0 and <10.0 ng/L (as per cut points established by the Centers for Disease Control and Prevention (CDC)/American Heart Association (AHA) for chronic low-grade inflammation), fasting blood sugar >100 mg/dL and <126 mg/dL [28], and age 20–60 years. Exclusion criteria included regular use of multivitamins or supplements high in polyphenolic compounds, statins, vegan dietary patterns, and clinical diagnoses of chronic disease related to metabolic illness. Participants were recruited from the greater Chicagoland area from June 2020 to December 2023.
The study was a 4-week randomized, placebo-controlled, single-blinded, parallel-design clinical trial. Participants visited the CNRC five times for assessments and study product pickup (Figure 1). The two main assessment days were at the beginning of week 0 and at the end of week 4, which were identical and included an oral glucose tolerance test (OGTT) procedure. Starting a week before their first OGTT, participants were asked (and provided guidance) to follow their usual diet with the exception of mangoes and other high-(poly)phenol foods. Participants continued this practice throughout the study. The night before each OGTT, participants were instructed to consume a consistent dinner meal reimbursed by the clinical staff. Three-day food records were collected before each study day to monitor compliance with OGTT visit day dietary preparation protocols. At each study day visit, anthropometrics, body composition, and vital signs were measured. Gastrointestinal tolerability of the interventions was assessed through an online questionnaire, including questions about nausea, bloating, gas/flatulence, bowel consistency, and abdominal pain, administered to participants between each study day visit.
Figure 1.
Study schema. Randomized, single-blind, parallel design for 4-week study intervention. 1 OGTT: oral glucose tolerance test. 0 h–2 h: Blood samples were collected at 0, 30, 60, 90, and 120 min.
2.2. Oral Glucose Tolerance Test (OGTT)
At the beginning of week 0 and at the end of week 4, OGTTs were performed, using 75 g dextrose in 150 mL of water. Participants were advised to consume the glucose drink in 5 min. Venous blood collection was through an indwelling catheter placed at the antecubital fossa vein in the arm. Sampling occurred before the glucose drink (Time 0), and additional samples were taken at 30, 60, 90, and 120 min intervals after the start of the glucose drink. Blood was collected in EDTA tubes, placed on ice immediately, and centrifuged at 4 °C and 453× g for 10 min within 30 min, after which plasma was separated and stored at −80 °C until analysis. Before administering the glucose drink, fasting venous blood was collected in PAXgene® (BD Bioscience, Franklin Lakes, NJ, USA) tubes for RNA extraction and gene expression analysis.
2.3. Study Interventions
Mangoes (Kent and Keitt varieties) were purchased from Costco Wholesale and Amazon Fresh stores around the Chicagoland area. Fresh-ripened mangoes were peeled, cut into small pieces for blending, and stored in a −20 °C freezer. All food processing procedures were performed in the metabolic kitchen following appropriate food safety procedures. Due to the limited availability of mangoes and freezer space, fresh mangoes were purchased and processed five times during the study (within two years).
Energy-matched (100 kcal) mango and control interventions were prepared using the recipe given in Table 1. One serving of the mango intervention consisted of 126.9 g of Kent mango and 38.1 g of Keitt mango. The base of the control intervention was a commercially available Italian ice. Each participant was given a one-week supply (+2 days extra) of mango or control products, with two-week supplies provided as needed for participants with difficulty maintaining weekly pickup visits. The mango and control products were freshly prepared and frozen at −20 °C in 5.5-ounce cups with lids one day before pickup. Participants were given mango or control products in a cooler bag and advised to keep them in the freezer and take two out per day in the refrigerator to soften the day before consumption. They were asked to consume 2 cups/day (1 in the morning and 1 in the afternoon). Participants were given a diary to record the day and time of consumption to monitor compliance.
Table 1.
Recipe and nutrient composition of study interventions *.
2.4. Study Endpoint Analyses
2.4.1. Glucose, Insulin, hs-CRP, and Lipid Profile
Glucose, insulin, hs-CRP, and lipid profiles were measured from blood samples collected in EDTA-coated vacutainer tubes. After collection, the tubes were placed on ice and centrifuged for 15 min at 4 °C and 453× g within 30 min of collection. The plasma was then aliquoted and stored at −80 °C until analysis. These assays were assessed using the Randox Daytona automated clinical analyzer (Randox Laboratories) and were determined according to the manufacturer’s instructions, with appropriate quality controls.
2.4.2. IL-6 and TNF-α
ELISA assays were used to measure interleukin 6 (IL-6) and tumor necrosis factor alpha (TNFα) concentrations in plasma samples. The ELISA test was conducted using a Quantikine® (R & D Systems, Minneapolis, MN, USA) HS ELISA human IL-6 immunoassay kit (R & D, catalogue number HS600C) and a Quantikine® HS ELISA human TNFα immunoassay kit (R & D, catalogue number SSTA00E). In brief, frozen samples (−80 °C) were thawed in the morning, and the assay was performed according to the manufacturer’s instructions. To avoid variations, the samples belonging to the same subject were assayed in the same ELISA plate. Unknown sample concentrations were calculated using 7-point standard curves (pg/mL). Quality control samples were used to calculate intra/inter-assay variability. Those sample concentrations above the standard curve (10 pg/mL) were re-assayed using appropriate dilutions.
2.4.3. RNA Extraction and q-PCR Procedure
For the RNA extraction procedure, blood samples were collected from participants at the fasting pre-OGTT timepoint and placed into PAXgene blood tubes. The tubes were incubated for 2 h at room temperature to stabilize RNA. After incubation, the tubes were transferred to a −20 °C freezer overnight. The next day, the samples were moved to a −80 °C freezer for long-term storage until RNA extraction.
