Early Administration of Protein in Critically Ill Patients: A Retrospective Cohort Study
Abstract
1. Introduction
2. Materials and Methods
2.1. Patients
2.2. Study Design
2.3. Outcome
2.4. Ethics
2.5. Statistical Analysis
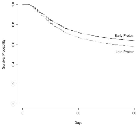
3. Results
3.1. Comparison with Late-High and Late-Low Protein
3.2. Sensitivity Analysis
4. Discussion
5. Conclusions
Supplementary Materials
Author Contributions
Funding
Conflicts of Interest
Abbreviations
| ICU | intensive care unit |
| SOFA | sequential organ failure assessment |
| REE | resting energy expenditure |
References
- Preiser, J.C.; Ichai, C.; Orban, J.C. Metabolic response to the stress of critical illness. Br. J. Anaesth. 2014, 113, 945–954. [Google Scholar] [CrossRef]
- Klaude, M.; Fredriksson, K.; Tjäder, I. Proteasome proteolytic activity in skeletal muscle is increased in patients with sepsis. Clin. Sci. 2007, 112, 499–506. [Google Scholar] [CrossRef]
- Deem, S. Intensive-care-unit-acquired muscle weakness. Respir. Care 2006, 51, 1042–1052. [Google Scholar]
- Kress, J.P.; Hall, J.B. ICU-acquired weakness and recovery from critical illness. N. Engl. J. Med. 2014, 370, 1626–1635. [Google Scholar] [CrossRef]
- Caparrós, T.; Lopez, J.; Grau, T. Early enteral nutrition in critically ill patients with a high-protein diet enriched with arginine, fiber, and antioxidants compared with a standard high-protein diet. The effect on nosocomial infections and outcome. J. Parenter. Enter. Nutr. 2001, 25, 299–308. [Google Scholar] [CrossRef]
- Allingstrup, M.; Esmailzadeh, N.; Wilken Knudsen, A. Provision of protein and energy in relation to measured requirements in intensive care patients. Clin. Nutr. 2012, 31, 462–468. [Google Scholar] [CrossRef]
- Weijs, P.J.; Stapel, S.N.; de Groot, S.F. Optimal protein and energy nutrition decreases mortality in mechanically ventilated, critically ill patients: A prospective observational cohort study. J. Parenter. Enter. Nutr. 2012, 36, 60–68. [Google Scholar] [CrossRef]
- Nicolo, M.; Heyland, D.K.; Chittams, J. Clinical outcomes related to protein delivery in a critically population: A multicenter, multinational observation study. J. Parenter. Enter. Nutr. 2016, 40, 45–51. [Google Scholar] [CrossRef]
- Zusman, O.; Theilla, M.; Cohen, J. Resting energy expenditure, calorie and protein consumption in critically ill patients: A retrospective cohort study. Crit. Care 2016, 20, 367. [Google Scholar] [CrossRef]
- Compher, C.; Chittams, J.; Sammarco, T. Greater protein and energy intake may be associated with improved mortality in higher risk critically ill patients: A multicenter, multinational observational study. Crit. Care Med. 2017, 45, 156–163. [Google Scholar] [CrossRef]
- Elke, G.; Wang, M.; Weiler, N. Close to recommended caloric and protein intake by enteral nutrition is associated with better clinical outcome of critically ill septic patients: A secondary analysis of a large international nutrition database. Crit. Care 2014, 18, R29. [Google Scholar] [CrossRef]
- McClave, S.A.; Taylor, B.E.; Martindale, R.G. Guidelines for the provision and assessment of nutrition support therapy in the adult critically ill patient: Society of Critical Care Medicine (SCCM) and American Society for Parenteral and Enteral Nutrition (A.S.P.E.N.). J. Parenter. Enter. Nutr. 2016, 40, 159–211. [Google Scholar] [CrossRef]
- Ferrie, S.; Allman-Farinelli, M.; Daley, M. Protein requirements in the critically ill: A randomized controlled trial using parenteral nutrition. J. Parenter. Enter. Nutr. 2016, 406, 795–805. [Google Scholar] [CrossRef]
