Early Tube Feeding Improves Nutritional Outcomes in Children with Neurological Disabilities: A Retrospective Cohort Study
Abstract
1. Introduction
2. Materials and Methods
Statistical Analysis
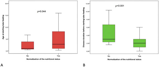
3. Results
4. Discussion
5. Conclusions
Author Contributions
Funding
Institutional Review Board Statement
Informed Consent Statement
Data Availability Statement
Conflicts of Interest
References
- Olusanya, B.O.; Kancherla, V.; Shaheen, A.; Ogbo, F.A.; Davis, A.C. Global and regional prevalence of disabilities among children and adolescents: Analysis of findings from global health databases. Front. Public Health 2022, 10, 977453. [Google Scholar] [CrossRef]
- Huysentruyt, K.; Geeraert, F.; Allemon, H.; Prinzie, P.; Roelants, M.; Ortibus, E.; Vandenplas, Y.; De Schepper, J. Nutritional red flags in children with cerebral palsy. Clin. Nutr. 2020, 39, 548–553. [Google Scholar] [CrossRef] [PubMed]
- Dipasquale, V.; Ventimiglia, M.; Gramaglia, S.M.C.; Parma, B.; Funari, C.; Selicorni, A.; Armano, C.; Salvatore, S.; Romano, C. Health-related quality of life and home enteral nutrition in children with neurological impairment: Report from a multicenter survey. Nutrients 2019, 11, 2968. [Google Scholar] [CrossRef] [PubMed]
- Jaganath, D.; Mupere, E. Childhood tuberculosis and malnutrition. J. Infect. Dis. 2012, 206, 1809–1815. [Google Scholar] [CrossRef] [PubMed]
- La Via, L.; Sanfilippo, F.; Cuttone, G.; Dezio, V.; Falcone, M.; Brancati, S.; Crimi, C.; Astuto, M. Use of ketamine in patients with refractory severe asthma exacerbations: Systematic review of prospective studies. Eur. J. Clin. Pharmacol. 2022, 78, 1613–1622. [Google Scholar] [CrossRef]
- Rytter, M.J.; Kolte, L.; Briend, A.; Friis, H.; Christensen, V.B. The immune system in children with malnutrition—A systematic review. PLoS ONE 2014, 9, e105017. [Google Scholar] [CrossRef]
- Romano, C.; van Wynckel, M.; Hulst, J.; Broekaert, I.; Bronsky, J.; Dall’Oglio, L.; Mis, N.F.; Hojsak, I.; Orel, R.; Papadopoulou, A.; et al. European Society for Paediatric Gastroenterology, Hepatology and Nutrition guidelines for the evaluation and treatment of gastrointestinal and nutritional complications in children with neurological impairment. J. Pediatr. Gastroenterol. Nutr. 2017, 65, 242–264. [Google Scholar] [CrossRef]
- Sullivan, P.B.; Juszczak, E.; Bachlet, A.M.; Lambert, B.; Vernon-Roberts, A.; Grant, H.W.; Eltumi, M.; McLean, L.; Alder, N.; Thomas, A.G. Gastrostomy tube feeding in children with cerebral palsy: A prospective, longitudinal study. Dev. Med. Child Neurol. 2005, 47, 77–85. [Google Scholar] [CrossRef]
- Institute of Medicine. Dietary Reference Intakes for Energy, Carbohydrate, Fiber, Fat, Fatty Acids, Cholesterol, Protein, and Amino Acids; National Academies Press: Washington, DC, USA, 2005. [Google Scholar]
- Institute of Medicine. Dietary Reference Intakes for Water, Potassium, Sodium, Chloride, and Sulfate; National Academies Press: Washington, DC, USA, 2004. [Google Scholar]
- Palisano, R.J.; Hanna, S.E.; Rosenbaum, P.L.; Russell, D.J.; Walter, S.D.; Wood, E.P.; Raina, P.S.; Galuppi, B.E. Validation of a model of gross motor function for children with cerebral palsy. Phys. Ther. 2000, 80, 974–985. [Google Scholar] [CrossRef]
