High Spatial Resolution WorldView-2 Imagery for Mapping NDVI and Its Relationship to Temporal Urban Landscape Evapotranspiration Factors
Abstract
:1. Introduction
2. Methods and Materials
2.1. Study Area
2.2. Satellite Data
2.2.1. Vegetation Indices
2.2.2. Satellite Imagery Data Processing
2.3. Field Data
2.4. Correlating ET and NDVI
2.5. Independent Remotely-Sensed ET Estimation in Veale Gardens
3. Results
3.1. Selecting the Most Reliable NDVI from WV2 Images
3.2. Temporal Variation of Mean NDVI for Veale Gardens
3.3. Temporal Variation of Landscape NDVIs for each Vegetation Type in Veale Gardens
3.4. Observation-Based Landscape Evapotranspiration
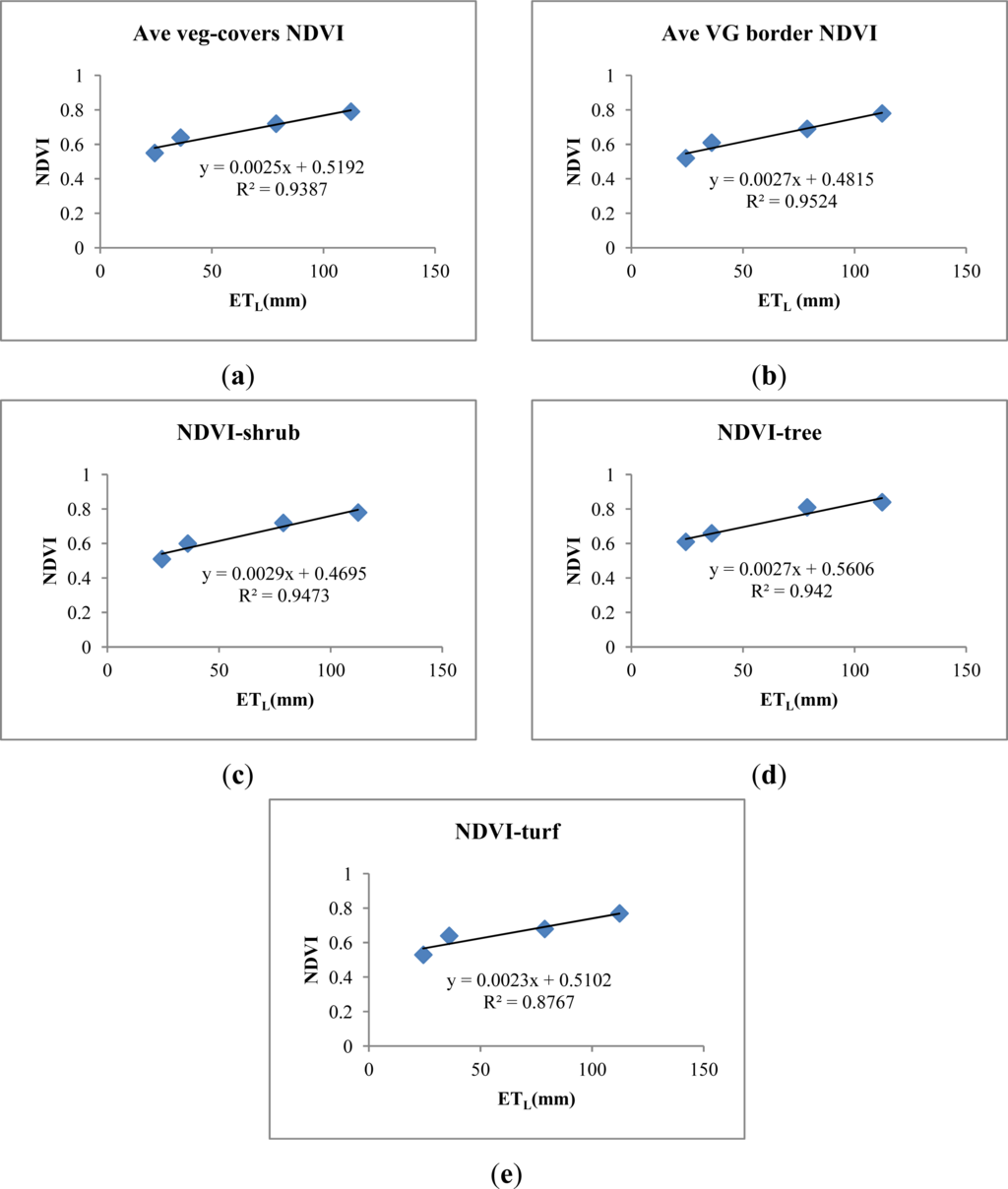
3.5. Temporal Variation of ETL, Mean Landscape NDVI and Landscape NDVIs for Different Vegetation Types
3.6. Independent Remotely-Sensed ET Estimation Using MODIS-EVI
4. Discussions
5. Conclusion
Acknowledgments
Conflicts of Interest
References
- Sumantra, C. A Modified Crop Coefficient Approach for Estimating Regional Evapotranspiration; NASA/USDA Workshop on Evapotranspiration: Silver Spring, MD, USA, 2011. [Google Scholar]
- Pu, R.; Landry, S. A comparative analysis of high spatial resolution IKONOS and WorldView-2 imagery for mapping urban tree species. Remote Sens. Environ 2012, 124, 516–533. [Google Scholar]
- Mulla, D.J. Twenty five years of remote sensing in precision agriculture: Key advances and remaining knowledge gaps. Biosyst. Eng 2013, 114, 358–371. [Google Scholar]
- NDVI History. Available online: http://www.maxmax.com/ndv_historyi.htm (accessed on 24 September 2013).
- Rouse, J.W.; Haas, R.H.; Schell, J.A.; Deering, D.W.; Harlan, J.C. Monitoring the Vernal Advancements and Retrogradation of Natural Vegetation-, Final Report; NASA/GSFC: Greenbelt, MD, USA, 1974; pp. 1–137. [Google Scholar]
- Huete, A.R. A soil-adjusted vegetation index (SAVI). Remote Sens. Environ 1988, 25, 295–309. [Google Scholar]
- Kim, M.S.; Daughtry, C.S.T.; Chappelle, E.W.; McMurtrey, J.E.; Walthall, C.L. The use of high spectral resolution bands for estimating absorbed photosynthetically active radiation. Proceedings of the 6th Symposium on Physical Measurements and Signatures in Remote Sensing, Val D’Isere, France, 17–21 January, 1994; pp. 299–306.
- Roujean, J.L.; Breon, F.M. Estimating PAR absorbed by vegetation from bidirectional reflectance measurements. Remote Sens. Environ 1995, 51, 375–384. [Google Scholar]
- Daughtry, C.S.T.; Walthall, C.L.; Kim, M.S.; de Colstoun, E.B.; McMurtrey, J.E., Iii. Estimating corn leaf chlorophyll concentration from leaf and canopy reflectance. Remote Sens. Environ 2000, 74, 229–239. [Google Scholar]
- Broge, N.H.; Leblanc, E. Comparing prediction power and stability of broadband and hyperspectral vegetation indices for estimation of green leaf area index and canopy chlorophyll density. Remote Sens. Environ 2000, 76, 156–172. [Google Scholar]