RNA was isolated from the stored PAXgene-processed blood samples using a Thermo Scientific GeneJET stabilized and fresh whole blood RNA kit (REF—K0871) following the manufacturer’s instructions. Briefly, RNA was eluted in RNase-free water, and its concentration was measured using a Qubit 4 fluorometer (InvitrogenTM by Thermo Fisher Scientific, Waltham, MA, USA—Pub No-MAN0017210). The extracted RNA was stored at −80 °C until further use.
Complementary DNA (cDNA) was synthesized from the total RNA using an Applied BiosystemsTM High-Capacity RNA-to-cDNATM Kit (cat-4387406, lot-2905856). The kit was stored at −25 °C to −15 °C before use. Reverse transcription (RT) buffer (2X) mix and RT enzyme mix reagents (20X) were used for reverse transcription following the manufacturer’s instructions. The RT reaction was performed using a QuantStudio® 3 system (Waltham, MA, USA, pub no-100025904). cDNA was stored in a −20 °C freezer.
Stored cDNA was used for quantitative real-time polymerase chain reaction (qPCR) using the PowerUpTM SYBRTM Green Master Mixture (Applied Biosystems, Waltham, MA, USA, CAT-A25741, LOT-2755313). Each reaction contained cDNA (1–10 ng), PowerUpTM SYBRTM Green Master Mix, forward and reverse primers, and nuclease-free water. All the primers were ordered from Integrated DNA Technologies. Toll-like receptor 2 (TLR2) gene (ref seq number: NM_003264) sequence: 5′-CCATTGCTCTTTCACTGCTTTC-3′/5′-ATGACCCCCAAGACCCA-3′. Toll-like receptor 4 (TLR4) gene (ref seq number: NM_138557) sequences: 5′-GAGTATACACATTGCTGTTTCCTGTTG-3′/5′-ACCCCATTAATTCCAGACACA-3′. Nuclear factor erythroid 2-related factor 2 (Nrf2) (ref seq number NM_001145412) sequences: 5′-CGTAGCCGAAGAAACCTCAT-3′/5′-ACATCCAGTCAGAAACCAGTG-3′. The housekeeping gene used for normalization was GAPDH (ref seq number: NM_002046), with the primer sequence 5′-ACATCGCTCAGACACCAT-3′/5′-TGTAGTTGAGTTCAATGAAGGG-3′. Threshold cycle (Ct) values were obtained for each gene, including the housekeeping gene. The relative expression of target genes was calculated and compared across all samples. Gene expression levels were quantified using the 2−∆∆Ct method, where Ct values were normalized against the glyceraldehyde-3-phosphate dehydrogenase (GAPDH) reference gene. Gene expression at baseline (before any intervention) was used as the base to calculate the fold increase.
2.5. Data Analysis
Calculations and Statistical Analysis
Several equations were used to assess glucoregulation. The Homeostasis Model Assessment of Insulin Resistance (HOMA-IR) equation estimates hepatic insulin resistance using fasting plasma glucose and insulin concentrations [29]. The Matsuda index estimates whole-body insulin sensitivity and was calculated using fasting plasma glucose, fasting plasma insulin, and glucose and insulin concentrations after the OGTT [30,31]. The disposition index measures how well beta cells compensate for insulin resistance and is calculated by multiplying the Matsuda index by the insulinogenic index [30]. The area under the curve (AUC) estimates the relative systemic exposure of an analyte and was calculated for insulin and glucose concentrations measured at 0, 30, 60, 90, and 120 min (AUC0–120min) using the trapezoidal rule [32]. The equations are given below:
where I = insulin and G = glucose concentrations at the given time point (30 min and 0 min).
HOMA-IR = (fasting insulin × fasting glucose)/22.5
Matsuda Index = 10,000/square root [(fasting glucose × fasting insulin) × (mean glucose × mean insulin)]
Insulinogenic Index = (I30−I0)/(G30−G0)
Disposition Index = Matsuda Index × Insulinogenic Index
AUC = (C1 + C2)/2 × T2−T1 (C = Concentration, T = Time)
Statistical analyses, randomization schedules, and sample size estimates were performed using SAS version 9.4 (SAS Institute Inc., Cary, NC, USA). Demographic and baseline clinical variables were tabulated from descriptive statistics and tested for differences between intervention groups as appropriate. Shapiro–Wilks test histograms and PP and QQ plots were used to assess the normality distributions of all outcome variables. Non-normal variables were log10-transformed and retested before statistical analyses. Outlier analysis was determined from box plot review and removed as part of a sensitivity analysis if greater than 1.5 the interquartile range. Fasting variables, including glucose, insulin, glucoregulatory indicators (HOMA-IR, insulinogenic index, Matsuda index, disposition index), inflammatory markers, and glycemic AUCs were tested for differences between the interventions at week 4 by analysis of covariance (ANCOVA), with baseline values as the primary covariate in the model. Sex, BMI (kg/m2), and other covariates were included as appropriate after testing for significance. Postprandial glucose and insulin time–concentration curves after the OGTT were analyzed using repeated-measure analysis of variance (RM-ANOVA), with intervention, time, and their interaction as the main factors. Gene expression data were analyzed using an unpaired t-test.
Results of the statistical analyses are presented as least square means (LSMs) ± standard error of mean (SEM) unless indicated otherwise. Statistical significance was based on a 2-sided comparison at the 5% significance level under a null hypothesis of no difference between interventions. Multiple comparisons were corrected using Tukey–Kramer in mixed-model procedures. Statistical significance was determined at p < 0.05.
Randomization schedules and sample sizes were generated using PROC PLAN. The sample size of 44 participants was estimated based on data from our previous work, which showed >80% power for detecting significant differences between interventions for inflammatory marker endpoints [33,34].
