Assessing Long-Term Impacts of Afforestation on Soil Conservation and Carbon Sequestration: A Spatially Explicit Analysis of China’s Shelterbelt Program Zones
Abstract
Highlights
- High-quality potential afforestation lands (≈2.33 × 105 km2) are mainly concentrated along the Hu Line, with 45.94% located in the upper and middle reaches of the Yangtze River shelterbelt program.
- By 2070, under the revised annual afforestation target (0.47 × 105 km2/year), the Taihang Mountain shelterbelt program achieves the largest gains, with soil conservation increasing by 47.56% and carbon sequestration by 10.15%.
- The pronounced regional differences indicate that future afforestation planning should adopt region-specific and optimized strategies rather than a uniform approach.
- The study aims to enhance ecosystem service functions in shelterbelt program zones through afforestation amendments and to promote sustainable land management.
Abstract
1. Introduction
2. Materials and Methods
2.1. Overview of the Study Area
2.2. Data Sources
2.3. Methodological Framework
2.4. Prediction of Future High-Quality Potential Afforestation Lands
2.4.1. Classification of Influencing Factors
2.4.2. Estimation of Regional Factor Weights and Afforestation Distribution
2.4.3. Confidence Level Analysis of Potential Afforestation Lands
2.5. LULC Amend Based on High-Quality Potential Afforestation Lands
2.6. Optimization of Ecosystem Service Land Patterns After Afforestation Amendments
2.6.1. Estimation of Soil Conservation and Carbon Sequestration
2.6.2. Investigation of Optimal Ecosystem Configuration
2.6.3. Computation of Optimal Ecosystem Configuration Using Bayesian Analysis
3. Results and Analysis
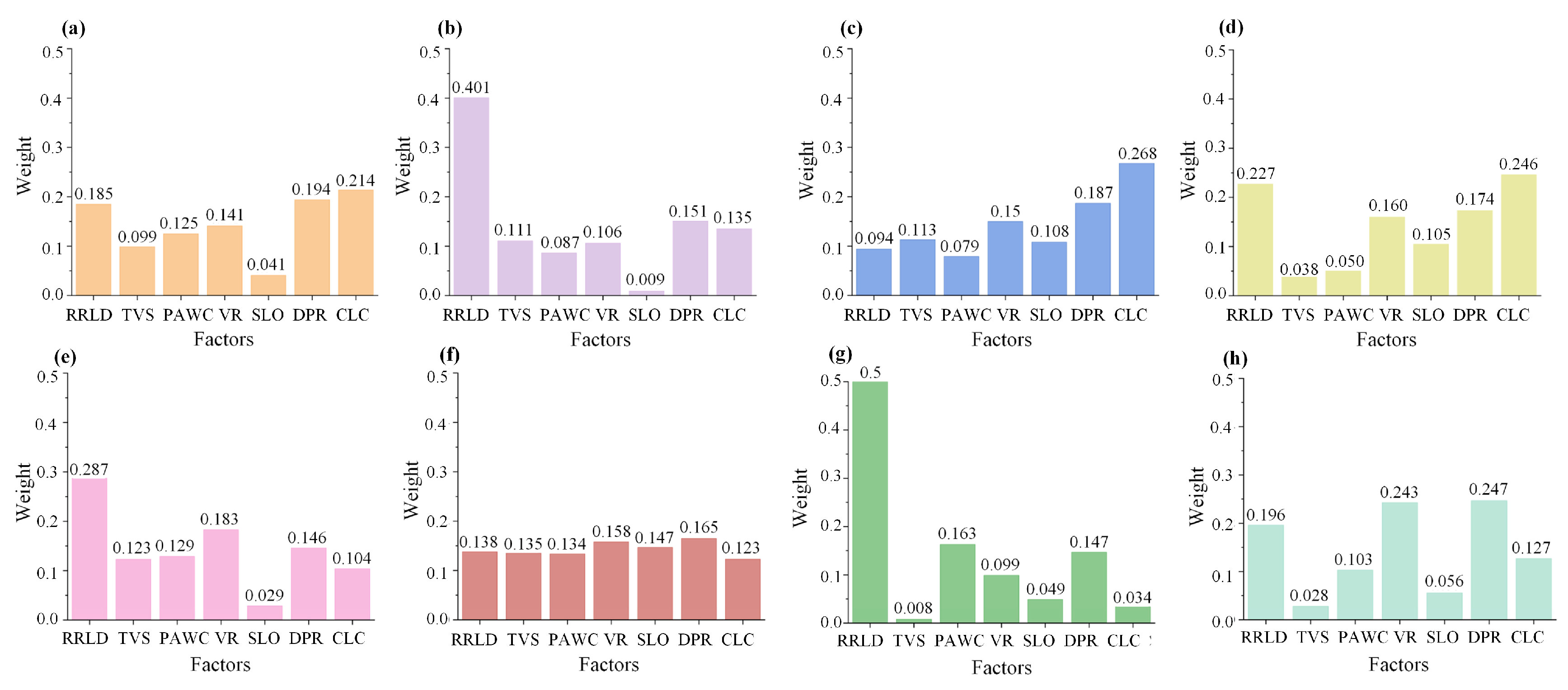
3.1. Evaluation of Key Factors Influencing Afforestation Potential in Program Zones
3.2. Potential Afforestation Lands at Different Confidence Levels
3.3. Analysis of Land Use Changes Before and After Potential Afforestation Amendments (2030–2070)
3.4. Ecosystem Service Optimization Across Shelterbelt Program Zones
3.5. Analysis of Optimal Ecosystem Service Configurations Across Afforestation Zones
3.6. Spatial Optimization of Ecosystem Services in Shelterbelt Program Zones
4. Discussion
4.1. Regional Differences in Key Factors Influencing Afforestation Potential
4.2. Mechanisms Through Which Afforestation Amendments Influence Ecosystem Services
4.3. Regional Afforestation Policy Analysis Considering Afforestation Impacts and Ecosystem Service Optimization
4.4. Limitations and Future Prospects
5. Conclusions
Author Contributions
Funding
Data Availability Statement
Conflicts of Interest
Appendix A




| Name | Accuracy |
|---|---|
| Three-north shelterbelt program | 0.588 |
| Shelterbelt program for Liaohe River | 0.726 |
| Shelterbelt program for middle reaches of Yellow River | 0.567 |
| Afforestation program for Taihang mountain | 0.582 |
| Coastal shelterbelt program | 0.704 |
| Shelterbelt program for upper and middle reaches of Yangtze River | 0.779 |
| Shelterbelt program for Huaihe River and Taihu Lake | 0.900 |
| Shelterbelt program for Pearl River | 0.967 |
| Variable | Statuses | Variable Scope |
|---|---|---|
| Soil conservation 30/50/70 (SC) | Lowest | <0 |
| Low | 0~100 | |
| Medium | 100~300 | |
| High | 300~1200 | |
| Highest | >1200 | |
| Carbon sequestration 30/50/70 (CS) | Lowest | <3000 |