- Tang, S.; Zhu, Q.; Wang, J.; Zhou, Y.; Zhao, F. Principle and application of three-band gradient difference vegetation index. Sci. China Earth Sci 2005, 48, 241–249. [Google Scholar]
- Nagler, P.; Glenn, E.; Nguyen, U.; Scott, R.; Doody, T. Estimating riparian and agricultural actual evapotranspiration by reference evapotranspiration and MODIS enhanced vegetation index. Remote Sens 2013. [Google Scholar]
- Vina, A.; Gitelson, A.A.; Nguy-Robertson, A.L.; Peng, Y. Comparison of different vegetation indices for the remote assessment of green leaf area index of crops. Remote Sens. Environ 2011, 115, 3468–3478. [Google Scholar]
- Nouri, H.; Beecham, S.; Kazemi, F.; Hassanli, A.; Anderson, S. Remote sensing techniques for predicting evapotranspiration from mixed vegetated surfaces. Urban Water J 2013, in press.. [Google Scholar]
- Nouri, H.; Beecham, S.; Kazemi, F.; Hassanli, A.M. A review of ET measurement techniques for estimating the water requirements of urban landscape vegetation. Urban Water J 2012, 10, 247–259. [Google Scholar]
- Glenn, E.; Huete, A.; Nagler, P.; Nelson, S. Relationship between remotely-sensed vegetation indices, canopy attributes and plant physiological processes: What vegetation indices can and cannot tell us about the landscape. Sensors 2008, 8, 2136–2160. [Google Scholar]
- Rossato, L.; Alvala, R.C.S.; Ferreira, N.J.; Tomasella, J. Evapotranspiration estimation in the Brazil using NDVI data. Proc. SPIE 2005, 5976, 377–385. [Google Scholar]
- Duchemin, B.; Hadria, R.; Erraki, S.; Boulet, G.; Maisongrande, P.; Chehbouni, A.; Escadafal, R.; Ezzahar, J.; Hoedjes, J.C.B.; Kharrou, M.H.; et al. Monitoring wheat phenology and irrigation in Central Morocco: On the use of relationships between evapotranspiration, crops coefficients, leaf area index and remotely-sensed vegetation indices. Agric. Water Manag 2006, 79, 1–27. [Google Scholar]
- Glenn, E.; Nagler, P.; Huete, A. Vegetation index methods for estimating evapotranspiration by remote sensing. Surv. Geophys 2010, 31, 531–555. [Google Scholar]
- Glenn, E.P.; Morino, K.; Didan, K.; Jordan, F.; Carroll, K.C.; Nagler, P.L.; Hultine, K.; Sheader, L.; Waugh, J. Scaling sap flux measurements of grazed and ungrazed shrub communities with fine and coarse-resolution remote sensing. Ecohydrology 2008, 1, 316–329. [Google Scholar]
- Nagler, P.; Glenn, E.; Kim, H.; Emmerich, W.; Scott, R.; Huxman, T.; Huete, A. Seasonal and interannual variation of ET for a semiarid watershed estimated by moisture flux towers and MODIS vegetation indices. J. Arid Environ 2007, 70, 443–463. [Google Scholar]