3. Results
3.1. Participant Demographics and Characteristics
A total of 152 participants were assessed for eligibility, of which 84 met the inclusion criteria. Sixty participants were randomized to the mango or control interventions based on a computer-generated randomization code. Overall, 12 participants dropped out at various stages, and 48 completed the study interventions. Forty-six participants completed the OGTT procedure before and after 4 weeks of intervention, and two participants could not complete the OGTT procedure due to catheter failure during one of their visits (Figure 2). Demographic and baseline metabolic, inflammatory, and other health indices are given in Table 2.
Figure 2.
Consolidated Standards of Reporting Trials (CONSORT) diagrams for study recruitment.
Table 2.
Demographic, metabolic, and health indices at week 0 visit.
3.2. Inflammatory Markers Assessment in Response to Mango or Control Intervention
The effect of four weeks of mango or control interventions on chronic low-grade inflammation was assessed using PROC MIXED (ANCOVA) methods as described in the statistical section. The results of the analysis are shown in Figure 3. No significant effect of the interventions was apparent for any inflammation variables, p > 0.05. All assays had intra and inter-assay CVs less than 10%, as recommended by the manufacturer.
Figure 3.
Effect of 4 weeks of mango and control interventions on fasting inflammatory markers in people with chronic low-grade inflammation. (A) = IL-6, (B) = TNFα, and (C) = hs-CRP. Data are presented as least squares means (LSMs) ± SEM, n = 46, derived from ANCOVA by PROC MIXED in SAS 9.4, with the main effects of the intervention at week 4 and baseline values as the covariate. No differences between interventions were observed for any of the variables.
3.3. Body Weight Response to Mango and Control Interventions
Changes (week 0–week 4) in body weight were not different after the mango intervention, but were different after the control intervention (mango 0.27 ± 0.30 kg vs. control intervention 0.87 ± 0.21 kg), resulting in a statistically significant difference in the changes between diets (p < 0.001) (Table 3).
Table 3.
Body weight change in mango and control interventions.
3.4. OGTT Response to Mango and Control Interventions
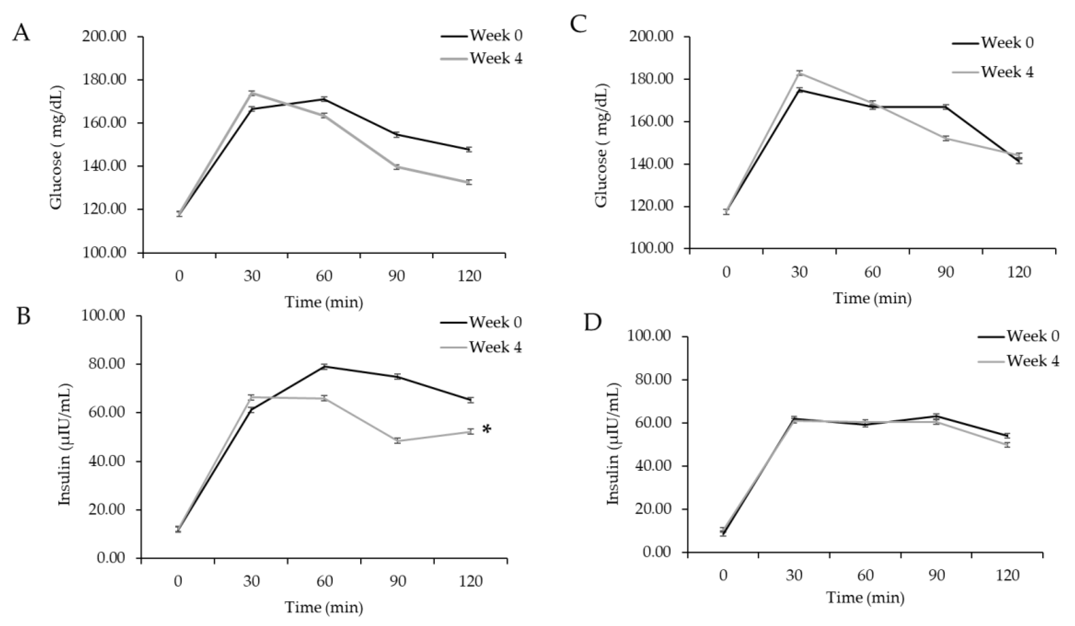
OGTT-mediated glucose and insulin concentrations after 4 weeks of mango and control interventions in participants with chronic low-grade inflammation were assessed using RM ANOVA, as described in the statistics section. Glucose after the OGTT was not influenced by intervention; however, insulin concentrations in response to the OGTT were significantly lower after 4 weeks of mango intervention compared to the group’s week 0 responses (Figure 4A,B, p = 0.04). Insulin concentrations did not differ between week 0 and week 4 after the control intervention (Figure 4C,D p = 0.99).
Figure 4.
Glucose and insulin time by concentration curves following an oral glucose tolerance test (OGTT). (A,B) OGTT results before and after 4 weeks of the mango intervention. (C,D) Data from OGTT results before and after the control intervention. Data are presented as least squares means (LSMs) ± SEM, n = 46. Data were analyzed by RM-ANOVA via PROC MIXED in SAS, with the main effects of intervention, time, week, and their interactions. No significant interactions were observed for glucose. * A significant intervention-by-week interaction was apparent for insulin, indicating reduced insulin after OGTT at week 4 compared to week 0 in the mango intervention (p = 0.04), but not the control intervention (p = 0.99).
