Adequate Intake of Dietary Fiber May Relieve the Detrimental Impact of Blood Lead on Dyslipidemia among US Adults: A Study of Data from the National Health and Nutrition Examination Survey Database
Abstract
:1. Introduction
2. Material and Methods
2.1. Study Population
2.2. Measurements of Heavy Metals in Blood by ICP-MS
2.3. Definition of Dyslipidemia
2.4. Dietary Assessment
2.5. Covariates Definition
2.6. Statistical Analyses
3. Results
3.1. Baseline Characteristics
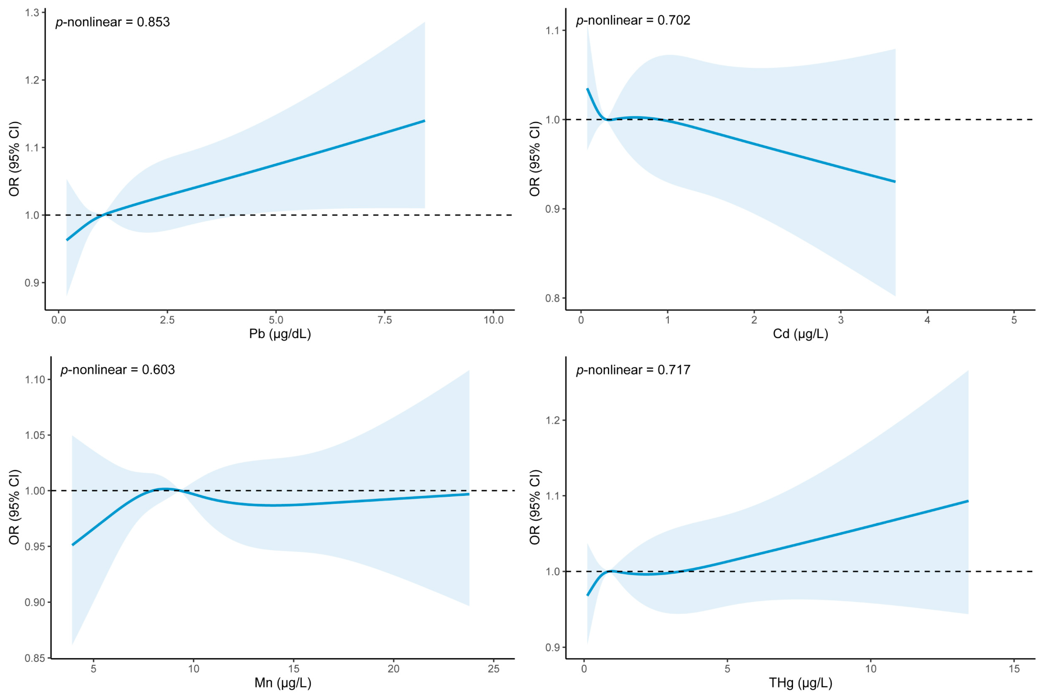
3.2. The Association between Blood Heavy Metals and Dyslipidemia
3.3. Regulation of Dietary Fiber on Dyslipidemia Caused by Blood Pb Exposure
3.4. Subgroup Analysis
4. Discussion
5. Conclusions
Supplementary Materials
Author Contributions
Funding
Institutional Review Board Statement
Informed Consent Statement
Data Availability Statement
Acknowledgments
Conflicts of Interest
References
- Kopin, L.; Lowenstein, C. Dyslipidemia. Ann. Intern. Med. 2017, 167, ITC81–ITC96. [Google Scholar] [CrossRef]
- Berberich, A.J.; Hegele, R.A. A Modern Approach to Dyslipidemia. Endocr. Rev. 2022, 43, 611–653. [Google Scholar] [CrossRef]
- Hager, M.R.; Narla, A.D.; Tannock, L.R. Dyslipidemia in patients with chronic kidney disease. Rev. Endocr. Metab. Disord. 2017, 18, 29–40. [Google Scholar] [CrossRef]
- Pirillo, A.; Casula, M.; Olmastroni, E.; Norata, G.D.; Catapano, A.L. Global epidemiology of dyslipidaemias. Nat. Rev. Cardiol. 2021, 18, 689–700. [Google Scholar] [CrossRef] [PubMed]
- Agarwala, A.; Petersen, K.S.; Jafari, F.; Kris-Etherton, P.M. Dietary management of dyslipidemia and the impact of dietary patterns on lipid disorders. Prog. Cardiovasc. Dis. 2022, 75, 49–58. [Google Scholar] [CrossRef] [PubMed]
- Tsao, C.W.; Aday, A.W.; Almarzooq, Z.I.; Alonso, A.; Beaton, A.Z.; Bittencourt, M.S.; Boehme, A.K.; Buxton, A.E.; Carson, A.P.; Commodore-Mensah, Y.; et al. Heart Disease and Stroke Statistics-2022 Update: A Report From the American Heart Association. Circulation 2022, 145, e153–e639. [Google Scholar] [CrossRef] [PubMed]
- Cakmak, S.; Mitchell, K.; Lukina, A.; Dales, R. Do blood metals influence lipid profiles? Findings of a cross-sectional population-based survey. Environ. Res. 2023, 231, 116107. [Google Scholar] [CrossRef]
- Hu, M.; Wei, J.; Hu, Y.; Guo, X.; Li, Z.; Liu, Y.; Li, S.; Xue, Y.; Li, Y.; Liu, M.; et al. Long-term effect of submicronic particulate matter (PM(1)) and intermodal particulate matter (PM(1-2.5)) on incident dyslipidemia in China: A nationwide 5-year cohort study. Environ. Res. 2023, 217, 114860. [Google Scholar] [CrossRef]