- Rugeles, S.; Villarraga-Angulo, L.G.; Ariza-Gutiérrez, A. High-protein hypocaloric vs normocaloric enteral nutrition in critically ill patients: A randomized clinical trial. J. Crit. Care 2016, 35, 110–114. [Google Scholar] [CrossRef]
- Singer, P. High-dose amino acid infusion preserves diuresis and improves nitrogen balance in non-oliguric acute renal failure. Wien. Klin. Wochenschr. 2007, 119, 218–222. [Google Scholar] [CrossRef]
- Scheinkestel, C.D.; Kar, L.; Marshall, K. Prospective randomized trial to assess caloric and protein needs of critically ill, anuric, ventilated patients requiring continuous renal replacement therapy. Nutrition 2003, 19, 909–916. [Google Scholar] [CrossRef]
- Doig, G.S.; Simpson, F.; Bellomo, R. Intravenous amino acid therapy for kidney function in critically ill patients: A randomized controlled trial. Intensive Care Med. 2015, 41, 1197–1208. [Google Scholar] [CrossRef]
- Weijs, P.J.; Dickerson, R.N.; Heyland, D.K. Experimental and outcome-based approaches to protein requirements in the intensive care unit. Nutr. Clin. Pract. 2017, 32 (Suppl. 1), S77–S85. [Google Scholar] [CrossRef]
- Allingstrup, M.J.; Kondrup, J.; Wiis, J. Early goal-directed nutrition versus standard of care in adult intensive care patients: The single-centre, randomized, outcome assessor-blinded EAT-ICU trial. Intensive Care Med. 2017, 43, 1637–1647. [Google Scholar] [CrossRef]
- Rhodes, A.; Evans, L.E.; Alhazzani, W. Surviving sepsis campaign: International guidelines for management of sepsis and septic shock: 2016. Crit. Care Med. 2017, 45, 186–552. [Google Scholar] [CrossRef]
- Casaer MPWilmer, A.; Hermans, G. Role of disease and macronutrient dose in the randomized controlled EPaNIC trial: A post hoc analysis. Am. J. Respir. Crit. Care Med. 2013, 187, 247–255. [Google Scholar] [CrossRef]
- Lee, Z.Y.; Barakatun-Nisak, M.Y.; Noor Airini, I. Enhanced protein-energy provision via the enteral route in critically ill patients (PEP uP protocol): A review of evidence. Nutr. Clin. Pract. 2016, 31, 68–79. [Google Scholar] [CrossRef]
- Plank, L.D. Protein for the critically ill patient—what and when? Eur. J. Clinnutr. 2013, 67, 565–568. [Google Scholar] [CrossRef]
- Heyland, D.K.; Cahill, N.; Day, A.G. Optimal amount of calories for critically ill patients: Depends on how you slice the cake! Crit. Care Med. 2011, 39, 2619–2626. [Google Scholar] [CrossRef]
- Weijs, P.J.; Looijaard, W.G.; Beishuizen, A. Early high protein intake is associated with low mortality and energy overfeeding with high mortality in non-septic mechanically ventilated critically ill patients. Crit. Care 2014, 18, 701. [Google Scholar] [CrossRef]
- Koekkoek, W.A.C.K.; van Setten, C.H.C.; Olthof, L.E. Timing of PROTein Intake and clinical outcomes of adult critically ill patients on prolonged mechanical VENTilation: The PROTEINVENT retrospective study. Clin. Nutr. 2018. [Google Scholar] [CrossRef]
- Casaer, M.P.; Mesotten, D.; Hermans, G. Early versus late parenteral nutrition in critically ill adults. N. Engl. J. Med. 2011, 365, 506–517. [Google Scholar] [CrossRef]
- Davies, M.L.; Chapple, L.S.; Chapman, M.J. Protein delivery and clinical outcomes in the critically ill: A systematic review and meta-analysis. Crit. Care Resusc. 2017, 19, 117–127. [Google Scholar]
- Song, J.H.; Lee, H.S.; Kim, S.Y. The influence of protein provision in the early phase of intensive care on clinical outcomes for critically ill patients on mechanical ventilation. Asia Pac. J. Clin. Nutr. 2017, 26, 234–240. [Google Scholar]