3.5. Fasting Glucose, Insulin, and Glucoregulatory Indices Assessments in Response to Mango and Control Interventions
At the end of week 4, fasting glucose concentrations were not significantly different between mango and control interventions (119.67 ± 1.02 mg/dL vs. 116.95 ± 1.02 mg/dL, p = 0.51). However, fasting insulin concentrations at the end of week 4 were significantly lower in the mango intervention compared to the control intervention (8.2 ± 1.16 µIU/mL vs. 15.26 ± 1.18 µIU/mL, p = 0.05). This difference in insulin concentrations at week 4 was consistent, with a significant difference between interventions in the changes from week 0 to week 4 (delta) (p = 0.05). Additionally, HOMA-IR was significantly lower after the mango intervention than the control intervention (2.28 ± 1.19 vs. 4.67 ± 1.21, p = 0.03), as were the delta differences between interventions (p = 0.0009). Age was a significant covariate in the model for insulin and HOMA-IR (p = 0.02 and p = 0.05, respectively), but no interaction with the intervention was observed. Trends toward improvement in the Matsuda index and the insulinogenic index were observed in the mango intervention group compared to the control group, although they were not significant (p = 0.07 and 0.09, respectively). The disposition index was significantly improved in the mango intervention group compared to the control group (p = 0.04), and the effect was influenced by BMI (p = 0.04). Data are presented in Table 4.
Table 4.
Metabolic assessments after mango and control interventions in participants with OW/OB and chronic low-grade inflammation.
3.6. Lipid Profile Assessments in Response to Mango and Control Interventions
Lipids were not influenced by dietary interventions (Table 4). No significant differences between interventions in fasting total cholesterol, LDL cholesterol, HDL cholesterol, or triglycerides were observed (p > 0.05)
3.7. Gene Expression: Cellular Defense, and Inflammation in Peripheral Blood Mononuclear Cells (PBMCs)
Relative gene expression in PBMCs in participants who consumed mango or control interventions was assessed by the 2−∆∆Ct method using qPCR. Relative expression of nuclear factor erythroid 2-related factor 2 (Nrf2) and Toll-like receptor 2 and 4 (TLR2 and TLR4) genes did not differ between interventions (p > 0.05). A non-significant increase (around double) in mean Nrf2 gene expression was observed at the end of the mango intervention compared to baseline gene expression levels (Figure 5).
Figure 5.
Relative gene expression at week 4 compared to baseline levels after providing participants with mango or control interventions. Data are presented as means ± SEM of relative gene expression, n = 46. No effect of intervention was observed for nuclear factor erythroid 2-related factor 2 (Nrf2) or Toll-like receptor 2 and 4 (TLR2 and TLR4) relative gene expression, p > 0.05.
4. Discussion
The primary working hypothesis of this project was that regular mango intake would reduce inflammation in individuals with chronic low-grade inflammation, resulting in increased insulin sensitivity. This hypothesis stems from data indicating that inflammation is a mechanism that contributes to insulin resistance and data in preclinical and clinical models that suggest that mango or its components have anti-inflammatory activity [22,23,26]. The results indicated that the 4-week mango intervention did not significantly affect inflammatory indices measured by IL-6, TNFα, and hs-CRP. However, fasting insulin concentrations were significantly lowered with the mango intervention compared to the control intervention, and insulin resistance status was improved, evidenced by changes in HOMA-IR and disposition index. These data indicate that mango intake daily for 4 weeks increased insulin sensitivity, reducing the amount of insulin required to maintain glucose in people with chronic low-grade inflammation, but the effect was not through an inflammation pathway based on the markers measured in this study. Alternatively, the effects may be related to a change in cellular redox activity deserving follow-up research.
Insulin resistance is a metabolic condition where tissues are resistant to the action of insulin, requiring higher-than-normal insulin concentrations to manage glucose. Insulin resistance may exist at hepatic or peripheral tissue (i.e., muscle, fat) levels or both. In normal physiology, hepatic insulin resistance manifests in uncontrolled glucose production by the liver in fasting conditions. Peripheral insulin resistance is impaired glucose uptake from blood into extrahepatic tissues in postabsorptive and fasting states [35,36]. The present study used the HOMA-IR equation, which relies on fasting glucose and insulin values to estimate hepatic insulin resistance, and the Matsuda index, which uses data from an OGTT to estimate whole-body insulin sensitivity. The Matsuda index considers the metabolic clearance rate during the OGTT [30,31]. The HOMA-IR results indicated reduced insulin resistance, even though fasting glucose was not reduced. Instead, it appears less insulin was required to manage hepatic glucose production. Perhaps we would have found concomitantly reduced fasting glucose with a longer-duration study. Rosas et al. (2022) reported decreased fasting glucose after 12 weeks of mango consumption compared to a cookie control in people with overweight or obesity (n = 27) [16]. We also found that the Matsuda index was higher (higher values = better insulin sensitivity) after the mango intervention compared to the control intervention, although the difference was not significant (p = 0.07). The insulinogenic index, which measures how well a person’s beta cells respond to a glucose load, also showed improvement in the mango group compared to the control group (p = 0.09), also not significant, but the DI was significantly different in the mango group, indicating beta cells compensating for insulin resistance (p = 0.04). Overall, the glucoregulatory indices associated with insulin sensitivity point toward a beneficial effect of mango intake at the level of the pancreas and the liver (and possibly peripherally), resulting in reduced insulin resistance.
The available literature on acute and chronic feeding of mango or mango-associated component consumption supports reduced postprandial glycemia and improved insulin activity. A study conducted by Pinneio et al., 2022 with fresh mangoes or isocaloric low-fat cookies (100 kcal) showed significantly lower postprandial insulin at 45 min after mango intake compared to intake of low-fat cookies (p ≤ 0.05) [19]. Glucose was also significantly lower after mango compared to low-fat cookie intake at 30 min (p ≤ 0.05) [19]. In another crossover study design (n = 34 healthy weight) postprandial glucose concentrations were significantly reduced after consuming fresh or dried mango compared to white bread (p < 0.05) [37]. A 6-week clinical study (mango flesh, 400 g/day) in participants with obesity resulted in reduced HbA1c (p = 0.006), despite no changes in fasting insulin or glucose [20]. Interestingly, a study by Keathley et al., 2022 in overweight and obese participants (n = 27) showed that 280 g/day of mango pulp consumption for eight weeks reduced 2 h plasma glucose concentration after a 75 g oral glucose tolerance test (10.5% reduction/−0.58 ± 1.03 mmol/L, p = 0.008, n = 27) [18]. These data support the actions of mango in glucoregulation during the postprandial state. The results from the present study suggest the effects may be due to improved insulin sensitivity.