- Wang, Q.; Xu, X.; Zeng, Z.; Hylkema, M.N.; Cai, Z.; Huo, X. PAH exposure is associated with enhanced risk for pediatric dyslipidemia through serum SOD reduction. Environ. Int. 2020, 145, 106132. [Google Scholar] [CrossRef]
- Kim, D.W.; Ock, J.; Moon, K.W.; Park, C.H. Association between Heavy Metal Exposure and Dyslipidemia among Korean Adults: From the Korean National Environmental Health Survey, 2015–2017. Int. J. Environ. Res. Public Health 2022, 19, 3181. [Google Scholar] [CrossRef]
- Werder, E.J.; Beier, J.I.; Sandler, D.P.; Falkner, K.C.; Gripshover, T.; Wahlang, B.; Engel, L.S.; Cave, M.C. Blood BTEXS and heavy metal levels are associated with liver injury and systemic inflammation in Gulf states residents. Food Chem. Toxicol. 2020, 139, 111242. [Google Scholar] [CrossRef]
- Esteve, E.; Ricart, W.; Fernandez-Real, J.M. Dyslipidemia and inflammation: An evolutionary conserved mechanism. Clin. Nutr. 2005, 24, 16–31. [Google Scholar] [CrossRef] [PubMed]
- Xu, H.; Mao, Y.; Xu, B.; Hu, Y. Low-level environmental lead and cadmium exposures and dyslipidemia in adults: Findings from the NHANES 2005–2016. J. Trace Elem. Med. Biol. 2021, 63, 126651. [Google Scholar] [CrossRef]
- Wan, H.; Wang, D.; Liang, Y.; He, Y.; Ma, Q.; Li, T.; He, Y.; Guo, H.; Wang, J.; Li, Z.; et al. Single and combined associations of blood lead and essential metals with serum lipid profiles in community-dwelling adults. Front. Nutr. 2023, 10, 1129169. [Google Scholar] [CrossRef] [PubMed]
- Zhu, X.; Fan, Y.; Sheng, J.; Gu, L.; Tao, Q.; Huang, R.; Liu, K.; Yang, L.; Chen, G.; Cao, H.; et al. Association Between Blood Heavy Metal Concentrations and Dyslipidemia in the Elderly. Biol. Trace Elem. Res. 2021, 199, 1280–1290. [Google Scholar] [CrossRef] [PubMed]
- Cho, H.W.; Kim, S.H.; Park, M.J. An association of blood mercury levels and hypercholesterolemia among Korean adolescents. Sci. Total Environ. 2020, 709, 135965. [Google Scholar] [CrossRef] [PubMed]
- Duan, W.; Xu, C.; Liu, Q.; Xu, J.; Weng, Z.; Zhang, X.; Basnet, T.B.; Dahal, M.; Gu, A. Levels of a mixture of heavy metals in blood and urine and all-cause, cardiovascular disease and cancer mortality: A population-based cohort study. Environ. Pollut. 2020, 263, 114630. [Google Scholar] [CrossRef]
- Cao, H.M.; Yang, Y.Z.; Huang, B.Y.; Zhang, Y.; Wu, Y.; Wan, Z.; Ma, L. A cross-sectional study of the association between heavy metals and pan-cancers associated with sex hormones in NHANES 1999–2018. Environ. Sci. Pollut. Res. Int. 2023, 30, 61005–61017. [Google Scholar] [CrossRef]
