Evaluating the Potential of Improving In-Season Potato Nitrogen Status Diagnosis Using Leaf Fluorescence Sensor as Compared with SPAD Meter
Abstract
1. Introduction
2. Materials and Methods
2.1. Experiment Sites
2.2. Experiment Designs
2.3. Collection of Plant Samples and Sensor Data
2.4. Data Wrangling
2.5. Statistical Analysis
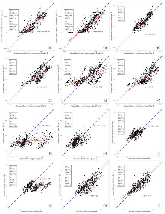
3. Results
3.1. Scenario 1: Leaf Sensor Data Only
3.2. Scenario 2: Multi-Source Data Fusion
4. Discussion
4.1. Comparing the Ability of SPAD and Dualex to Predict Potato N Status Indicators
4.2. Improving Potato N Status Indicator Prediction Using Multi-Source Data Fusion
4.3. Implications for In-Season Potato N Status Diagnosis
5. Conclusions
Author Contributions
Funding
Data Availability Statement
Acknowledgments
Conflicts of Interest
Abbreviations
| Anth | Anthocyanin |
| Chl | Chlorophyll |
| DAP | Diammonium phosphate |
| DAS | Days after sowing |
| DM | Dry matter |
| Dualex | Dualex Scientific+ |
| ESN | Environmentally Smart Nitrogen |
| Flav | Flavonol |
| FN | False negatives |
| FP | False positives |
| GDD | Growing degree days |
| LASSO | Least absolute shrinkage and selection operator |
| MAE | Mean absolute error |
| min_n | Minimum samples per node |
| ML | Machine learning |
| mtry | Number of variables randomly selected at each split |
| MLR | Multiple linear regression |
| n | Number of observations |
| N | Nitrogen |
| NBI | Nitrogen balance index |
| Nc | Critical nitrogen concentration |
| NNI | Nitrogen nutrition index |
| OM | Organic matter |
| PNC | Plant nitrogen concentration (whole-plant) |
| PNNC | Petiole nitrate-N concentration |
| PNU | Plant nitrogen uptake |
| Pₑ | Expected agreement by chance |
| Pₒ | Observed agreement |
| R2 | Coefficient of determination |
| RFR | Random forest regression |
| RMSE | Root mean square error |
| SHAP | Shapley additive explanation |
| SPAD | Soil plant analysis development |
| SR | Simple regression |
| SVR | Support vector regression |
| TN | True negatives |
| Tmax | Daily maximum temperature |
| Tmin | Daily minimum temperature |
| TP | True positives |
| TNC | Tuber nitrogen concentration |
| trees | Number of trees in the forest |
| VNC | Vine nitrogen concentration |
| W | Plant dry biomass |
| Wt | Dry tuber biomass |
| Wv | Dry vine biomass |
| XGBoost | Extreme gradient boosting |
| yᵢ | Observed value of the i-th observation |
| ŷᵢ | Predicted value of the i-th observation |
| ȳ | Mean of observed values |
Appendix A
| Sensor | Type | Equation | R2 |
|---|---|---|---|
| PNNC | |||
| SPAD | power | y = 4.32 × 10−10 x8.11 | 0.55 |
| DuxChl | power | y = 8.52 × 10−5 x5.46 | 0.38 |
| DuxFlav | quadratic | y = −10,342.21 x2 − 129,710.52 x + 10,896.26 | 0.41 |
| DuxAnth | quadratic | y = −29,994.25 x2 − 73,319.01 x + 10,896.26 | 0.15 |
| DuxNBI | quadratic | y = −6568.29 x2 − 149,803.83 x + 10,896.26 | 0.55 |
| VNC | |||
| SPAD | power | y = 4.15 × 10−3 x1.81 | 0.48 |
| DuxChl | power | y = 7.65 × 10−2 x1.16 | 0.31 |
| DuxFlav | quadratic | y = −0.47 x2 − 23.40 x + 3.77 | 0.51 |
| DuxAnth | quadratic | y = −3.29 x2 − 13.68 x + 3.77 | 0.19 |
| DuxNBI | quadratic | y = −0.08 x2 + 25.33 x + 3.77 | 0.60 |
| WPNC | |||
| SPAD | power | y = 5.84 × 10−4 x2.28 | 0.52 |
| DuxChl | power | y = 1.98 × 10−2 x1.50 | 0.35 |