- Nagler, P.; Morino, K.; Murray, R.S.; Osterberg, J.; Glenn, E. An empirical algorithm for estimating agricultural and riparian evapotranspiration using MODIS enhanced vegetation index and ground measurements of ET. I. Description of method. Remote Sens 2009, 1, 1273–1297. [Google Scholar]
- Nagler, P.L.; Cleverly, J.; Glenn, E.; Lampkin, D.; Huete, A.; Wan, Z. Predicting riparian evapotranspiration from MODIS vegetation indices and meteorological data. Remote Sens. Environ 2005, 94, 17–30. [Google Scholar]
- Nagler, P.L.; Glenn, E.P.; Hinojosa-Huerta, O. Synthesis of ground and remote sensing data for monitoring ecosystem functions in the Colorado River Delta, Mexico. Remote Sens. Environ 2009, 113, 1473–1485. [Google Scholar]
- Nagler, P.L.; Scott, R.L.; Westenburg, C.; Cleverly, J.R.; Glenn, E.P.; Huete, A.R. Evapotranspiration on western U.S. rivers estimated using the Enhanced Vegetation Index from MODIS and data from eddy covariance and Bowen ratio flux towers. Remote Sens. Environ 2005, 97, 337–351. [Google Scholar]
- Sheffield, J.; Ferguson, C.R.; Troy, T.J.; Wood, E.F.; McCabe, M.F. Closing the terrestrial water budget from satellite remote sensing. Geophys. Res. Lett 2009, 36, L07403. [Google Scholar]
- Wang, K.; Liang, S. An improved method for estimating global evapotranspiration based on satellite determination of surface net radiation, vegetation index, temperature, and soil moisture. J. Hydrometeorol 2008, 9, 712–727. [Google Scholar]
- Fensholt, R.; Proud, S.R. Evaluation of earth observation based global long term vegetation trends—Comparing GIMMS and MODIS global NDVI time series. Remote Sens. Environ 2012, 119, 131–147. [Google Scholar]
- Jiang, Z.; Huete, A.R.; Chen, J.; Chen, Y.; Li, J.; Yan, G.; Zhang, X. Analysis of NDVI and scaled difference vegetation index retrievals of vegetation fraction. Remote Sens. Environ 2006, 101, 366–378. [Google Scholar]
- Tucker, C.J. Red and photographic infrared linear combinations for monitoring vegetation. Remote Sens. Environ 1979, 8, 127–150. [Google Scholar]
- Sellers, P.J. Canopy reflectance, photosynthesis and transpiration. Int. J. Remote Sens 1985, 6, 1335–1372. [Google Scholar]
- Gontia, N.; Tiwari, K. Estimation of crop coefficient and evapotranspiration of Wheat (Triticum aestivum) in an irrigation command using remote sensing and GIS. Water Resour. Manage 2010, 24, 1399–1414. [Google Scholar]
- Johnson, L.F.; Trout, T.J. Satellite NDVI assisted monitoring of vegetable crop evapotranspiration in California’s San Joaquin Valley. Remote Sens 2012, 4, 439–455. [Google Scholar]
- Xiaocheng, Z.; Tamas, J.; Chongcheng, C.; Malgorzata, W.V. Urban Land Cover Mapping Based on Object Oriented Classification Using WorldView 2 Satellite Remote Sensing Images. Proceedings of International Scientific Conference on Sustainable Development & Ecological Footprint, Sopron, Hungary, 2012.