- Swayze, S.; Rotondi, M.; Kuk, J.L. The Associations between Blood and Urinary Concentrations of Metal Metabolites, Obesity, Hypertension, Type 2 Diabetes, and Dyslipidemia among US Adults: NHANES 1999–2016. J. Environ. Public Health 2021, 2021, 2358060. [Google Scholar] [CrossRef]
- Barber, T.M.; Kabisch, S.; Pfeiffer, A.F.H.; Weickert, M.O. The Health Benefits of Dietary Fibre. Nutrients 2020, 12, 3209. [Google Scholar] [CrossRef]
- Stephen, A.M.; Champ, M.M.; Cloran, S.J.; Fleith, M.; van Lieshout, L.; Mejborn, H.; Burley, V.J. Dietary fibre in Europe: Current state of knowledge on definitions, sources, recommendations, intakes and relationships to health. Nutr. Res. Rev. 2017, 30, 149–190. [Google Scholar] [CrossRef]
- Howarth, N.C.; Huang, T.T.; Roberts, S.B.; McCrory, M.A. Dietary fiber and fat are associated with excess weight in young and middle-aged US adults. J. Am. Diet. Assoc. 2005, 105, 1365–1372. [Google Scholar] [CrossRef]
- Shinozaki, K.; Okuda, M.; Sasaki, S.; Kunitsugu, I.; Shigeta, M. Dietary Fiber Consumption Decreases the Risks of Overweight and Hypercholesterolemia in Japanese Children. Ann. Nutr. Metab. 2015, 67, 58–64. [Google Scholar] [CrossRef]
- Gill, S.K.; Rossi, M.; Bajka, B.; Whelan, K. Dietary fibre in gastrointestinal health and disease. Nat. Rev. Gastroenterol. Hepatol. 2021, 18, 101–116. [Google Scholar] [CrossRef]
- Soliman, G.A. Dietary Fiber, Atherosclerosis, and Cardiovascular Disease. Nutrients 2019, 11, 1155. [Google Scholar] [CrossRef]
- Caudill, S.P.; Schleicher, R.L.; Pirkle, J.L. Multi-rule quality control for the age-related eye disease study. Stat. Med. 2008, 27, 4094–4106. [Google Scholar] [CrossRef]
- Tanner, S.D.; Baranov, V.I.; Bandura, D.R. Reaction cells and collision cells for ICP-MS: A tutorial review. Spectrochim. Acta Part B Atom. Spectrosc. 2002, 57, 1361–1452. [Google Scholar] [CrossRef]
- Westgard, J.O.; Barry, P.L.; Hunt, M.R.; Groth, T. A multi-rule Shewhart chart for quality control in clinical chemistry. Clin. Chem. 1981, 27, 493–501. [Google Scholar] [CrossRef] [PubMed]
- Liu, Z.-Y.; Wang, C.; Huang, S.-Y.; Lu, X.-T.; Yang, Z.-J.; Lan, Q.-Y.; Huang, B.-X.; Chen, S.; Li, M.-C.; Zhu, H.-L. Does anti-inflammatory diet mitigate the deleterious effect of bisphenol A on mortality in US adults? Results from NHANES 2003–2016. Ecotoxicol. Environ. Saf. 2023, 253, 114706. [Google Scholar] [CrossRef]
- Recommendations on Potential Approaches to Dietary Assessent for Different Research Objectives Requiring Group-Level Estimates. Available online: https://dietassessmentprimer.cancer.gov/approach/table.html#intake (accessed on 11 October 2023).