- O’Neil, K.H.; Purdy, M.; Falk, J.; Gallo, L. The Dysphagia Outcome and Severity Scale. Dysphagia 1999, 14, 139–145. [Google Scholar] [CrossRef]
- Brant, C.Q.; Stanich, P.; Ferrari, A.P., Jr. Improvement of children’s nutritional status after enteral feeding by PEG: An interim report. Gastrointest. Endosc. 1999, 50, 183–188. [Google Scholar] [CrossRef] [PubMed]
- Sullivan, P.B.; Morrice, J.S.; Vernon-Roberts, A.; Grant, H.; Eltumi, M.; Thomas, A.G. Does gastrostomy tube feeding in children with cerebral palsy increase the risk of respiratory morbidity? Arch. Dis. Child. 2006, 91, 478–482. [Google Scholar] [CrossRef]
- Garciìa-Contreras, A.A.; Vasquez-Garibay, E.M.; Romero-Velarde, E.; Ibarra-Gutierrez, A.I.; Troyo-Sanroman, R.; Sandoval-Montes, I.E. Intensive nutritional support improves the nutritional status and body composition in severely malnourished children with cerebral palsy. Nutr. Hosp. 2014, 29, 838–843. [Google Scholar] [CrossRef] [PubMed]
- Dipasquale, V.; Catena, M.A.; Cardile, S.; Romano, C. Standard polymeric formula tube feeding in neurologically impaired children: A five-year retrospective study. Nutrients 2018, 10, 684. [Google Scholar] [CrossRef]
- Aydın, K.; Dalgıç, B.; Kansu, A.; Özen, H.; Selimoğlu, M.A.; Tekgül, H.; Ünay, B.; Yüce, A. The significance of MUAC z-scores in diagnosing pediatric malnutrition: A scoping review with special emphasis on neurologically disabled children. Front. Pediatr. 2023, 11, 1081139. [Google Scholar] [CrossRef]
- Ruiz Brunner, M.L.M.; Cieri, M.E.; Butler, C.; Cuestas, E. Development of equations and software for estimating weight in children with cerebral palsy. Dev. Med. Child Neurol. 2021, 63, 860–865. [Google Scholar] [CrossRef]
- Henriquez-Perez, G.; Rached-Paoli, I. Mid-arm circumference effectiveness for the nutritional screening of children in primary care. An. Venez. Nutr. 2011, 24, 5–12. [Google Scholar]
- Dipasquale, V.; Aumar, M.; Ley, D.; Antoine, M.; Romano, C.; Gottrand, F. Tube feeding in neurologically disabled children: Hot topics and new directions. Nutrients 2022, 14, 3831. [Google Scholar] [CrossRef]
- Dipasquale, V.; Gottrand, F.; Sullivan, P.B.; Romano, C. Top-ten tips for managing nutritional issues and gastrointestinal symptoms in children with neurological impairment. Ital. J. Pediatr. 2020, 46, 35. [Google Scholar] [CrossRef] [PubMed]
- Dipasquale, V.; Diamanti, A.; Trovato, C.M.; Elia, D.; Romano, C. Real food in enteral nutrition for chronically ill children: Overview and practical clinical cases. Curr. Med. Res. Opin. 2022, 38, 831–835. [Google Scholar] [CrossRef] [PubMed]
- Jeličić Kadić, A.; Radošević, T.; Žitko, V.; Despot, R.; Pogorelić, Z.; Llorente Muñoz, C.M.; Runjić, E.; Kovačević, T.; Ćatipović Ardalić, T.; Polić, B.; et al. Percutaneous endoscopic gastrostomy tubes can be considered safe in children: A single-center 11-year retrospective analysis. Medicina 2021, 57, 1236. [Google Scholar] [CrossRef] [PubMed]
- Alessandri, F.; Strisciuglio, C.; Borrazzo, C.; Cozzi, D.; Romano, C.; Betalli, P.; Villa, M.P.; Parisi, P.; Ziparo, C.; Rocco, M.; et al. Antibiotic prophylaxis for percutaneous endoscopic gastrostomy in children: A randomised controlled trial. J. Pediatr. Gastroenterol. Nutr. 2021, 72, 366–371. [Google Scholar] [CrossRef]