- Wolf, A.F. Using WorldView 2 Vis-NIR MSI imagery to support land mapping and feature extraction using Normalized Difference Index Ratios. Proc. SPIE 2010, 8390. [Google Scholar] [CrossRef]
- De Benedetto, D.; Castrignanò, A.; Rinaldi, M.; Ruggieri, S.; Santoro, F.; Figorito, B.; Gualano, S.; Diacono, M.; Tamborrino, R. An approach for delineating homogeneous zones by using multi-sensor data. Geoderma 2013, 199, 117–127. [Google Scholar]
- Eckert, S. Improved forest biomass and carbon estimations using texture measures from WorldView-2 satellite data. Remote Sens 2012, 4, 810–829. [Google Scholar]
- Mutanga, O.; Adam, E.; Cho, M.A. High density biomass estimation for wetland vegetation using WorldView-2 imagery and random forest regression algorithm. Int. J. Appl. Earth Obs. Geoinf 2012, 18, 399–406. [Google Scholar]
- Zengeya, F.M.; Mutanga, O.; Murwira, A. Linking remotely sensed forage quality estimates from WorldView-2 multispectral data with cattle distribution in a savanna landscape. Int. J. Appl. Earth Obs. Geoinf 2013, 21, 513–524. [Google Scholar]
- Brazile, J.; Richter, R.; Schläpfer, D.; Schaepman, M.E.; Itten, K.I. Cluster versus grid for operational generation of ATCOR’s Modtran-based look up tables. Parallel Comput 2008, 34, 32–46. [Google Scholar]
- Richter, R.; Schlapfer, D. Geo-atmospheric processing of airborne imaging spectrometry data. Part 2: atmospheric/topographic correction. Int. J. Remote Sens 2002, 23, 2631–2649. [Google Scholar]
- Schläpfer, D.; Richter, R. Geo-atmospheric processing of airborne imaging spectrometry data. Part 1: Parametric orthorectification. Int. J. Remote Sens 2002, 23, 2609–2630. [Google Scholar]
- Neubert, M.; Meinel, G. Atmospheric Correction and Terrain Correction of IKONOS Imagery Using ATCOR3. Evaluation of Segmentation Programs. 2005. Available online: http://www2.ioer.de/recherche/pdf/2005_neubert_meinel_isprs_hanover.pdf (accessed on 3 January 2014).
- Nouri, H.; Beecham, S.; Hassanli, A.M.; Kazemi, F. Water requirements of urban landscape plants: A comparison of three factor-based approaches. Ecol. Eng 2013, 57, 276–284. [Google Scholar]
- Allen, R.G.; Pereira, L.S.; Raes, D.; Smith, M. Crop Evapotranspiration. Guidelines for Computing Crop Water Requirements; FAO Irrigation and Drainage (No-56); Food and Agriculture Organisation of the United Nations: Rome, Itlay, 1998. [Google Scholar]
- Allen, R.G.; Smith, M.; Pereira, L.S.; Perrier, A. An Update for the Calculation of Reference Evapotranspiration; ICID Bulletin: New Delhi, India, 1994; pp. 35–92. [Google Scholar]
- Costello, L.R.; Jones, K.S. WUCOLS, Water Use Classification of Landscape Species: A Guide to the Water Needs of Landscape Plants; California Department of Water Resources: Sacramento, CA, USA, 1994. [Google Scholar]
- Costello, L.R.; Matheny, N.P.; Clark, J.R. A guide to estimating irrigation water needs of landscape plantings in California. The landscape coefficient method and WUCOLS III; University of California Cooperative Extension, California Department of Water Resources. 2000. Available online: http://www.water.ca.gov/wateruseefficiency/docs/wucols00.pdf (accessed on 2 January 2014).