| DuxFlav | exponential | y = 21.26 e−1.34 x | 0.45 |
| DuxAnth | quadratic | y = −5.52 x2 − 13.24 x + 3.16 | 0.16 |
| DuxNBI | quadratic | y = 3.37 x2 + 27.71 x + 3.16 | 0.61 |
| PNU | |||
| SPAD | quadratic | y = −488.13 x2 − 247.01 x + 155.02 | 0.11 |
| DuxChl | quadratic | y = −127.65 x2 − 71.00 x + 155.02 | 0.01 |
| DuxFlav | quadratic | y = −213.96 x2 + 80.41 x + 155.02 | 0.02 |
| DuxAnth | quadratic | y = 306.50 x2 + 76.48 x + 155.02 | 0.04 |
| DuxNBI | quadratic | y = −411.87 x2 − 154.86 x + 155.02 | 0.08 |
| Vine NNI | |||
| SPAD | power | y = 1.89 × 10−3 x1.65 | 0.49 |
| DuxChl | quadratic | y = −2.00 x2 + 3.39 x + 0.941 | 0.31 |
| DuxFlav | quadratic | y = −0.791 x2 − 5.20 x + 0.941 | 0.55 |
| DuxAnth | quadratic | y = −1.06 x2 − 1.83 x + 0.941 | 0.09 |
| DuxNBI | power | y = 5.24 × 10−2 x0.967 | 0.60 |
| NNI | |||
| SPAD | power | y = 3.21 × 10−4 x2.12 | 0.52 |
| DuxChl | power | y = 8.95 × 10−3 x1.39 | 0.34 |
| DuxFlav | exp | y = 5.42 e−1.21 x | 0.42 |
| DuxAnth | quadratic | y = −2.43 x2 − 1.18 x + 0.96 | 0.08 |
| DuxNBI | power | y = 2.99 × 10−2 x1.16 | 0.54 |
References
- Havlin, J.L.; Tisdale, S.L.; Nelson, W.L.; Beaton, J.D. Nitrogen. In Soil Fertility and Fertilizers: An Introduction to Nutrient Management; Pearson: Upper Saddle River, NJ, USA, 2013; pp. 117–184. ISBN 978-0-13-503373-9. [Google Scholar]
- Errebhi, M.; Rosen, C.J.; Gupta, S.C.; Birong, D.E. Potato Yield Response and Nitrate Leaching as Influenced by Nitrogen Management. Agron. J. 1998, 90, 10–15. [Google Scholar] [CrossRef]
- Lesczynski, D.B.; Tanner, C.B. Seasonal Variation of Root Distribution of Irrigated, Field-Grown Russet Burbank Potato. Am. Potato J. 1976, 53, 69–78. [Google Scholar] [CrossRef]
- Westermann, D.T.; Kleinkopf, G.E.; Porter, L.K. Nitrogen Fertilizer Efficiencies on Potatoes. Am. Potato J. 1988, 65, 377–386. [Google Scholar] [CrossRef]
- Rosen, C.J.; Bierman, P.M. Best Management Practices for Nitrogen Use: Irrigated Potatoes; University of Minnesota: Minneapolis, MN, USA, 2008. [Google Scholar]
- Errebhi, M.; Rosen, C.J.; Birong, D.E. Calibration of a Petiole Sap Nitrate Test for Irrigated ‘Russet Burbank’ Potato. Commun. Soil Sci. Plant Anal. 1998, 29, 23–35. [Google Scholar] [CrossRef]
- Zhang, H.; Smeal, D.; Arnold, R.N.; Gregory, E.J. Potato Nitrogen Management by Monitoring Petiole Nitrate Level. J. Plant Nutr. 1996, 19, 1405–1412. [Google Scholar] [CrossRef]
- Roberts, S.; Cheng, H.H.; Farrow, F.O. Nitrate Concentration in Potato Petioles from Periodic Applications of 15N-Labeled Ammonium Nitrate Fertilizer. Agron. J. 1989, 81, 271–274. [Google Scholar] [CrossRef]
- Wu, J.; Wang, D.; Rosen, C.J.; Bauer, M.E. Comparison of Petiole Nitrate Concentrations, SPAD Chlorophyll Readings, and QuickBird Satellite Imagery in Detecting Nitrogen Status of Potato Canopies. Field Crops Res. 2007, 101, 96–103. [Google Scholar] [CrossRef]
- Greenwood, D.J.; Lemaire, G.; Gosse, G.; Cruz, P.; Draycott, A.; Neeteson, J.J. Decline in Percentage N of C3 and C4 Crops with Increasing Plant Mass. Ann. Bot. 1990, 66, 425–436. [Google Scholar] [CrossRef]
- Lemaire, G.; Gastal, F. N Uptake and Distribution in Plant Canopies. In Diagnosis of the Nitrogen Status in Crops; Lemaire, G., Ed.; Springer: Berlin/Heidelberg, Germany, 1997; pp. 3–43. ISBN 978-3-642-60684-7. [Google Scholar]