| Low | 3000~5000 | |
| Medium | 5000~9700 | |
| High | 9700~12,000 | |
| Highest | >12,000 | |
| Root restricting layer depth (RRLD) | Lowest | >200 |
| Low | 130~200 | |
| Medium | 70~130 | |
| High | 70~30 | |
| Highest | <30 | |
| Slope (SLO) | Lowest | >45° |
| Low | 35°~45° | |
| Medium | 30°~35° | |
| High | 25°~30° | |
| Highest | 0°~25° | |
| Digital elevation model (DEM) | Lowest | <500 |
| Low | 500~1000 | |
| Medium | 1000~1500 | |
| High | 1500~3500 | |
| Highest | >3500 | |
| Precipitation 30/50/70 (PRE) | Lowest | <250 |
| Low | 250~450 | |
| Medium | 450~900 | |
| High | 900~1400 | |
| Highest | >1400 | |
| Climatic conditions (CLC) | Lowest | Based on the classification scheme (Section 2.4.1) |
| Low | ||
| Medium | ||
| High | ||
| Highest | ||
| Distance to primary road (DPR) | Lowest | >10 |
| Low | 5~10 | |
| Medium | 2~5 | |
| High | 1~2 | |
| Highest | 0~1 | |
| Soil erodibility (SE) | Lowest | <0.0095 |
| Low | 0.0095~0.0120 | |
| Medium | 0.0120~0.0135 | |
| High | 0.0135~0.0155 | |
| Highest | >0.0360 | |
| Top vegetation succession (TVS) | Lowest | Based on the classification scheme (Section 2.4.1) |
| Low | ||
| Medium | ||
| High | ||
| Highest | ||
| Vegetation resilience (VR) | Lowest | Based on the classification scheme (Section 2.4.1) |
| Low | ||
| Medium | ||
| High | ||
| Highest | ||
| Plant available water capacity (PAWC) | Lowest | 0.12~0.25 |
| Low | 0.25~0.45 | |
| Medium | 0.45~0.60 | |
| High | 0.60~0.80 | |
| Highest | 0.80~1.00 | |
| LULC 30/50/70 (LULC) | Cropland | - |
| Forestland | - | |
| Grassland | - | |
| Urban | - | |
| Wasteland | - | |
| Water | - |
References
- Doelman, J.C.; Stehfest, E.; van Vuuren, D.P.; Tabeau, A.; Hof, A.F.; Braakhekke, M.C.; Gernaat, D.; van den Berg, M.; van Zeist, W.J.; Daioglou, V.; et al. Afforestation for climate change mitigation: Potentials, risks and trade-offs. Glob. Change Biol. 2020, 26, 1576–1591. [Google Scholar] [CrossRef]
- Kong, X.; Zhang, X.; Xu, C.; Hauer, R.J. Review on Urban Forests and Trees as Nature-Based Solutions over 5 Years. Forests 2021, 12, 1453. [Google Scholar] [CrossRef]
- Guo, M.; Cong, X.; Zheng, H.; Zhang, M.-J.; Wang, L.-J.; Gong, J.-W.; Ma, S. Integrating the ordered weighted averaging method to establish an ecological security pattern for the Jianghuai ecological economic zone in China: Synergistic intraregional development. Ecol. Indic. 2022, 135, 108543. [Google Scholar] [CrossRef]
- Mirzabaev, A.; Wuepper, D. Economics of Ecosystem Restoration. Annu. Rev. Resour. Econ. 2023, 15, 329–350. [Google Scholar] [CrossRef]
- Orth, J. The Shelterbelt Project: Cooperative Conservation in 1930s America. Agric. Hist. 2007, 81, 333–357. [Google Scholar] [CrossRef]
- Davis, D.K.; Robbins, P. Ecologies of the colonial present: Pathological forestry from the taux de boisement to civilized plantations. Environ. Plan. E Nat. Space 2018, 1, 447–469. [Google Scholar] [CrossRef]
- Turner, M.D.; Davis, D.K.; Yeh, E.T.; Hiernaux, P.; Loizeaux, E.R.; Fornof, E.M.; Rice, A.M.; Suiter, A.K. Great Green Walls: Hype, Myth, and Science. Annu. Rev. Environ. Resour. 2023, 48, 263–287. [Google Scholar] [CrossRef]
- Stein, S. Coping with the ‘World’s Biggest Dust Bowl’. Towards a History of China’s Forest Shelterbelts, 1950s-Present. Glob. Environ. 2015, 8, 320–348. [Google Scholar] [CrossRef]