- Salvador, R.; Bautista-Capetillo, C.; Playán, E. Irrigation performance in private urban landscapes: A study case in Zaragoza (Spain). Landsc. Urban Plan 2011, 100, 302–311. [Google Scholar] [Green Version]
- Pittenger, D.; Henry, M.; Shaw, D. Water Needs of Landscape Plants; UCR Turfgrass and Landscape Research Field Day;. University of California: Riverside, CA, USA, 2008. Available online: http://ucanr.edu/sites/UrbanHort/Water_Use_of_Turfgrass_and_Landscape_Plant_Materials/Plant_Water_Needs/Water_Needs_of_Landscape_Plants_/ (accessed on 3 January 2014).
- Pittenger, D.R.; Shaw, D.A.; Hodel, D.R.; Holt, D.B. Responses of landscape groundcovers to minimum irrigation. J. Environ. Hortic 2001, 19, 78–84. [Google Scholar]
- South Australian Water Corporation-IPOS Consulting. Irrigated Public Open Space: Code of Practice; IPOS Consulting: Adelaide, SA, Australia, 2008; p. 46. Available online: http://www.sawater.com.au/NR/rdonlyres/5D05C0E5-28C8-40F9-B936-4CA1875509AB/0/CoP_IPOS.pdf (accessed on 3 January 2014).
- Nouri, H.; Anderson, S.; Beecham, S.; Bruce, D. Estimation of Urban Evapotranspiration through Vegetation Indices Using worldview2 Satellite Remote Sensing Images. Proceedings of EFITA-WCCA-CIGR Conference Sustainable Agriculture through ICT Innovation, Turin, Italy, 23–27 June 2013; p. C0068.
- Devitt, D.A.; Fenstermaker, L.F.; Young, M.H.; Conrad, B.; Baghzouz, M.; Bird, B.M. Evapotranspiration of mixed shrub communities in phreatophytic zones of the Great Basin region of Nevada (USA). Ecohydrology 2010, 4, 807–822. [Google Scholar]
- Johnson, T.D.; Belitz, K. A remote sensing approach for estimating the location and rate of urban irrigation in semi-arid climates. J. Hydrol 2012, (414–415), 86–98. [Google Scholar]
- Palmer, A.R.; Fuentes, S.; Taylor, D.; Macinnis-Ng, C.; Zeppel, M.; Yunusa, I.; Eamus, D. Towards a spatial understanding of water use of several land-cover classes : an examination of relationships amongst pre-dawn leaf water potential, vegetation water use, aridity and MODIS LAI. Ecohydrology 2009, 3, 1–10. [Google Scholar]
- Glenn, E.P.; Mexicano, L.; Garcia-Hernandez, J.; Nagler, P.L.; Gomez-Sapiens, M.M.; Tang, D.; Lomeli, M.A.; Ramirez-Hernandez, J.; Zamora-Arroyo, F. Evapotranspiration and water balance of an anthropogenic coastal desert wetland: Responses to fire, inflows and salinities. Ecol. Eng 2013, in press.. [Google Scholar]
- Nagler, P.; Jetton, A.; Fleming, J.; Didan, K.; Glenn, E.; Erker, J.; Morino, K.; Milliken, J.; Gloss, S. Evapotranspiration in a cottonwood (Populus fremontii) restoration plantation estimated by sap flow and remote sensing methods. Agric. For. Meteorol 2007, 144, 95–110. [Google Scholar]
- Nagler, P.L.; Brown, T.; Hultine, K.R.; van Riper, C., Iii; Bean, D.W.; Dennison, P.E.; Murray, R.S.; Glenn, E.P. Regional scale impacts of Tamarix leaf beetles (Diorhabda carinulata) on the water availability of western U.S. rivers as determined by multi-scale remote sensing methods. Remote Sens. Environ 2012, 118, 227–240. [Google Scholar]