- Homan, M.; Hauser, B.; Romano, C.; Tzivinikos, C.; Torroni, F.; Gottrand, F.; Hojsak, I.; Dall’Oglio, L.; Thomson, M.; Bontems, P.; et al. Percutaneous endoscopic gastrostomy in children: An update to the ESPGHAN position paper. J. Pediatr. Gastroenterol. Nutr. 2021, 73, 415–426. [Google Scholar] [CrossRef] [PubMed]
- Sharma, R.; Williams, A.N.; Zaw, W. Timing of gastrostomy insertion in children with a neurodisability: A cross-sectional study of early versus late intervention. BMJ Open 2012, 2, bmjopen-2012-001793. [Google Scholar] [CrossRef] [PubMed]

| Variable | Total (n = 50) |
|---|---|
| Disease duration, years (mean ± SD) a | 2.6 ± 2.4 |
| Enteral formula, n (%) b | |
| Polymeric isocaloric | 29 (58) |
| Semielemental isocaloric | 17 (34) |
| Polymeric hypercaloric | 3 (6) |
| Elemental | 1 (2) |
| Homemade blended feed, n (%) * | |
| No | 46 (92) |
| Yes c | 3 (6) |
| Enteral access, n (%) | |
| PEG | 47 (94) |
| PEG-J | 3 (6) |
| Regimen, n (%) | |
| Intermittent | 38 (76) |
| Boluses | 9 (18) |
| Continuous | 3 (6) |
| Antireflux surgery, n (%) | |
| No | 41 (82) |
| Yes | 9 (18) |
| Variable, Median [IQR] | V0 | V1 | V2 | p (V0 vs. V1) | p (V0 vs. V2) | p (V1 vs. V2) |
|---|---|---|---|---|---|---|
| Weight-for-age, Z-score | −3.5 [−5;−2] | −2.3 [−3.75;−1] | −2 [−3.33;−1] | <0.001 * | <0.001 * | 0.073 |
| BMI, Z-score | −1.35 [−3;−1] | −0.1 [−1.15;0.25] | 1 [1.55;0.45] | 0.004 * | 0.064 * | 0.042 * |
| MUAC, cm | 14.75 [13;18] | 14.8 [13;18] | 16 [13.95;17.5] | 0.285 | 0.285 | 0.109 |
Disclaimer/Publisher’s Note: The statements, opinions and data contained in all publications are solely those of the individual author(s) and contributor(s) and not of MDPI and/or the editor(s). MDPI and/or the editor(s) disclaim responsibility for any injury to people or property resulting from any ideas, methods, instructions or products referred to in the content. |
© 2023 by the authors. Licensee MDPI, Basel, Switzerland. This article is an open access article distributed under the terms and conditions of the Creative Commons Attribution (CC BY) license (https://creativecommons.org/licenses/by/4.0/).
Share and Cite
Dipasquale, V.; Cucinotta, U.; Alibrandi, A.; Laganà, F.; Ramistella, V.; Romano, C. Early Tube Feeding Improves Nutritional Outcomes in Children with Neurological Disabilities: A Retrospective Cohort Study. Nutrients 2023, 15, 2875. https://doi.org/10.3390/nu15132875
Dipasquale V, Cucinotta U, Alibrandi A, Laganà F, Ramistella V, Romano C. Early Tube Feeding Improves Nutritional Outcomes in Children with Neurological Disabilities: A Retrospective Cohort Study. Nutrients. 2023; 15(13):2875. https://doi.org/10.3390/nu15132875
Chicago/Turabian StyleDipasquale, Valeria, Ugo Cucinotta, Angela Alibrandi, Francesca Laganà, Vincenzo Ramistella, and Claudio Romano. 2023. "Early Tube Feeding Improves Nutritional Outcomes in Children with Neurological Disabilities: A Retrospective Cohort Study" Nutrients 15, no. 13: 2875. https://doi.org/10.3390/nu15132875
APA StyleDipasquale, V., Cucinotta, U., Alibrandi, A., Laganà, F., Ramistella, V., & Romano, C. (2023). Early Tube Feeding Improves Nutritional Outcomes in Children with Neurological Disabilities: A Retrospective Cohort Study. Nutrients, 15(13), 2875. https://doi.org/10.3390/nu15132875