- Benjaminsen, T.A.; Hiernaux, P. From Desiccation to Global Climate Change: A History of the Desertification Narrative in the West African Sahel, 1900–2018. Glob. Environ. 2019, 12, 206–236. [Google Scholar] [CrossRef]
- Bagstad, K.J.; Johnson, G.W.; Voigt, B.; Villa, F. Spatial dynamics of ecosystem service flows: A comprehensive approach to quantifying actual services. Ecosyst. Serv. 2013, 4, 117–125. [Google Scholar] [CrossRef]
- Zhang, X.; Xu, D.; Wang, Z. Optimizing spatial layout of afforestation to realize the maximum benefit of water resources in arid regions: A case study of Alxa, China. J. Clean. Prod. 2021, 320, 128827. [Google Scholar] [CrossRef]
- Ministerial Conference on the Protection of Forests in Europe. Pan-European Guidelines for Afforestation and Reforestation with a Special Focus on the Provisions of the UNFCCC; MCPFE: Malahide, Ireland, 2008. [Google Scholar]
- Dushku, A.; Brown, S. Spatial modeling of baselines for LULUCF carbon projects: The GEOMOD modeling approach. In Proceedings of the 2003 International Conference on Topical Forests and Climate Change, Manila, Philippines, 21–22 October 2003. [Google Scholar]
- Xu, J. Estimation of the spatial distribution of potential forestation land and its climatic potential productivity in China. Acta Geogr. Sin. 2023, 78, 677–693. [Google Scholar] [CrossRef]
- He, Y.; Ma, J.; Chen, G. Potential geographical distribution and its multi-factor analysis of Pinus massoniana in China based on the maxent model. Ecol. Indic. 2023, 154, 110790. [Google Scholar] [CrossRef]
- Bastin, J.F.; Finegold, Y.; Garcia, C.; Mollicone, D.; Rezende, M.; Routh, D.; Zohner, C.M.; Crowther, T.W. The global tree restoration potential. Science 2019, 365, 76–79. [Google Scholar] [CrossRef]
- Zhang, Z.; Wang, Z.; Zhang, X.; Yang, S. Estimation of Spatial–Temporal Dynamic Evolution of Potential Afforestation Land and Its Carbon Sequestration Capacity in China. Remote Sens. 2024, 16, 3098. [Google Scholar] [CrossRef]
- Assesment, M.E. Ecosystems and human well-being: Synthesis. Phys. Teach. 2005, 34, 534. [Google Scholar]
- Gupta, S.K.; Kanga, S.; Meraj, G.; Singh, S.K.; Singh, S.; Sajan, B.; Kumar, P.; Rana, R.S.; Kumar, S.; Mishra, V.N. Optimizing land use for climate mitigation using nature based solution (NBS) strategy: A study on afforestation potential and carbon sequestration in Rajasthan, India. Discov. Geosci. 2024, 2, 36. [Google Scholar] [CrossRef]
- Zhang, J.; Wang, M.; Liu, K.; Chen, S.; Zhao, Z. Social-ecological system sustainability in China from the perspective of supply-demand balance for ecosystem services. J. Clean. Prod. 2025, 497, 145039. [Google Scholar] [CrossRef]
- Pérez-Silos, I.; Álvarez-Martínez, J.M.; Barquín, J. Large-scale afforestation for ecosystem service provisioning: Learning from the past to improve the future. Landsc. Ecol. 2021, 36, 3329–3343. [Google Scholar] [CrossRef]
- Li, R.; Li, R.; Zheng, H.; Yang, Y.; Ouyang, Z. Quantifying Ecosystem Service Trade-Offs to Inform Spatial Identification of Forest Restoration. Forests 2020, 11, 563. [Google Scholar] [CrossRef]
- Chuai, X.; Xia, M.; Xiang, A.; Miao, L.; Zhao, R.; Zuo, T. Vegetation coverage and carbon sequestration changes in China’s forest projects area. Glob. Ecol. Conserv. 2022, 38, e02257. [Google Scholar] [CrossRef]