- Bélanger, G.; Walsh, J.R.; Richards, J.E.; Milburn, P.H.; Ziadi, N. Critical Nitrogen Curve and Nitrogen Nutrition Index for Potato in Eastern Canada. Am. J. Pot Res. 2001, 78, 355–364. [Google Scholar] [CrossRef]
- Bohman, B.J.; Culshaw-Maurer, M.J.; Ben Abdallah, F.; Giletto, C.; Bélanger, G.; Fernández, F.G.; Miao, Y.; Mulla, D.J.; Rosen, C.J. Quantifying Critical N Dilution Curves across G × E × M Effects for Potato Using a Partially-Pooled Bayesian Hierarchical Method. Eur. J. Agron. 2023, 144, 126744. [Google Scholar] [CrossRef]
- Giletto, C.M.; Reussi Calvo, N.I.; Sandaña, P.; Echeverría, H.E.; Bélanger, G. Shoot- and Tuber-Based Critical Nitrogen Dilution Curves for the Prediction of the N Status in Potato. Eur. J. Agron. 2020, 119, 126114. [Google Scholar] [CrossRef]
- Lu, J.; Dai, E.; Miao, Y.; Kusnierek, K. Improving Active Canopy Sensor-Based in-Season Rice Nitrogen Status Diagnosis and Recommendation Using Multi-Source Data Fusion with Machine Learning. J. Clean. Prod. 2022, 380, 134926. [Google Scholar] [CrossRef]
- Mulla, D.J. Twenty Five Years of Remote Sensing in Precision Agriculture: Key Advances and Remaining Knowledge Gaps. Biosyst. Eng. 2013, 114, 358–371. [Google Scholar] [CrossRef]
- Gianquinto, G.; Goffart, J.P.; Olivier, M.; Guarda, G.; Colauzzi, M.; Dalla Costa, L.; Delle Vedove, G.; Vos, J.; Mackerron, D.K.L. The Use of Hand-Held Chlorophyll Meters as a Tool to Assess the Nitrogen Status and to Guide Nitrogen Fertilization of Potato Crop. Potato Res. 2004, 47, 35–80. [Google Scholar] [CrossRef]
- Vos, J.; Bom, M. Hand-Held Chlorophyll Meter: A Promising Tool to Assess the Nitrogen Status of Potato Foliage. Potato Res. 1993, 36, 301–308. [Google Scholar] [CrossRef]
- Wakahara, S.; Miao, Y.; McNearney, M.; Rosen, C.J. Non-Destructive Potato Petiole Nitrate-Nitrogen Prediction Using Chlorophyll Meter and Multi-Source Data Fusion with Machine Learning. Eur. J. Agron. 2025, 164, 127483. [Google Scholar] [CrossRef]
- Nigon, T.J.; Mulla, D.J.; Rosen, C.J.; Cohen, Y.; Alchanatis, V.; Rud, R. Evaluation of the Nitrogen Sufficiency Index for Use with High Resolution, Broadband Aerial Imagery in a Commercial Potato Field. Precis. Agric. 2014, 15, 202–226. [Google Scholar] [CrossRef]
- Giletto, C.M.; Echeverría, H.E. Chlorophyll Meter for the Evaluation of Potato N Status. Am. J. Potato Res. 2013, 90, 313–323. [Google Scholar] [CrossRef]
- Zheng, H.; Liu, Y.; Qin, Y.; Chen, Y.; Fan, M. Establishing Dynamic Thresholds for Potato Nitrogen Status Diagnosis with the SPAD Chlorophyll Meter. J. Integr. Agric. 2015, 14, 190–195. [Google Scholar] [CrossRef]
- Fernandes, F.M.; Soratto, R.P.; Fernandes, A.M.; Souza, E.F.C. Chlorophyll Meter-Based Leaf Nitrogen Status to Manage Nitrogen in Tropical Potato Production. Agron. J. 2021, 113, 1733–1746. [Google Scholar] [CrossRef]
- Goffart, J.P.; Olivier, M.; Frankinet, M. Potato Crop Nitrogen Status Assessment to Improve N Fertilization Management and Efficiency: Past–Present–Future. Potato Res. 2008, 51, 355–383. [Google Scholar] [CrossRef]
- Mohammed, G.H.; Colombo, R.; Middleton, E.M.; Rascher, U.; van der Tol, C.; Nedbal, L.; Goulas, Y.; Pérez-Priego, O.; Damm, A.; Meroni, M.; et al. Remote Sensing of Solar-Induced Chlorophyll Fluorescence (SIF) in Vegetation: 50 years of Progress. Remote Sens. Environ. 2019, 231, 111177. [Google Scholar] [CrossRef] [PubMed]