- U.S. Department of Agriculture; U.S. Department of Health and Human Services. Dietary Guidelines for Americans, 2020–2025, 9th ed.; 2020. Available online: https://www.dietaryguidelines.gov (accessed on 1 August 2023).
- Tian, X.; Xue, B.; Wang, B.; Lei, R.; Shan, X.; Niu, J.; Luo, B. Physical activity reduces the role of blood cadmium on depression: A cross-sectional analysis with NHANES data. Environ. Pollut. 2022, 304, 119211. [Google Scholar] [CrossRef]
- Planchart, A.; Green, A.; Hoyo, C.; Mattingly, C.J. Heavy Metal Exposure and Metabolic Syndrome: Evidence from Human and Model System Studies. Curr. Environ. Health Rep. 2018, 5, 110–124. [Google Scholar] [CrossRef] [PubMed]
- Guo, X.; Wu, B.; Hu, W.; Wang, X.; Su, W.; Meng, J.; Lowe, S.; Zhao, D.; Huang, C.; Liang, M.; et al. Associations of perchlorate, nitrate, and thiocyanate with metabolic syndrome and its components among US adults: A cross-sectional study from NHANES. Sci. Total Environ. 2023, 879, 163083. [Google Scholar] [CrossRef] [PubMed]
- Bao, W.; Liu, B.; Rong, S.; Dai, S.Y.; Trasande, L.; Lehmler, H.J. Association Between Bisphenol A Exposure and Risk of All-Cause and Cause-Specific Mortality in US Adults. JAMA Netw. Open 2020, 3, e2011620. [Google Scholar] [CrossRef]
- Alberti, K.G.; Eckel, R.H.; Grundy, S.M.; Zimmet, P.Z.; Cleeman, J.I.; Donato, K.A.; Fruchart, J.C.; James, W.P.; Loria, C.M.; Smith, S.C., Jr.; et al. Harmonizing the metabolic syndrome: A joint interim statement of the International Diabetes Federation Task Force on Epidemiology and Prevention; National Heart, Lung, and Blood Institute; American Heart Association; World Heart Federation; International Atherosclerosis Society; and International Association for the Study of Obesity. Circulation 2009, 120, 1640–1645. [Google Scholar] [CrossRef]
- Lopes, A.C.; Peixe, T.S.; Mesas, A.E.; Paoliello, M.M. Lead Exposure and Oxidative Stress: A Systematic Review. Rev. Environ. Contam. Toxicol. 2016, 236, 193–238. [Google Scholar] [CrossRef]
- Jomova, K.; Valko, M. Advances in metal-induced oxidative stress and human disease. Toxicology 2011, 283, 65–87. [Google Scholar] [CrossRef] [PubMed]
- Attafi, I.M.; Bakheet, S.A.; Ahmad, S.F.; Belali, O.M.; Alanazi, F.E.; Aljarboa, S.A.; Al-Alallah, I.A.; Korashy, H.M. Lead Nitrate Induces Inflammation and Apoptosis in Rat Lungs Through the Activation of NF-kappaB and AhR Signaling Pathways. Environ. Sci. Pollut. Res. Int. 2022, 29, 64959–64970. [Google Scholar] [CrossRef]
- Flohe, L.; Brigelius-Flohe´, R.; Saliou, C.; Traber, M.G.; Packer, L. Redox regulation of NF-kappa B activation. Free Radic. Biol. Med. 1997, 22, 1115–1126. [Google Scholar] [CrossRef]
- Mittal, M.; Siddiqui, M.R.; Tran, K.; Reddy, S.P.; Malik, A.B. Reactive oxygen species in inflammation and tissue injury. Antioxid. Redox Signal. 2014, 20, 1126–1167. [Google Scholar] [CrossRef]
- Cronin, P.; Joyce, S.A.; O’Toole, P.W.; O’Connor, E.M. Dietary Fibre Modulates the Gut Microbiota. Nutrients 2021, 13, 1655. [Google Scholar] [CrossRef]