- Gai, Y.; Sun, L.; Fu, S.; Zhu, C.; Zhu, C.; Li, R.; Liu, Z.; Wang, B.; Wang, C.; Yang, N.; et al. Impact of greening trends on biogenic volatile organic compound emissions in China from 1985 to 2022: Contributions of afforestation projects. Sci. Total Environ. 2024, 929, 172551. [Google Scholar] [CrossRef]
- Zhang, X.; Liu, L.; Chen, X.; Gao, Y.; Xie, S.; Mi, J. GLC_FCS30: Global land-cover product with fine classification system at 30 m using time-series Landsat imagery. Earth Syst. Sci. Data 2021, 13, 2753–2776. [Google Scholar] [CrossRef]
- Hou, H. Global IGBP LULC projection dataset under eight SSPs-RCPs. Figshare 2022, 10, m9. [Google Scholar] [CrossRef]
- Zhang, Z.; Wang, Z.; Zhang, X.; Liang, B.; Wang, J. Comprehensive assessment of potential forestation land in China considering factors of vegetation resilience and top vegetation succession. Ecol. Indic. 2024, 166, 112476. [Google Scholar] [CrossRef]
- Yan, F.; Shangguan, W.; Zhang, J.; Hu, B. Depth-to-bedrock map of China at a spatial resolution of 100 meters. Sci. Data 2020, 7, 2. [Google Scholar] [CrossRef] [PubMed]
- Wu, Z. Chinese Forests; Chinese Forestry Press: Beijing, China, 2001. [Google Scholar]
- Editorial Committee for Vegetation of China. Vegetation of China; Science Press: Beijing, China, 1980. [Google Scholar]
- Editorial Committee of Vegetation Map of China, Chinese Academy of Sciences. Vegetation Map of the People’s Republic of China (1:1000000); Geology Press: Beijing, China, 2007; Volume 1222, 1228p. [Google Scholar] [CrossRef]
- Huber, S.; Fensholt, R.; Rasmussen, K. Water availability as the driver of vegetation dynamics in the African Sahel from 1982 to 2007. Glob. Planet. Change 2011, 76, 186–195. [Google Scholar] [CrossRef]
- Zhou, W.; Liu, G.; Pan, J.; Feng, X. Distribution of available soil water capacity in China. J. Geogr. Sci. 2005, 15, 3–12. [Google Scholar] [CrossRef]
- Ciemer, C.; Boers, N.; Hirota, M.; Kurths, J.; Müller-Hansen, F.; Oliveira, R. Higher resilience to climatic disturbances in tropical vegetation exposed to more variable rainfall. Nat. Geosci. 2019, 12, 174–179. [Google Scholar] [CrossRef]
- Forzieri, G.; Dakos, V.; McDowell, N.G.; Ramdane, A.; Cescatti, A. Emerging signals of declining forest resilience under climate change. Nature 2022, 608, 534–539. [Google Scholar] [CrossRef]
- Scheffer, M.; Hirota, M.; Holmgren, M.; Van Nes, E.H.; Chapin, F.S., 3rd. Thresholds for boreal biome transitions. Proc. Natl. Acad. Sci. USA 2012, 109, 21384–21389. [Google Scholar] [CrossRef] [PubMed]
- Xu, H.; Yue, C.; Zhang, Y.; Liu, D.; Piao, S. Forestation at the right time with the right species can generate persistent carbon benefits in China. Proc. Natl. Acad. Sci. USA 2023, 120, e2304988120. [Google Scholar] [CrossRef]
- Zhou, G.; Zheng, Y.; Luo, T.; Chen, S. NPP model of natural vegetation and its application in China. Sci. Silvae Sin. 1998, 34. [Google Scholar]
- Shadmani, M.; Marofi, S.; Roknian, M. Trend Analysis in Reference Evapotranspiration Using Mann-Kendall and Spearman’s Rho Tests in Arid Regions of Iran. Water Resour. Manag. 2012, 26, 211–224. [Google Scholar] [CrossRef]
- Zhang, L.; Sun, P.; Huettmann, F.; Liu, S. Where should China practice forestry in a warming world? Glob. Change Biol. 2022, 28, 2461–2475. [Google Scholar] [CrossRef]
- World Resources Institute. Atlas of Forest and Landscape Restoration Opportunities; World Resources Institute: Washington, DC, USA, 2021.