| Image Specification | Band No. | Spectral Resolution (nm) | Spatial Resolution (cm) |
|---|---|---|---|
| Panchromatic Multi-spectral | 450–800 | 46 | |
| Standard bands | |||
| Blue | 2 | 450–510 | |
| Green | 3 | 510–580 | |
| Red | 5 | 630–690 | |
| NIR1 | 7 | 770–895 | 184 (at Nadir) |
| New bands | |||
| Coastal blue | 1 | 400–450 | |
| Yellow | 4 | 585–625 | |
| Red-edge | 6 | 705–745 | |
| NIR2 | 8 | 860–1040 | |
| Date | 18 March 2012 | 29 June 2012 | 17 August 2012 | 9 November 2012 | 16 Jane 2013 |
|---|---|---|---|---|---|
| Catalogue ID | 1030010012 C13200 | 103001001 A27B400 | 103001001 B6A4C00 | 103001001 D8D1200 | 103001001 E5CA200 |
| Cloud cover in the image | 0 | 0 | 0 | 0 | 22% |
| Cloud cover over target area | 0 | 0 | 0 | 0 | 0 |
| NDVIs | Bands Combination | Band Names |
|---|---|---|
| NDVI1 | WV2: (band7−band5)/(band7+band5) | NIR1 and Red bands |
| NDVI2 | WV2: (band8−band6)/(band8+band6) | NIR2 and Red-Edge |
| NDVI3 | WV2: (band8−band4)/(band8+band4) | NIR2 and Yellow |
| NDVI4 | WV2: (band6−band1)/(band6+band1) | Red-Edge and Coastal Blue |
| NDVI5 | WV2: (band6−band5)/(band6+band5) | Red-Edge and Red |
| 12 March | 12 June | 12 August | 12 November | 13 Jane | |
|---|---|---|---|---|---|
| Mean Landscape NDVI of Veale Gardens borders | 0.69 | 0.52 | 0.61 | 0.78 | 0.64 |
| STD | 0.356 | 0.41 | 0.33 | 0.26 | 0.3 |
| Vegetation Types | Area (m2) | Mean Landscape NDVI (STD) | ||||
|---|---|---|---|---|---|---|
| March-12 | June-12 | August-12 | November-12 | Jane-13 | ||
| Tree | 21,896.8 | 0.81 (0.28) | 0.61 (0.35) | 0.66 (0.32) | 0.84 (0.19) | 0.74 (0.24) |
| Shrub | 10,051.3 | 0.72 (0.34) | 0.51 (0.41) | 0.6 (0.34) | 0.79 (0.26) | 0.67 (0.30) |
| Turf | 54,835 | 0.68 (0.34) | 0.53 (0.41) | 0.64 (0.30) | 0.77 (0.25) | 0.61 (0.28) |
© 2014 by the authors; licensee MDPI, Basel, Switzerland This article is an open access article distributed under the terms and conditions of the Creative Commons Attribution license ( http://creativecommons.org/licenses/by/3.0/).
Share and Cite
Nouri, H.; Beecham, S.; Anderson, S.; Nagler, P. High Spatial Resolution WorldView-2 Imagery for Mapping NDVI and Its Relationship to Temporal Urban Landscape Evapotranspiration Factors. Remote Sens. 2014, 6, 580-602. https://doi.org/10.3390/rs6010580
Nouri H, Beecham S, Anderson S, Nagler P. High Spatial Resolution WorldView-2 Imagery for Mapping NDVI and Its Relationship to Temporal Urban Landscape Evapotranspiration Factors. Remote Sensing. 2014; 6(1):580-602. https://doi.org/10.3390/rs6010580
Chicago/Turabian StyleNouri, Hamideh, Simon Beecham, Sharolyn Anderson, and Pamela Nagler. 2014. "High Spatial Resolution WorldView-2 Imagery for Mapping NDVI and Its Relationship to Temporal Urban Landscape Evapotranspiration Factors" Remote Sensing 6, no. 1: 580-602. https://doi.org/10.3390/rs6010580
APA StyleNouri, H., Beecham, S., Anderson, S., & Nagler, P. (2014). High Spatial Resolution WorldView-2 Imagery for Mapping NDVI and Its Relationship to Temporal Urban Landscape Evapotranspiration Factors. Remote Sensing, 6(1), 580-602. https://doi.org/10.3390/rs6010580