- Tremblay, N.; Wang, Z.; Cerovic, Z.G. Sensing Crop Nitrogen Status with Fluorescence Indicators. A Review. Agron. Sustain. Dev. 2012, 32, 451–464. [Google Scholar] [CrossRef]
- Cerovic, Z.G.; Masdoumier, G.; Ghozlen, N.B.; Latouche, G. A New Optical Leaf-clip Meter for Simultaneous Non-destructive Assessment of Leaf Chlorophyll and Epidermal Flavonoids. Physiol. Plant. 2012, 146, 251–260. [Google Scholar] [CrossRef]
- Feng, W.; He, L.; Zhang, H.-Y.; Guo, B.-B.; Zhu, Y.-J.; Wang, C.-Y.; Guo, T.-C. Assessment of Plant Nitrogen Status Using Chlorophyll Fluorescence Parameters of the Upper Leaves in Winter Wheat. Eur. J. Agron. 2015, 64, 78–87. [Google Scholar] [CrossRef]
- Ben Abdallah, F.; Philippe, W.; Goffart, J.P. Comparison of Optical Indicators for Potato Crop Nitrogen Status Assessment Including Novel Approaches Based on Leaf Fluorescence and Flavonoid Content. J. Plant Nutr. 2018, 41, 2705–2728. [Google Scholar] [CrossRef]
- Liu, Q.; Wang, C.; Jiang, J.; Wu, J.; Wang, X.; Cao, Q.; Tian, Y.; Zhu, Y.; Cao, W.; Liu, X. Multi-Source Data Fusion Improved the Potential of Proximal Fluorescence Sensors in Predicting Nitrogen Nutrition Status across Winter Wheat Growth Stages. Comput. Electron. Agric. 2024, 219, 108786. [Google Scholar] [CrossRef]
- Dong, R.; Miao, Y.; Wang, X.; Chen, Z.; Yuan, F.; Zhang, W.; Li, H. Estimating Plant Nitrogen Concentration of Maize Using a Leaf Fluorescence Sensor across Growth Stages. Remote Sens. 2020, 12, 1139. [Google Scholar] [CrossRef]
- Dong, R.; Miao, Y.; Wang, X.; Yuan, F.; Kusnierek, K. Combining Leaf Fluorescence and Active Canopy Reflectance Sensing Technologies to Diagnose Maize Nitrogen Status across Growth Stages. Precis. Agric. 2022, 23, 939–960. [Google Scholar] [CrossRef]
- Padilla, F.M.; Peña-Fleitas, M.T.; Gallardo, M.; Thompson, R.B. Proximal Optical Sensing of Cucumber Crop N Status Using Chlorophyll Fluorescence Indices. Eur. J. Agron. 2016, 73, 83–97. [Google Scholar] [CrossRef]
- Huang, S.; Miao, Y.; Yuan, F.; Cao, Q.; Ye, H.; Lenz-Wiedemann, V.I.S.; Bareth, G. In-Season Diagnosis of Rice Nitrogen Status Using Proximal Fluorescence Canopy Sensor at Different Growth Stages. Remote Sens. 2019, 11, 1847. [Google Scholar] [CrossRef]
- Chlingaryan, A.; Sukkarieh, S.; Whelan, B. Machine Learning Approaches for Crop Yield Prediction and Nitrogen Status Estimation in Precision Agriculture: A Review. Comput. Electron. Agric. 2018, 151, 61–69. [Google Scholar] [CrossRef]
- Wang, X.; Miao, Y.; Dong, R.; Kusnierek, K. Minimizing Active Canopy Sensor Differences in Nitrogen Status Diagnosis and In-Season Nitrogen Recommendation for Maize with Multi-Source Data Fusion and Machine Learning. Precis. Agric. 2023, 24, 2549–2565. [Google Scholar] [CrossRef]
- Zha, H.; Miao, Y.; Wang, T.; Li, Y.; Zhang, J.; Sun, W.; Feng, Z.; Kusnierek, K. Improving Unmanned Aerial Vehicle Remote Sensing-Based Rice Nitrogen Nutrition Index Prediction with Machine Learning. Remote Sens. 2020, 12, 215. [Google Scholar] [CrossRef]
- Egal, D. Midwest Vegetable Production Guide for Commercial Growers. 2024. Available online: https://edustore.purdue.edu/ (accessed on 11 January 2025).