- Cai, W.; He, N.; Li, M.; Xu, L.; Wang, L.; Zhu, J.; Zeng, N.; Yan, P.; Si, G.; Zhang, X.; et al. Carbon sequestration of Chinese forests from 2010 to 2060: Spatiotemporal dynamics and its regulatory strategies. Sci. Bull. 2022, 67, 836–843. [Google Scholar] [CrossRef]
- Zhang, W.B.; Fu, J.S. Rainfall erosivity estimation under different rainfall amount. Resour. Sci. 2003, 25, 35–41. [Google Scholar]
- Renard, K.G. Predicting Soil Erosion by Water: A Guide to Conservation Planning with the Revised Universal Soil Loss Equation (RUSLE); US Department of Agriculture, Agricultural Research Service: Ames, IA, USA, 1997.
- Zhang, J.; Liu, Z.; Guan, Z.; Wang, L.; Zhang, J.; Han, Z. Balancing future urban development and carbon sequestration: A multi-scenario InVEST model analysis of China’s urban clusters. J. Environ. Manag. 2025, 380, 125003. [Google Scholar] [CrossRef] [PubMed]
- Guo, Y.; Wu, Z.; Zheng, Z.; Li, X. An optimal multivariate-stratification geographical detector model for revealing the impact of multi-factor combinations on the dependent variable. GIScience Remote Sens. 2024, 61, 2422941. [Google Scholar] [CrossRef]
- Wang, J.; Li, X.; Christakos, G.; Liao, Y.; Zhang, T.; Gu, X.; Zheng, X.-Y. Geographical Detectors-Based Health Risk Assessment and its Application in the Neural Tube Defects Study of the Heshun Region, China. Int. J. Geogr. Inf. Sci. 2010, 24, 107–127. [Google Scholar] [CrossRef]
- Wu, J.; Fan, X.; Li, K.; Wu, Y. Assessment of ecosystem service flow and optimization of spatial pattern of supply and demand matching in Pearl River Delta, China. Ecol. Indic. 2023, 153, 110452. [Google Scholar] [CrossRef]
- Gonzalez-Redin, J.; Luque, S.; Poggio, L.; Smith, R.; Gimona, A. Spatial Bayesian belief networks as a planning decision tool for mapping ecosystem services trade-offs on forested landscapes. Environ. Res. 2016, 144, 15–26. [Google Scholar] [CrossRef] [PubMed]
- Li, M.; Liu, S.; Wang, F.; Liu, H.; Liu, Y.; Wang, Q. Cost-benefit analysis of ecological restoration based on land use scenario simulation and ecosystem service on the Qinghai-Tibet Plateau. Glob. Ecol. Conserv. 2022, 34, e02006. [Google Scholar] [CrossRef]
- Peng, L.; Chen, T.; Deng, W.; Liu, Y. Exploring ecosystem services trade-offs using the Bayesian belief network model for ecological restoration decision-making: A case study in Guizhou Province, China. Ecol. Indic. 2022, 135, 108569. [Google Scholar] [CrossRef]
- Hu, H. The Distribution of Population in China. Acta Geogr. Sin. 1935, 2, 33–74. [Google Scholar]
- Chen, J.-N.; Zhu, Z.-C.; Cao, S.; Zhao, P.-J.; Liu, P.; Li, D.-J.; Wang, W.-M.; Chen, Y. Scientific land greening under climate change: Theory, modeling, and challenges. Adv. Clim. Change Res. 2024, 15, 894–913. [Google Scholar] [CrossRef]
- Liu, Y.; Yuan, X.; Li, J.; Qian, K.; Yan, W.; Yang, X.; Ma, X. Trade-offs and synergistic relationships of ecosystem services under land use change in Xinjiang from 1990 to 2020: A Bayesian network analysis. Sci. Total Environ. 2023, 858, 160015. [Google Scholar] [CrossRef]
- Sun, J.; Li, G.; Zhang, Y.; Qin, W.; Wang, M. Identification of priority areas for afforestation in the Loess Plateau region of China. Ecol. Indic. 2022, 140, 108998. [Google Scholar] [CrossRef]
- Ren, Y.; Zhang, L.; Wei, X.; Song, Y.; Wu, S.; Wang, H.; Chen, X.; Qiao, Y.; Liang, T. Evaluating and simulating the impact of afforestation policy on land use and ecosystem services trade-offs in Linyi, China. Ecol. Indic. 2024, 160, 111898. [Google Scholar] [CrossRef]
- Bayer, A.D.; Lautenbach, S.; Arneth, A. Benefits and trade-offs of optimizing global land use for food, water, and carbon. Proc. Natl. Acad. Sci. USA 2023, 120, e2220371120. [Google Scholar] [CrossRef]