- Makki, K.; Deehan, E.C.; Walter, J.; Backhed, F. The Impact of Dietary Fiber on Gut Microbiota in Host Health and Disease. Cell Host Microbe 2018, 23, 705–715. [Google Scholar] [CrossRef] [PubMed]
- Liu, P.; Wang, Y.; Yang, G.; Zhang, Q.; Meng, L.; Xin, Y.; Jiang, X. The role of short-chain fatty acids in intestinal barrier function, inflammation, oxidative stress, and colonic carcinogenesis. Pharmacol. Res. 2021, 165, 105420. [Google Scholar] [CrossRef] [PubMed]
- Liu, B.; Du, Y.; Wu, Y.; Snetselaar, L.G.; Wallace, R.B.; Bao, W. Trends in obesity and adiposity measures by race or ethnicity among adults in the United States 2011-18: Population based study. BMJ 2021, 372, n365. [Google Scholar] [CrossRef] [PubMed]




| Baseline Characteristics | Total (n = 2128) | Dyslipidemia (n = 1499) | Non-Dyslipidemia (n = 629) | p |
|---|---|---|---|---|
| Age, years | 44.9 (0.6) | 48.3 (0.6) | 37.5 (0.7) | <0.001 |
| Gender, n (%) | 0.238 | |||
| Male | 1134 (51.9) | 796 (50.9) | 338 (54.1) | |
| Female | 994 (48.1) | 703 (49.1) | 291 (45.9) | |
| Race, n (%) | 0.034 | |||
| Mexican American | 249 (7.2) | 179 (7.1) | 70 (7.3) | |
| Non-Hispanic White | 917 (69.4) | 652 (70.8) | 265 (66.4) | |
| Non-Hispanic Black | 436 (11.1) | 294 (9.9) | 142 (13.7) | |
| Other races | 526 (12.3) | 374 (12.2) | 152 (12.6) | |
| Education level, n (%) | 0.278 | |||
| Below high school | 332 (11.2) | 250 (11.9) | 82 (9.6) | |
| Equivalent to high school | 450 (18.8) | 325 (19.0) | 125 (18.3) | |
| College or above | 1346 (70.0) | 924 (69.0) | 422 (72.0) | |
| PIR, n (%) | 0.079 | |||
| <1.3 | 615 (19.4) | 419 (17.8) | 196 (22.8) | |
| 1.3–3.5 | 791 (37.1) | 564 (37.7) | 227 (35.6) | |
| >3.5 | 722 (43.6) | 516 (44.5) | 206 (41.6) | |
| Marital status, n (%) | <0.001 | |||
| Never married | 474 (21.6) | 257 (16.8) | 217 (32.3) | |
| Married/Cohabiting | 1280 (63.5) | 946 (65.9) | 334 (58.1) | |
| Widowed/Divorced/Separated | 374 (14.9) | 296 (17.3) | 78 (9.6) | |
| BMI, kg/m2 | 28.7 (0.2) | 29.7 (0.2) | 26.3 (0.3) | <0.001 |
| PA, MET·hour/week | 79.2 (3.9) | 73.4 (4.4) | 92.3 (6.5) | 0.010 |
| WC, centimeter | 98.5 (0.6) | 101.6 (0.6) | 91.6 (0.7) | <0.001 |
| Smoke, n (%) | 0.523 | |||
| Never smoker | 1240 (58.9) | 850 (58.0) | 390 (61.0) | |
| Current smoker | 412 (18.1) | 296 (18.2) | 116 (17.8) | |
| Former smoker | 476 (23.0) | 353 (23.8) | 123 (21.2) | |
| Alcohol drinking, n (%) | 0.341 | |||
| Non-drinker | 548 (20.1) | 399 (21.1) | 149 (17.9) | |
| Light-to-moderate drinker | 230 (10.8) | 163 (11.0) | 67 (10.4) | |
| Heavy drinker | 1350 (69.1) | 937 (67.9) | 413 (71.8) | |
| Prevalent hypertension, n (%) | 789 (33.5) | 653 (39.9) | 136 (19.1) | <0.001 |
| Prevalent diabetes, n (%) | 363 (11.9) | 317 (15.5) | 46 (3.8) | <0.001 |
| Prevalent MetS, n (%) | 809 (35.1) | 755 (47.5) | 54 (7.5) | <0.001 |
| Total dietary fiber intake, g/1000 kcal/day, n (%) | 0.946 | |||
| Inadequate intake, <14 | 1895 (89.9) | 1335 (89.8) | 560 (89.9) | |