- Doig, G.S.; Simpson, F.; Sweetman, E.A. Early parenteral nutrition in critically ill patients with short-term relative contraindications to early enteral nutrition: A randomized controlled trial. JAMA 2013, 309, 2130–2138. [Google Scholar] [CrossRef]
- Yeh, D.D.; Ortiz-Reyes, L.A.; Quraishi, S.A. Early nutritional inadequacy is associated with longer intensive care unit stay and fewer ventilator-free days: A retrospective analysis of patients with prolonged surgical intensive care unit stay. J. Parenter. Enter. Nutr. 2018, 42, 212–218. [Google Scholar]
- Zhu, R.; Allingstrup, M.J.; Perner, A. The effect of IV amino acid supplementation on mortality in ICU patients may be dependent on kidney function: Post hoc subgroup analyses of a multicenter randomized trial. Crit. Care Med. 2018, 46, 1293–1301. [Google Scholar] [CrossRef]
- Singer, P.; Berger, M.M.; Weijs, P.J.M. The lessons learned from the EAT ICU trial. Intensive Care Med. 2018, 44, 133–134. [Google Scholar] [CrossRef]
- Beale, R.J.; Sherry, T.; Lei, K. Early enteral supplementation with key pharmaconutrients improves Sequential Organ Failure Assessment score in critically ill patients with sepsis: Outcome of a randomized, controlled, double-blind trial. Crit. Care Med. 2008, 36, 131–144. [Google Scholar] [CrossRef]
- Rooyackers, O.; SundströmRehal, M.; Liebau, F. High protein intake without concerns? Crit. Care 2017, 21, 106. [Google Scholar] [CrossRef]
- Van Zanten, A.R.H.; Petit, L.; De Waele, J. Very high intact-protein formula successfully provides protein intake according to nutritional recommendations in overweight critically ill patients: A double-blind randomized trial. Crit. Care 2018, 22, 156. [Google Scholar] [CrossRef]
- Singer, P.; Reitham Blaser, A.; Berger, M.M. ESPEN Clinical guidelines for Nutrition in the Intensive Care. Clin. Nutr. 2018, in press. [Google Scholar] [CrossRef]



| Characteristic | Overall | Early Protein | Late Protein | p-Value |
|---|---|---|---|---|
| n | 2253 | 1040 | 1213 | |
| Age | 58.96 (18.32) | 59.22 (19.18) | 58.74 (17.55) | 0.537 |
| Male Sex | 1447 (64.2) | 651 (62.6) | 796 (65.6) | 0.147 |
| Weight | 80.22 (19.40) | 73.74 (13.91) | 85.78 (21.60) | <0.001 |
| Height | 1.70 (0.09) | 1.69 (0.09) | 1.70 (0.09) | <0.001 |
| Body surface area | 1.90 (0.22) | 1.84 (0.18) | 1.96 (0.23) | <0.001 |
| Body mass index | 27.91 (7.09) | 25.80 (4.47) | 29.72 (8.32) | <0.001 |
| SOFA score | 8.03 (3.57) | 7.69 (3.30) | 8.32 (3.77) | <0.001 |
| Ventilated | 2218 (98.4) | 1031 (99.1) | 1187 (97.9) | 0.023 |
| Vasopressors | 884 (39.2) | 396 (38.1) | 488 (40.2) | 0.317 |
| Cardiac | 365 (16.2) | 171 (16.4) | 194 (16.0) | 0.817 |
| Sepsis | 387 (17.2) | 169 (16.2) | 218 (18.0) | 0.306 |
| Surgical | 656 (29.1) | 311 (29.9) | 345 (28.4) | 0.475 |
| Trauma | 252 (11.2) | 131 (12.6) | 121 (10.0) | 0.057 |
| Respiratory | 379 (16.8) | 177 (17.0) | 202 (16.7) | 0.861 |
| Enteral Calories | 1334.64 (650.13) | 1457.64 (545.94) | 1227.77 (711.85) | <0.001 |
| Parenteral Calories | 346.28 (581.76) | 317.51 (578.83) | 371.29 (583.39) | 0.034 |
| Total Calories | 1684.17 (646.56) | 1780.17 (444.29) | 1601.87 (769.97) | <0.001 |
| Calculated energy expenditure | 2005.55 (485.01) | 1843.56 (347.63) | 2144.44 (540.05) | <0.001 |
| Administered calories to energy expenditure | 0.88 (0.37) | 0.98 (0.25) | 0.78 (0.42) | <0.001 |
| Significant parenteral nutrition | 311 (13.8) | 127 (12.2) | 184 (15.2) | 0.049 |
| Total protein delivered | 1058.74 (929.18) | 1193.92 (939.76) | 942.85 (904.45) | <0.001 |