Mango is a tropical fruit with various nutrients and nutrient-like bioactive components that have beneficial health effects. The sweetness of mango has raised concerns about sugar content and weight gain in obesity and diabetes, which has not been supported by science [14]. The present study monitored body weight and found no change in weight after the mango diet, although a modest but significant weight gain of ~1 kg was observed after the control diet. The difference in weight change was significantly different between diets. The data from the present study support previous findings that people do not gain weight with mango consumption [16,19,27,38]. One cup equivalent of mango (~165 g, 100 kcal) provides 100% of the daily value of vitamin C, 35% of the daily value of vitamin A, and 12% of the daily value of fiber [14]. Furthermore, mangoes are a rich source of bioactive polyphenols [14]. Vitamins A and C and polyphenols are known for their antioxidant activity.
The present study was based on the hypothesis that mango intervention is associated with improved insulin sensitivity via a mechanism associated with reduced inflammation. However, our data did not support an association with inflammation. One possibility is that the study was performed during the COVID-19 pandemic. Although the screening procedures excluded participants who had recent COVID-19 illness, symptoms, or vaccination within the week before the study began, it is still possible that the inflammatory effects of prior infection or vaccination could have influenced the results. [39]. In the present study, the SEM values of IL-6 were very high compared to the studies we used for power calculations [33]. The study also measured TL2, TL4, and Nrf-2 gene expression levels in PBMCs before and after the interventions. It is known that nuclear factor-kappa B transcription factor (NFкB)-associated inflammatory signaling is mediated through TLRs [40], and relative gene expression compared to their baseline (before the intervention) was not evident in the present study. However, relative Nrf-2 gene expression doubled in the mango group (although it was not significant). It is possible that the Nrf-2 gene expression did not reach a significant value as the study was not powered based on Nrf-2 gene expression. Nevertheless, these data are interesting, as Nrf-2 is a transcription factor that regulates genes involved in cellular defense against oxidative stress [41]. Mango phytonutrients may have improved the antioxidant status of our participants with chronic low-grade inflammation, as inflammation typically coincides with redox imbalances and oxidative stress. Relevant to the gene expression data in the present study, a single-arm clinical trial conducted by Keathley et al., 2022, used changes in gene expression after mango intake (pulp 280 g/day) for 8 weeks to identify responders (n = 8) and non-responders (n = 18) to the intervention. The authors observed several catabolic and metabolic processes, and oxidative, immune, and inflammatory biological processes were associated with gene expressions in responders. Significant changes in the quantitative insulin sensitivity check index (QUICKI) and HOMA-IR were reported in responders vs. non-responders [27]. Rosas et al., (2022) reported significantly decreased glucose, hs-CRP, and aspartate transaminase activity in a 12-week randomized crossover trial in overweight individuals consuming fresh mango (100 kcal/day) and cookies separated by a 4-week washout period. The study also reported total antioxidant capacity (TAC) significantly increased following mango consumption (p < 0.05) following 12 weeks of intake [16]. Collectively, these data suggest that regular mango consumption, associated with improved glucoregulation and insulin sensitivity, may be mediated by a mechanism related to improved antioxidant status.
A strength of this study was its design: a 4-week randomized, placebo-controlled, single-blinded, parallel design conducted in free-living conditions, alongside assessments of both fasting and postprandial glycemic responses. This approach enabled a comprehensive evaluation of hepatic and peripheral insulin sensitivity. However, the study also had limitations. The study was conducted during the COVID-19 pandemic, which may have impacted the inflammation data and interpretation of results (higher variance than we typically see in the markers measured). Viral infections and vaccinations increase systemic inflammation, which were beyond our control. While we measured selected genes for expression and inflammatory markers, a more comprehensive biomarker panel, including specific proteins, could have yielded insights not apparent in the current study. Additionally, the absence of mango metabolites is a concern, and we intend to measure these in future research. While the study has some limitations in fully elucidating the potential inflammatory mechanisms related to insulin sensitivity, the strength of the data presented remains important.
5. Conclusions
In summary, the present study provides evidence that mango fruit intake plays a role in insulin sensitivity, as demonstrated by lowered fasting insulin concentrations and HOMA-IR and improved DI after 4 weeks of daily mango intake in individuals with chronic low-grade inflammation. The data do not support changes in inflammation status as the mechanism underpinning the observed effects on insulin. Gene expression data associated with Nrf-2 suggest, but do not confirm that the mechanism is related to changes in endogenous antioxidant defense, which is known to increase insulin sensitivity [42]. Collectively, the data suggest mango intake increased insulin sensitivity in individuals with chronic low-grade inflammation, possibly through activating the Nrf-2 gene and increasing cellular antioxidant status. The data support consuming mango fruit as part of a dietary pattern to address insulin resistance and warrant further research to understand the mechanisms underpinning the actions of mango intake.
Author Contributions
Conception, I.E., A.S., and B.B.-F.; investigation, K.D.P., P.G.A., C.W., B.B.-F., and I.E.; statistical analysis, I.E., and B.B.-F.; interpretation of data, K.D.P., B.B.-F., and, I.E.; first draft written by K.D.P., B.B.-F., and, I.E.; review and feedback provided by P.G.A., C.W., A.S., and B.B.-F. All authors had access to the data. All authors have read and agreed to the published version of the manuscript.
Funding
The National Mango Board provided funding for this study (A5F3F3F0-1C72-448D-A6BB-9326C0D7A8E3).
Institutional Review Board Statement
The study was conducted in accordance with the Declaration of Helsinki, and approved by the Institutional Review Board (or Ethics Committee) of the Illinois Institute of Technology (protocol number IRB_2020_057 and date of approval 2 March 2020)”.