- Fesenmyer, K.A.; Poor, E.E.; Terasaki Hart, D.E.; Veldman, J.W.; Fleischman, F.; Choksi, P.; Archibald, S.; Armani, M.; Fagan, M.E.; Fricke, E.C.; et al. Addressing critiques refines global estimates of reforestation potential for climate change mitigation. Nat. Commun. 2025, 16, 4572. [Google Scholar] [CrossRef]
- Deng, Y.; Cai, W.; Hou, M.; Zhang, X.; Xu, S.; Yao, N.; Guo, Y.; Li, H.; Yao, S. How Eco-Efficiency Is the Forestry Ecological Restoration Program? The Case of the Sloping Land Conversion Program in the Loess Plateau, China. Land 2022, 11, 712. [Google Scholar] [CrossRef]
- Cui, W.; Liu, J.; Jia, J.; Wang, P. Terrestrial ecological restoration in China: Identifying advances and gaps. Environ. Sci. Eur. 2021, 33, 123. [Google Scholar] [CrossRef]
- Ming, D.; Wang, L.; Dai, L.; Zhang, Q.; Liang, T. Evaluation of water environment quality in a typical wetland on the Qinghai-Tibet Plateau using positive matrix factorization and self-organizing map. J. Clean. Prod. 2024, 479, 144069. [Google Scholar] [CrossRef]
- Nytch, C.J.; Rojas-Sandoval, J.; Erazo Oliveras, A.; Santiago García, R.J.; Meléndez-Ackerman, E.J. Effects of historical land use and recovery pathways on composition, structure, ecological function, and ecosystem services in a Caribbean secondary forest. For. Ecol. Manag. 2023, 546, 121311. [Google Scholar] [CrossRef]
- Shen, J.; Zhao, M.; Tan, Z.; Zhu, L.; Guo, Y.; Li, Y.; Wu, C. Ecosystem service trade-offs and synergies relationships and their driving factor analysis based on the Bayesian belief Network: A case study of the Yellow River Basin. Ecol. Indic. 2024, 163, 112070. [Google Scholar] [CrossRef]
- National Development and Reform Commission. Implementation Plan for Consolidating and Enhancing National Ecosystem Carbon Sink Capacity (2023); National Development and Reform Commission: Beijing, China, 2023.
- National Development and Reform Commission; Ministry of Natural Resources. Master Plan for Major Projects of National Key Ecosystem Protection and Restoration (2021–2035); National Development and Reform Commission: Beijing, China, 2020.
- Ning, K.; Chen, J.; Li, Z.; Liu, C.; Nie, X.; Liu, Y.; Wang, L.; Hu, X. Land use change induced by the implementation of ecological restoration Programs increases future terrestrial ecosystem carbon sequestration in red soil hilly region of China. Ecol. Indic. 2021, 133, 108409. [Google Scholar] [CrossRef]
- Huang, W.; Wang, P.; He, L.; Liu, B. Improvement of water yield and net primary productivity ecosystem services in the Loess Plateau of China since the “Grain for Green” project. Ecol. Indic. 2023, 154, 110707. [Google Scholar] [CrossRef]
- Zhang, M.; Liu, S.; Luo, X.; Keenan, T.F.; Fu, L.; Xiao, C.; Zhang, Y.; Gong, P. Incorporating site suitability and carbon sequestration of tree species into China’s climate-adaptive forestation. Sci. Bull. 2025, 70, 1834–1845. [Google Scholar] [CrossRef] [PubMed]
- Luo, D.; Zhou, Z.; Zhang, L.; Chen, Q.; Huang, D.; Feng, Q.; Wu, T.; Wu, L. Evolution and driver analysis of forest carbon stocks in karst mountainous areas of southwest China in the context of rocky desertification management. Catena 2024, 246, 108335. [Google Scholar] [CrossRef]
- Li, K.; Hou, Y.; Andersen, P.S.; Xin, R.; Rong, Y.; Skov-Petersen, H. Identifying the potential areas of afforestation projects using cost-benefit analysis based on ecosystem services and farmland suitability: A case study of the Grain for Green Project in Jinan, China. Sci. Total Environ. 2021, 787, 147542. [Google Scholar] [CrossRef]
- Cao, Z.; Wang, S.; Luo, P.; Xie, D.; Zhu, W. Watershed Ecohydrological Processes in a Changing Environment: Opportunities and Challenges. Water 2022, 14, 1502. [Google Scholar] [CrossRef]
- He, N.; Wen, D.; Zhu, J.; Tang, X.; Xu, L.; Zhang, L.; Hu, H.; Huang, M.; Yu, G. Vegetation carbon sequestration in Chinese forests from 2010 to 2050. Glob. Change Biol. 2017, 23, 1575–1584. [Google Scholar] [CrossRef]