| Adequate intake, ≥14 | 233 (10.1) | 164 (10.2) | 69 (10.1) | |
| Pb, µg/dL | 1.26 (0.05) | 1.36 (0.07) | 1.04 (0.03) | <0.001 |
| Cd, µg/L | 0.43 (0.01) | 0.43 (0.02) | 0.43 (0.03) | 0.959 |
| Mn, µg/L | 9.80 (0.09) | 9.80 (0.11) | 9.86 (0.16) | 0.645 |
| THg, µg/L | 1.41 (0.09) | 1.44 (0.10) | 1.36 (0.11) | 0.397 |
| Heavy Metals | Crude | p | Model 1 | p | Model 2 | p |
|---|---|---|---|---|---|---|
| Pb (µg/dL) | 1.44 (1.24–1.68) | <0.001 | 1.21 (1.04–1.40) | 0.014 | 1.20 (1.03–1.40) | 0.020 |
| Cd (µg/L) | 1.01 (0.79–1.28) | 0.959 | 1.07 (0.82–1.39) | 0.601 | 0.87 (0.64–1.18) | 0.356 |
| Mn (µg/L) | 0.99 (0.96–1.02) | 0.639 | 0.99 (0.96–1.03) | 0.689 | 1.00 (0.96–1.04) | 0.991 |
| THg (µg/L) | 1.02 (0.97–1.08) | 0.424 | 1.01 (0.96–1.07) | 0.629 | 1.04 (0.97–1.10) | 0.271 |
| Total Dietary Fiber Intake | Case/Participants | % | OR (95% CI) | p |
|---|---|---|---|---|
| Inadequate intake, <14 | 1335/1895 | 70.4 | 1.26 (1.05–1.52) | 0.015 |
| Adequate intake, ≥14 | 164/233 | 70.4 | 1.01 (0.72–1.42) | 0.946 |
Disclaimer/Publisher’s Note: The statements, opinions and data contained in all publications are solely those of the individual author(s) and contributor(s) and not of MDPI and/or the editor(s). MDPI and/or the editor(s) disclaim responsibility for any injury to people or property resulting from any ideas, methods, instructions or products referred to in the content. |
© 2023 by the authors. Licensee MDPI, Basel, Switzerland. This article is an open access article distributed under the terms and conditions of the Creative Commons Attribution (CC BY) license (https://creativecommons.org/licenses/by/4.0/).
Share and Cite
Li, B.; Zhang, F.; Jiang, H.; Wang, C.; Zhao, Q.; Yang, W.; Hu, A. Adequate Intake of Dietary Fiber May Relieve the Detrimental Impact of Blood Lead on Dyslipidemia among US Adults: A Study of Data from the National Health and Nutrition Examination Survey Database. Nutrients 2023, 15, 4434. https://doi.org/10.3390/nu15204434
Li B, Zhang F, Jiang H, Wang C, Zhao Q, Yang W, Hu A. Adequate Intake of Dietary Fiber May Relieve the Detrimental Impact of Blood Lead on Dyslipidemia among US Adults: A Study of Data from the National Health and Nutrition Examination Survey Database. Nutrients. 2023; 15(20):4434. https://doi.org/10.3390/nu15204434
Chicago/Turabian StyleLi, Bin, Fengzhan Zhang, Haoqi Jiang, Chen Wang, Qihong Zhao, Wanshui Yang, and Anla Hu. 2023. "Adequate Intake of Dietary Fiber May Relieve the Detrimental Impact of Blood Lead on Dyslipidemia among US Adults: A Study of Data from the National Health and Nutrition Examination Survey Database" Nutrients 15, no. 20: 4434. https://doi.org/10.3390/nu15204434
APA StyleLi, B., Zhang, F., Jiang, H., Wang, C., Zhao, Q., Yang, W., & Hu, A. (2023). Adequate Intake of Dietary Fiber May Relieve the Detrimental Impact of Blood Lead on Dyslipidemia among US Adults: A Study of Data from the National Health and Nutrition Examination Survey Database. Nutrients, 15(20), 4434. https://doi.org/10.3390/nu15204434