Informed Consent Statement
Informed consent was obtained from all subjects involved in the study.
Data Availability Statement
The data presented in this study are available at the request from the corresponding author due to potential intellectual property.
Conflicts of Interest
A.S., I.E., and B.B.F. received funds to review literature for the National Mango Board. AS, IE, and BBF have also received research grants from the National Mango Board. K.P., P.G.A., and C.W. declare no conflicts of interest. All authors have no potential commercial interests to declare.
Abbreviations
| T2DM | type 2 diabetes mellitus |
| OW/OB | overweight and obese |
| hs-CRP | high-sensitivity C-reactive protein |
| CVD | cardiovascular disease |
| NHANES | National Health and Nutrition Examination Survey |
| CNRC | Clinical Nutrition Research Center |
| CDC | Centers for Disease Control and Prevention |
| AHA | American Heart Association |
| OGTT | oral glucose tolerance test |
| EDTA | ethylenediaminetetraacetic acid |
| IL-6 | interleukin 6 |
| TNFα | tumor necrosis factor alpha |
| ELISA | enzyme-linked immunosorbent assay |
| cDNA | complementary DNA |
| qPCR | quantitative real-time polymerase chain reaction |
| TLR | Toll-like receptor |
| Nrf2 | nuclear factor erythroid 2–related factor 2 |
| GAPDH | glyceraldehyde-3-phosphate dehydrogenase |
| Ct | threshold cycle |
| RT | reverse transcription |
| HOMA-IR | Homeostasis Model Assessment of Insulin Resistance |
| IGI | insulinogenic index |
| DI | disposition index |
| AUCs | areas under the curves |
| BMI | body mass index |
| RM-ANOVA | repeated-measure of analysis of variance |
| ANCOVA | analysis of covariance |
| LSM | least square means |
| SEM | standard error of mean |
| PBMCs | peripheral blood mononuclear cells |
| NFкB | nuclear factor-kappa B transcription factor |
| QUICKI | quantitative insulin sensitivity check index |
| TAC | Total antioxidant capacity |
| LDL | low-density lipoprotein |
| HDL | high-density lipoprotein |
References
- Fioranelli, M.; Roccia, M.G.; Flavin, D.; Cota, L. Regulation of Inflammatory Reaction in Health and Disease. Int. J. Mol. Sci. 2021, 22, 5277. [Google Scholar] [CrossRef] [PubMed]
- Ruiz-Núñez, B.; Pruimboom, L.; Dijck-Brouwer, D.A.J.; Muskiet, F.A.J. Lifestyle and Nutritional Imbalances Associated with Western Diseases: Causes and Consequences of Chronic Systemic Low-Grade Inflammation in an Evolutionary Context. J. Nutr. Biochem. 2013, 24, 1183–1201. [Google Scholar] [CrossRef] [PubMed]
- Castro, A.M.; Macedo-de la Concha, L.E.; Pantoja-Meléndez, C.A. Low-Grade Inflammation and Its Relation to Obesity and Chronic Degenerative Diseases. Rev. Médica Hosp. Gen. México 2017, 80, 101–105. [Google Scholar] [CrossRef]
- Custodero, C.; Mankowski, R.T.; Lee, S.A.; Chen, Z.; Wu, S.; Manini, T.M.; Hincapie Echeverri, J.; Sabbà, C.; Beavers, D.P.; Cauley, J.A.; et al. Evidence-Based Nutritional and Pharmacological Interventions Targeting Chronic Low-Grade Inflammation in Middle-Age and Older Adults: A Systematic Review and Meta-Analysis. Ageing Res. Rev. 2018, 46, 42–59. [Google Scholar] [CrossRef]
- Khanna, D.; Khanna, S.; Khanna, P.; Kahar, P.; Patel, B.M. Obesity: A Chronic Low-Grade Inflammation and Its Markers. Cureus 2022, 14, e22711. [Google Scholar] [CrossRef]
- Minihane, A.M.; Vinoy, S.; Russell, W.R.; Baka, A.; Roche, H.M.; Tuohy, K.M.; Teeling, J.L.; Blaak, E.E.; Fenech, M.; Vauzour, D.; et al. Low-Grade Inflammation, Diet Composition and Health: Current Research Evidence and Its Translation. Br. J. Nutr. 2015, 114, 999–1012. [Google Scholar] [CrossRef]
- Van der Meer, I.M.; De Maat, M.P.M.; Kiliaan, A.J.; Van der Kuip, D.A.M.; Hofman, A.; Witteman, J.C.M. The Value of C-Reactive Protein in Cardiovascular Risk Prediction: The Rotterdam Study. Arch. Intern. Med. 2003, 163, 1323–1328. [Google Scholar] [CrossRef]
- Welsh, A.; Hammad, M.; Piña, I.L.; Kulinski, J. Obesity and Cardiovascular Health. Eur. J. Prev. Cardiol. 2024, 31, 1026–1035. [Google Scholar] [CrossRef]
- Bhupathiraju, S.N.; Hu, F.B. Epidemiology of Obesity and Diabetes and Their Cardiovascular Complications. Circ. Res. 2016, 118, 1723–1735. [Google Scholar] [CrossRef]
- Shinde, S.A. Global Prevalence of Prediabetes. Diabetes Care 2023, 46, 1388–1394. [Google Scholar]
- Ryan, D.H.; Yockey, S.R. Weight Loss and Improvement in Comorbidity: Differences at 5%, 10%, 15%, and Over. Curr. Obes. Rep. 2017, 6, 187–194. [Google Scholar] [CrossRef] [PubMed]