- Li, M.; Abuduwaili, J.; Liu, W.; Feng, S.; Saparov, G.; Ma, L. Application of geographical detector and geographically weighted regression for assessing landscape ecological risk in the Irtysh River Basin, Central Asia. Ecol. Indic. 2024, 158, 111540. [Google Scholar] [CrossRef]
- Wu, C.; Liu, X.; Pei, F.; Liu, K.; Cai, Y.; Xu, X.; Zhuang, H.; Cai, Y.; Li, B. Non-negligible large impact of potential forestation on livestock production in China. Geogr. Sustain. 2025, 6, 100270. [Google Scholar] [CrossRef]
- Sousa-Silva, R.; Verbist, B.; Lomba, Â.; Valent, P.; Suškevičs, M.; Picard, O.; Hoogstra-Klein, M.A.; Cosofret, V.-C.; Bouriaud, L.; Ponette, Q.; et al. Adapting forest management to climate change in Europe: Linking perceptions to adaptive responses. For. Policy Econ. 2018, 90, 22–30. [Google Scholar] [CrossRef]










| Data Name | Datasets Source | Year | Format and Resolution | URL |
|---|---|---|---|---|
| LULC data | Global IGBP LULC projection dataset under eight SSPs-RCPs | 2030–2070 | Raster, 1 km | Global IGBP LULC projection dataset under eight SSPs-RCPs (http://www.figshare.com) (accessed on 5 October 2024) |
| GlobeLand30; GLC_FCS30 | 2020 | Raster, 30 m | http://www.globallandcover.com/; http://data.casearth.cn (accessed on 5 October 2024) | |
| DEM data | SRTM30 m spatial resolution DEM data | 2000 | Raster, 30 m | https://srtm.csi.cgiar.org/srtmdata/ (accessed on 5 October 2024) |
| Temperature and precipitation data | National Tibetan Plateau Data Center | 1991–2020 | Raster, 1 km | http://data.tpdc.ac.cn/zh-hans/ (accessed on 6 October 2024) |
| Precipitation data (future) | National Tibetan Plateau Data Center | 2030–2070 | Raster, 1 km | http://data.tpdc.ac.cn/zh-hans/ (accessed on 6 October 2024) |
| Shelterbelt program zoning data | Shelterbelt program distribution in China | 2016 | Vector | https://www.resdc.cn (accessed on 15 March 2024) |
| Ecological zoning data | Eco-geographic partitions in China | 2016 | Vector | http://www.geodata.cn (accessed on 15 March 2024) |
| Treeline data | Derived from temperature data | 1991–2020 | Raster, 30 m | https://doi.org/10.11821/dlxb202303011 (accessed on 14 April 2025) |
| Soil statistical data | Harmonized World Soil Database | 2023 | Raster, 1 km | https://gaez.fao.org/pages/hwsd (accessed on 9 April 2025) |
| Depth-to-bedrock map data | Depth-to-bedrock map of China | 2019 | Raster, 1 km | https://www.nature.com/articles/s41597-019-0345-6 (accessed on 5 November 2024) |
| Traffic data | OpenStreetMap Planet | 2017 | Vector | https://planet.openstreetmap.org/ (accessed on 22 November 2024) |
| Vegetation cover resilience data | Vegetation resilience data set for countries along the Belt and Road | 2000–2020 | Raster, 1 km | https://data.tpdc.ac.cn/zh-hans/data/24312c5e-9288-450b-acba-d5cb9edaea5f/ (accessed on 29 March 2025) |
| Carbon density values data | Carbon density values of land use types under different scenarios of urban clusters in China | 2020–2070 | Tabular, CSV | https://doi.org/10.1016/j.jenvman.2025.125003 (accessed on 30 March 2025) |
| Top vegetation succession data | vegetation succession data in China | 2020–2060 | Raster, 1 km | https://doi.org/10.1016/j.ecolind.2024.112476 (accessed on 30 March 2025) |
| Afforestation Programs | 2030 (ba) | 2030 (aa) | 2050 (ba) | 2050 (aa) | 2070 (ba) | 2070 (aa) |
|---|---|---|---|---|---|---|
| Three-north shelterbelt program | 25.54 | 25.57 | 24.84 | 24.84 | 25.52 | 25.54 |
| Shelterbelt program for Liaohe River | 1.41 | 1.42 | 1.43 | 1.43 | 1.41 | 1.41 |
| Shelterbelt program for middle reaches of Yellow River | 1.27 | 1.28 | 0.91 | 0.92 | 1.17 | 1.27 |