| Daily protein delivered | 63.59 (19.00) | 71.18 (16.79) | 57.08 (18.35) | <0.001 |
| Daily protein, g/kg | 0.83 (0.28) | 0.98 (0.22) | 0.69 (0.26) | <0.001 |
| Daily protein, g/kg, first 3 days | 0.64 (0.33) | 0.93 (0.19) | 0.39 (0.19) | <0.001 |
| Daily protein, g/kg, other days | 0.87 (0.30) | 1.01 (0.24) | 0.75 (0.30) | <0.001 |
| Characteristic | Early Protein | Late-Low Protein | Late-High Protein | p |
|---|---|---|---|---|
| n | 1040 | 488 | 725 | |
| Age | 59.22 (19.18) | 60.39 (16.44) | 57.64 (18.18) | 0.031 |
| Male Sex | 651 (62.6) | 319 (65.4) | 477 (65.8) | 0.324 |
| Weight | 73.74 (13.91) | 96.81 (24.16) | 78.35 (15.86) | <0.001 |
| Height | 1.69 (0.09) | 1.71 (0.09) | 1.70 (0.09) | <0.001 |
| Body surface area | 1.84 (0.18) | 2.07 (0.23) | 1.89 (0.19) | <0.001 |
| Body mass index | 25.80 (4.47) | 33.38 (10.09) | 27.25 (5.66) | <0.001 |
| SOFA score | 7.69 (3.30) | 8.43 (3.82) | 8.25 (3.74) | <0.001 |
| Ventilated | 1031 (99.1) | 470 (96.3) | 717 (98.9) | <0.001 |
| Vasopressors | 396 (38.1) | 193 (39.5) | 295 (40.7) | 0.536 |
| Cardiac | 171 (16.4) | 86 (17.6) | 108 (14.9) | 0.432 |
| Sepsis | 169 (16.2) | 91 (18.6) | 127 (17.5) | 0.489 |
| Surgical | 311 (29.9) | 132 (27.0) | 213 (29.4) | 0.51 |
| Trauma | 131 (12.6) | 45 (9.2) | 76 (10.5) | 0.114 |
| Respiratory | 177 (17.0) | 91 (18.6) | 111 (15.3) | 0.305 |
| Enteral Calories | 1457.64 (545.94) | 1098.65 (632.99) | 1314.54 (748.29) | <0.001 |
| Parenteral Calories | 317.51 (578.83) | 262.91 (453.08) | 444.12 (646.79) | <0.001 |
| Total Calories | 1780.17 (444.29) | 1369.46 (679.59) | 1758.31 (787.96) | <0.001 |
| Calculated energy expenditure | 1843.56 (347.63) | 2420.13 (604.00) | 1958.86 (396.40) | <0.001 |
| Administered calories to energy expenditure | 0.98 (0.25) | 0.58 (0.28) | 0.92 (0.44) | <0.001 |
| Significant parenteral nutrition | 127 (12.2) | 50 (10.2) | 134 (18.5) | <0.001 |
| Total protein delivered | 1193.92 (939.76) | 561.80 (600.06) | 1199.33 (981.55) | <0.001 |
| Daily protein delivered | 71.18 (16.79) | 45.76 (13.76) | 64.69 (17.09) | <0.001 |
| Daily protein, g/kg | 0.98 (0.22) | 0.48 (0.10) | 0.84 (0.22) | <0.001 |
| Daily protein, g/kg, first 3 days | 0.93 (0.19) | 0.38 (0.19) | 0.39 (0.20) | <0.001 |
| Daily protein, g/kg, other days | 1.01 (0.24) | 0.48 (0.12) | 0.93 (0.23) | <0.001 |
© 2019 by the authors. Licensee MDPI, Basel, Switzerland. This article is an open access article distributed under the terms and conditions of the Creative Commons Attribution (CC BY) license (http://creativecommons.org/licenses/by/4.0/).
Share and Cite
Bendavid, I.; Zusman, O.; Kagan, I.; Theilla, M.; Cohen, J.; Singer, P. Early Administration of Protein in Critically Ill Patients: A Retrospective Cohort Study. Nutrients 2019, 11, 106. https://doi.org/10.3390/nu11010106
Bendavid I, Zusman O, Kagan I, Theilla M, Cohen J, Singer P. Early Administration of Protein in Critically Ill Patients: A Retrospective Cohort Study. Nutrients. 2019; 11(1):106. https://doi.org/10.3390/nu11010106
Chicago/Turabian StyleBendavid, Itai, Oren Zusman, Ilya Kagan, Miriam Theilla, Jonathan Cohen, and Pierre Singer. 2019. "Early Administration of Protein in Critically Ill Patients: A Retrospective Cohort Study" Nutrients 11, no. 1: 106. https://doi.org/10.3390/nu11010106
APA StyleBendavid, I., Zusman, O., Kagan, I., Theilla, M., Cohen, J., & Singer, P. (2019). Early Administration of Protein in Critically Ill Patients: A Retrospective Cohort Study. Nutrients, 11(1), 106. https://doi.org/10.3390/nu11010106