- Clemente-Suárez, V.J.; Martín-Rodríguez, A.; Redondo-Flórez, L.; López-Mora, C.; Yáñez-Sepúlveda, R.; Tornero-Aguilera, J.F. New Insights and Potential Therapeutic Interventions in Metabolic Diseases. Int. J. Mol. Sci. 2023, 24, 10672. [Google Scholar] [CrossRef] [PubMed]
- Afshin, A.; Sur, P.J.; Fay, K.A.; Cornaby, L.; Ferrara, G.; Salama, J.S.; Mullany, E.C.; Abate, K.H.; Abbafati, C.; Abebe, Z.; et al. Health Effects of Dietary Risks in 195 Countries, 1990–2017: A Systematic Analysis for the Global Burden of Disease Study 2017. Lancet 2019, 393, 1958–1972. [Google Scholar] [CrossRef]
- Burton-Freeman, B.M.; Sandhu, A.K.; Edirisinghe, I. Mangos and Their Bioactive Components: Adding Variety to the Fruit Plate for Health. Food Funct. 2017, 8, 3010–3032. [Google Scholar] [CrossRef]
- Papanikolaou, Y.; Fulgoni, V.L. Mango Consumption Is Associated with Improved Nutrient Intakes, Diet Quality, and Weight-Related Health Outcomes. Nutrients 2022, 14, 59. [Google Scholar] [CrossRef]
- Rosas, M.; Pinneo, S.; O’Mealy, C.; Tsang, M.; Liu, C.; Kern, M.; Hooshmand, S.; Hong, M.Y. Effects of Fresh Mango Consumption on Cardiometabolic Risk Factors in Overweight and Obese Adults. Nutr. Metab. Cardiovasc. Dis. 2022, 32, 494–503. [Google Scholar] [CrossRef]
- O’Hara, C.; Ojo, B.; Simenson, A.; Hermann, J.; Payton, M.; Smith, B.; Lucas, E. The Effects of Acute Freeze-Dried Mango Consumption with a High-Fat Meal on Post-Prandial Responses in Healthy Young Adult Males. FASEB J. 2017, 31, 166.3. [Google Scholar] [CrossRef]
- Keathley, J.; Kearney, M.; Garneau, V.; de Toro-Martín, J.; Varin, T.V.; Pilon, G.; Couture, P.; Marette, A.; Vohl, M.C.; Couillard, C. Changes in Systolic Blood Pressure, Postprandial Glucose, and Gut Microbial Composition Following Mango Consumption in Individuals with Overweight and Obesity. Appl. Physiol. Nutr. Metab. 2022, 47, 565–574. [Google Scholar] [CrossRef]
- Pinneo, S.; Omealy, C.; Rosas, M.; Tsang, M.; Liu, C.; Kern, M.; Hooshmand, S.; Hong, M.Y. Fresh Mango Consumption Promotes Greater Satiety and Improves Postprandial Glucose and Insulin Responses in Healthy Overweight and Obese Adults. J. Med. Food 2022, 25, 381–388. [Google Scholar] [CrossRef]
- Fang, C.; Kim, H.; Barnes, R.C.; Talcott, S.T.; Mertens-Talcott, S.U. Obesity-Associated Diseases Biomarkers Are Differently Modulated in Lean and Obese Individuals and Inversely Correlated to Plasma Polyphenolic Metabolites After 6 Weeks of Mango (Mangifera indica L.) Consumption. Mol. Nutr. Food Res. 2018, 62, e1800129. [Google Scholar] [CrossRef]
- Liu, H.; Wang, K.; Tang, Y.; Sun, Z.; Jian, L.; Li, Z.; Wu, B.; Huang, C. Structure Elucidation of in Vivo and in Vitro Metabolites of Mangiferin. J. Pharm. Biomed. Anal. 2011, 55, 1075–1082. [Google Scholar] [CrossRef] [PubMed]
- Natal, D.I.G.; de Castro Moreira, M.E.; Milião, M.S.; dos Anjos Benjamin, L.; de Souza Dantas, M.I.; Ribeiro, S.M.R.; Martino, H.S.D. Ubá Mango Juices Intake Decreases Adiposity and Inflammation in High-Fat Diet-Induced Obese Wistar Rats. Nutrition 2016, 32, 1011–1018. [Google Scholar] [CrossRef] [PubMed]
- Kim, H.; Banerjee, N.; Barnes, R.C.; Pfent, C.M.; Talcott, S.T.; Dashwood, R.H.; Mertens-Talcott, S.U. Mango Polyphenolics Reduce Inflammation in Intestinal Colitis—Involvement of the MiR-126/PI3K/AKT/MTOR Axis in Vitro and in Vivo. Mol. Carcinog. 2017, 56, 197–207. [Google Scholar] [CrossRef]
- Kim, H.; Banerjee, N.; Ivanov, I.; Pfent, C.M.; Prudhomme, K.R.; Bisson, W.H.; Dashwood, R.H.; Talcott, S.T.; Mertens-Talcott, S.U. Comparison of Anti-Inflammatory Mechanisms of Mango (Mangifera Indica L.) and Pomegranate (Punica Granatum L.) in a Preclinical Model of Colitis. Mol. Nutr. Food Res. 2016, 60, 1912–1923. [Google Scholar] [CrossRef]
- Ruiz-Canizales, J.; Domínguez-Avila, J.A.; Wall-Medrano, A.; Ayala-Zavala, J.F.; González-Córdova, A.F.; Vallejo-Córdoba, B.; Salazar-López, N.J.; González-Aguilar, G.A. Fiber and Phenolic Compounds Contribution to the Hepatoprotective Effects of Mango Diets in Rats Fed High Cholesterol/Sodium Cholate. Phytother. Res. 2019, 33, 2996–3007. [Google Scholar] [CrossRef]
- Castro, R.J.; Pedroza, K.; Hong, M.Y. The Effects of Mango Consumption on Vascular Health and Immune Function. Metabol. Open 2023, 20, 100260. [Google Scholar] [CrossRef]