| Afforestation program for Taihang Mountain | 0.71 | 1.03 | 0.62 | 0.97 | 0.70 | 0.71 |
| Coastal shelterbelt program | 1.16 | 1.21 | 1.24 | 1.28 | 1.17 | 1.16 |
| Shelterbelt program for the upper and middle reaches of Yangtze River | 4.71 | 4.72 | 4.62 | 4.64 | 4.64 | 4.71 |
| Shelterbelt program for Huaihe River and Taihu Lake | 2.10 | 2.11 | 2.16 | 2.16 | 2.15 | 2.16 |
| Shelterbelt program for Pearl River | 0.90 | 0.90 | 0.89 | 1.73 | 0.84 | 1.61 |
| Afforestation Programs | 2030 (ba) | 2030 (aa) | 2050 (ba) | 2050 (aa) | 2070 (ba) | 2070 (aa) |
|---|---|---|---|---|---|---|
| Three-north shelterbelt program | 4.83 | 4.84 | 4.79 | 4.84 | 4.69 | 4.77 |
| Shelterbelt program for Liaohe River | 1.13 | 1.15 | 1.12 | 1.15 | 1.09 | 1.15 |
| Shelterbelt program for middle reaches of Yellow River | 1.64 | 1.67 | 1.61 | 1.68 | 1.53 | 1.63 |
| Afforestation program for Taihang mountain | 1.10 | 1.13 | 1.04 | 1.10 | 0.98 | 1.08 |
| Coastal shelterbelt program | 1.79 | 1.79 | 1.72 | 1.73 | 1.64 | 1.65 |
| Shelterbelt program for upper and middle reaches of Yangtze River | 13.96 | 13.99 | 13.82 | 13.94 | 13.39 | 13.59 |
| Shelterbelt program for Huaihe River and Taihu Lake | 2.09 | 2.09 | 1.98 | 1.98 | 1.68 | 1.68 |
| Shelterbelt program for Pearl River | 4.43 | 4.42 | 4.39 | 4.39 | 4.33 | 4.34 |
| LULC Type | 2030 (ba) | 2030 (aa) | 2050 (ba) | 2050 (aa) | 2070 (ba) | 2070 (aa) |
|---|---|---|---|---|---|---|
| Cropland | 1.10 × 105 | 1.07 × 105 | 1.07 × 105 | 0.98 × 105 | 0.95 × 105 | 0.83 × 105 |
| Forestland | 5.45 × 104 | 5.97 × 104 | 5.49 × 104 | 6.94 × 104 | 5.77 × 104 | 7.99 × 104 |
| Grassland | 6.86 × 104 | 6.64 × 104 | 6.91 × 104 | 6.31 × 104 | 7.50 × 104 | 6.51 × 104 |
| Urban | 4.98 × 103 | 4.92 × 103 | 7.53 × 103 | 7.30 × 103 | 1.03 × 104 | 9.90 × 103 |
| Wasteland | 3.49 × 102 | 3.49 × 102 | 3.49 × 102 | 3.49 × 102 | 3.49 × 102 | 3.49 × 102 |
| Water | 3.93 × 102 | 3.83 × 102 | 3.93 × 102 | 3.72 × 102 | 3.93 × 102 | 3.64 × 102 |
Disclaimer/Publisher’s Note: The statements, opinions and data contained in all publications are solely those of the individual author(s) and contributor(s) and not of MDPI and/or the editor(s). MDPI and/or the editor(s) disclaim responsibility for any injury to people or property resulting from any ideas, methods, instructions or products referred to in the content. |
© 2025 by the authors. Licensee MDPI, Basel, Switzerland. This article is an open access article distributed under the terms and conditions of the Creative Commons Attribution (CC BY) license (https://creativecommons.org/licenses/by/4.0/).
Share and Cite
Zhang, L.; Zhang, X.; Zhang, Z.; Zhang, X.; Huang, H.; Wang, Z. Assessing Long-Term Impacts of Afforestation on Soil Conservation and Carbon Sequestration: A Spatially Explicit Analysis of China’s Shelterbelt Program Zones. Remote Sens. 2025, 17, 3455. https://doi.org/10.3390/rs17203455
Zhang L, Zhang X, Zhang Z, Zhang X, Huang H, Wang Z. Assessing Long-Term Impacts of Afforestation on Soil Conservation and Carbon Sequestration: A Spatially Explicit Analysis of China’s Shelterbelt Program Zones. Remote Sensing. 2025; 17(20):3455. https://doi.org/10.3390/rs17203455
Chicago/Turabian StyleZhang, Lanqing, Xinyuan Zhang, Zhipeng Zhang, Xiaoyuan Zhang, Huihui Huang, and Zong Wang. 2025. "Assessing Long-Term Impacts of Afforestation on Soil Conservation and Carbon Sequestration: A Spatially Explicit Analysis of China’s Shelterbelt Program Zones" Remote Sensing 17, no. 20: 3455. https://doi.org/10.3390/rs17203455
APA StyleZhang, L., Zhang, X., Zhang, Z., Zhang, X., Huang, H., & Wang, Z. (2025). Assessing Long-Term Impacts of Afforestation on Soil Conservation and Carbon Sequestration: A Spatially Explicit Analysis of China’s Shelterbelt Program Zones. Remote Sensing, 17(20), 3455. https://doi.org/10.3390/rs17203455