- Carlson, R.M.; Cabrera, R.I.; Paul, J.L.; Quick, J.; Evans, R.Y. Rapid Direct Determination of Ammonium and Nitrate in Soil and Plant Tissue Extracts. Commun. Soil Sci. Plant Anal. 1990, 21, 1519–1529. [Google Scholar] [CrossRef]
- Worthington, C.; Hutchinson, C. Accumulated Growing Degree Days as a Model to Determine Key Developmental Stages and Evaluate Yield and Quality of Potato in Northeast Florida. Proc. Fla. State Hortic. Soc. 2006, 118, 98–101. [Google Scholar]
- Steele, D.; Scherer, T.; Hopkins, D.; Tuscherer, S.; Wright, J. Spreadsheet Implementation of Irrigation Scheduling by the Checkbook Method for North Dakota and Minnesota. Appl. Eng. Agric. 2010, 26, 983–995. [Google Scholar] [CrossRef]
- Wilson, M.L.; Rosen, C.J.; Moncrief, J.F. Potato Response to a Polymer-Coated Urea on an Irrigated, Coarse-Textured Soil. Agron. J. 2009, 101, 897–905. [Google Scholar] [CrossRef]
- Kursa, M.B.; Rudnicki, W.R. Feature Selection with the Boruta Package. J. Stat. Softw. 2010, 36, 1–13. [Google Scholar] [CrossRef]
- Kuhn, M.; Wickham, H. Tidymodels: A Collection of Packages for Modeling and Machine Learning Using Tidyverse Principles. 2020. Available online: https://www.tidymodels.org (accessed on 15 January 2025).
- Chen, T.; He, T.; Benesty, M.; Khotilovich, V.; Tang, Y.; Cho, H.; Chen, K.; Mitchell, R.; Cano, I.; Zhou, T.; et al. Xgboost: Extreme Gradient Boosting. 2024. Available online: https://cran.r-project.org/web/packages/kernlab/index.html (accessed on 15 January 2025).
- Friedman, J.H.; Hastie, T.; Tibshirani, R. Regularization Paths for Generalized Linear Models via Coordinate Descent. J. Stat. Softw. 2010, 33, 1–22. [Google Scholar] [CrossRef]
- Karatzoglou, A.; Smola, A.; Hornik, K.; Australia, N.I.; Maniscalco, M.A.; Teo, C.H. Kernlab: Kernel-Based Machine Learning Lab, Version 0.9-32. 2024. Available online: https://www.tidymodels.org (accessed on 1 Janurary 2025).
- Wright, M.N.; Ziegler, A. Ranger: A Fast Implementation of Random Forests for High Dimensional Data in C++ and R. J. Stat. Softw. 2017, 77, 1–17. [Google Scholar] [CrossRef]
- Landis, J.R.; Koch, G.G. The Measurement of Observer Agreement for Categorical Data. Biometrics 1977, 33, 159–174. [Google Scholar] [CrossRef] [PubMed]
- Lundberg, S.; Lee, S.-I. A Unified Approach to Interpreting Model Predictions. arXiv 2017, arXiv:1705.07874. [Google Scholar]
- Molnar, C.; Casalicchio, G.; Bischl, B. Iml: An R Package for Interpretable Machine Learning. J. Open Source Softw. 2018, 3, 786. [Google Scholar] [CrossRef]
- Mayer, M.; Stando, A. Shapviz: SHAP Visualizations. 2025. Available online: https://cran.r-project.org/web/packages/shapviz/index.html (accessed on 7 February 2025).
- R Core Team R: A Language and Environment for Statistical Computing. 2024. Available online: https://www.r-project.org/ (accessed on 15 January 2025).