- Keathley, J.; de Toro-Martín, J.; Kearney, M.; Garneau, V.; Pilon, G.; Couture, P.; Marette, A.; Vohl, M.C.; Couillard, C. Gene Expression Signatures and Cardiometabolic Outcomes Following 8-Week Mango Consumption in Individuals with Overweight/Obesity. Front. Nutr. 2022, 9, 918844. [Google Scholar] [CrossRef]
- Pearson, T.A.; Mensah, G.A.; Alexander, R.W.; Anderson, J.L.; Cannon, R.O.; Criqui, M.; Fadl, Y.Y.; Fortmann, S.P.; Hong, Y.; Myers, G.L.; et al. Markers of Inflammation and Cardiovascular Disease: Application to Clinical and Public Health Practice: A Statement for Healthcare Professionals from the Centers for Disease Control and Prevention and the American Heart Association. Circulation 2003, 107, 499–511. [Google Scholar] [CrossRef]
- Andrade, M.I.S.D.; Oliveira, J.S.; Leal, V.S.; Lima, N.M.S.D.; Costa, E.C.; Aquino, N.B.D.; Lira, P.I.C.D. Identification of Cutoff Points for Homeostatic Model Assessment for Insulin Resistance Index in Adolescents: Systematic Review. Rev. Paul. Pediatr. 2016, 34, 234–242. [Google Scholar] [CrossRef]
- Retnakaran, R.; Qi, Y.; Goran, M.I.; Hamilton, J.K. Evaluation of Proposed Oral Disposition Index Measures in Relation to the Actual Disposition Index. Diabet. Med. 2009, 26, 1198–1203. [Google Scholar] [CrossRef]
- Matsuda, M.; DeFronzo, R.A. Insulin Sensitivity Indices Obtained from Oral Glucose Tolerance Testing: Comparison with the Euglycemic Insulin Clamp. Diabetes Care 1999, 22, 1462–1470. [Google Scholar] [CrossRef] [PubMed]
- Tse, A.H.W. Book Review: Pharmacokinetic and Pharmacodynamic Data Analysis—Concepts and Applications (5th Edition). Anaesth. Intensive Care 2016, 44, 792. [Google Scholar] [CrossRef]
- Edirisinghe, I.; Banaszewski, K.; Cappozzo, J.; Sandhya, K.; Ellis, C.L.; Tadapaneni, R.; Kappagoda, C.T.; Burton-Freeman, B.M. Strawberry Anthocyanin and Its Association with Postprandial Inflammation and Insulin. Br. J. Nutr. 2011, 106, 913–922. [Google Scholar] [CrossRef]
- Ellis, C.L.; Edirisinghe, I.; Kappagoda, T.; Burton-Freeman, B. Attenuation of Meal-Induced Inflammatory and Thrombotic Responses in Overweight Men and Women after 6-Week Daily Strawberry (Fragaria) Intake. A Randomized Placebo-Controlled Trial. J. Atheroscler. Thromb. 2011, 18, 318–327. [Google Scholar] [CrossRef]
- Petersen, M.C.; Shulman, G.I. Mechanisms of Insulin Action and Insulin Resistance. Physiol. Rev. 2018, 98, 2133–2223. [Google Scholar] [CrossRef]
- Park, S.Y.; Gautier, J.F.; Chon, S. Assessment of Insulin Secretion and Insulin Resistance in Human. Diabetes Metab. J. 2021, 45, 641–654. [Google Scholar] [CrossRef] [PubMed]
- Stamper, C.; Safadi, S.; Gehr, A.; Asuncion, P.; Hong, M.Y. Effects of Fresh vs Dried Mango Consumption on Satiety and Postprandial Glucose in Healthy Adults. Metabol. Open 2023, 19, 100253. [Google Scholar] [CrossRef]
- Evans, S.F.; Meister, M.; Mahmood, M.; Eldoumi, H.; Peterson, S.; Perkins-Veazie, P.; Clarke, S.L.; Payton, M.; Smith, B.J.; Lucas, E.A. Mango Supplementation Improves Blood Glucose in Obese Individuals. Nutr. Metab. Insights 2014, 7, 77–84. [Google Scholar] [CrossRef]
- Heo, J.Y.; Seo, Y.B.; Kim, E.J.; Lee, J.; Kim, Y.R.; Yoon, J.G.; Noh, J.Y.; Cheong, H.J.; Kim, W.J.; Yoon, S.Y.; et al. COVID-19 Vaccine Type-Dependent Differences in Immunogenicity and Inflammatory Response: BNT162b2 and ChAdOx1 NCoV-19. Front. Immunol. 2022, 13, 975363. [Google Scholar] [CrossRef]
- Kawai, T.; Akira, S. Signaling to NF-ΚB by Toll-like Receptors. Trends Mol. Med. 2007, 13, 460–469. [Google Scholar] [CrossRef]
- Ngo, V.; Duennwald, M.L. Nrf2 and Oxidative Stress: A General Overview of Mechanisms and Implications in Human Disease. Antioxidants 2022, 11, 2345. [Google Scholar] [CrossRef] [PubMed]
- Li, S.; Eguchi, N.; Lau, H.; Ichii, H. The Role of the Nrf2 Signaling in Obesity and Insulin Resistance. Int. J. Mol. Sci. 2020, 21, 6973. [Google Scholar] [CrossRef] [PubMed]
Disclaimer/Publisher’s Note: The statements, opinions and data contained in all publications are solely those of the individual author(s) and contributor(s) and not of MDPI and/or the editor(s). MDPI and/or the editor(s) disclaim responsibility for any injury to people or property resulting from any ideas, methods, instructions or products referred to in the content. |
© 2025 by the authors. Licensee MDPI, Basel, Switzerland. This article is an open access article distributed under the terms and conditions of the Creative Commons Attribution (CC BY) license (https://creativecommons.org/licenses/by/4.0/).