- Wang, X.; Miao, Y.; Dong, R.; Zha, H.; Xia, T.; Chen, Z.; Kusnierek, K.; Mi, G.; Sun, H.; Li, M. Machine Learning-Based in-Season Nitrogen Status Diagnosis and Side-Dress Nitrogen Recommendation for Corn. Eur. J. Agron. 2021, 123, 126193. [Google Scholar] [CrossRef]
- Thornton, M. Potato Growth and Development. In Potato Production Systems; Stark, J.C., Thornton, M., Nolte, P., Eds.; Springer International Publishing: Cham, Switzerland, 2020; pp. 19–33. ISBN 978-3-030-39157-7. [Google Scholar]
- Cao, Q.; Miao, Y.; Feng, G.; Gao, X.; Li, F.; Liu, B.; Yue, S.; Cheng, S.; Ustin, S.L.; Khosla, R. Active Canopy Sensing of Winter Wheat Nitrogen Status: An Evaluation of Two Sensor Systems. Comput. Electron. Agric. 2015, 112, 54–67. [Google Scholar] [CrossRef]
- Lu, J.; Miao, Y.; Shi, W.; Li, J.; Yuan, F. Evaluating Different Approaches to Non-Destructive Nitrogen Status Diagnosis of Rice Using Portable RapidSCAN Active Canopy Sensor. Sci. Rep. 2017, 7, 14073. [Google Scholar] [CrossRef]
- Gastal, F.; Lemaire, G. N Uptake and Distribution in Crops: An Agronomical and Ecophysiological Perspective. J. Exp. Bot. 2002, 53, 789–799. [Google Scholar] [CrossRef]
- Errecart, P.M.; Agnusdei, M.G.; Lattanzi, F.A.; Marino, M.A.; Berone, G.D. Critical Nitrogen Concentration Declines with Soil Water Availability in Tall Fescue. Crop Sci. 2014, 54, 318–330. [Google Scholar] [CrossRef]
- Kunrath, T.R.; Lemaire, G.; Sadras, V.O.; Gastal, F. Water Use Efficiency in Perennial Forage Species: Interactions between Nitrogen Nutrition and Water Deficit. Field Crops Res. 2018, 222, 1–11. [Google Scholar] [CrossRef]






| Max | Min | Mean | Median | |
|---|---|---|---|---|
| OM | 22.0 | 10.0 | 14.7 | 14.0 |
| pH | 7.4 | 6.0 | 6.7 | 6.8 |
| N | 11.7 | 1.7 | 5.9 | 5.9 |
| P | 69.0 | 18.0 | 46.2 | 55.0 |
| K | 157.0 | 74.0 | 100.5 | 94.0 |
| S | 12.2 | 4.4 | 8.0 | 7.0 |
| Ca | 958.8 | 620.2 | 781.2 | 731.7 |
| Mg | 185.1 | 115.2 | 150.6 | 154.6 |
| B | 0.3 | 0.1 | 0.2 | 0.2 |
| Fe | 33.4 | 10.4 | 20.5 | 17.5 |
| Mn | 25.7 | 3.9 | 11.1 | 7.9 |
| Zn | 11.9 | 1.1 | 5.6 | 3.4 |
| Cu | 1.2 | 0.5 | 0.8 | 0.8 |
| ID | Year | Plant Date | Harvest Date | Cultivars | Irrigation | N Rates (kg N/ha) | |||
|---|---|---|---|---|---|---|---|---|---|
| Plant (DAP) | Emerge (ENS) | Post-Emerge (UAN) | Total | ||||||
| 1 | 2018 | 5/14 | 9/25 | Clearwater Russet Ivory Russet Lamoka MN13142 Russet Burbank Umatilla Russet | 100% | 44.8 | 89.7 179.3 269.0 | 0 11.2 * 4 22.4 * 4 | 134.5 269.0 403.5 |
| 2 | 2019 | 5/6 | 9/27 | Clearwater Russet Lamoka MN13142 Russet Burbank Umatilla Russet | 100% | 44.8 | 89.7 179.3 269.0 | 0 11.2 * 4 22.4 * 4 | 134.5 269.0 403.5 |
| 3 | 2021 | 4/16 | 9/23 | Hamlin Russet Russet Burbank | 100% | 44.8 | 0 44.8 134.5 224.2 313.8 | 0 | 44.8 89.7 179.3 269.0 358.7 |
| 4 | 2023 | 4/26 | 10/5 | Hamlin Russet Russet Burbank | 60% 80% | 44.8 | 44.8 134.5 224.2 44.8/134.5 | 0 0 0 16.8 * ~4 | 89.7 179.3 269.0 ~156.9/246.6 |
| 100% | 44.8 | 0 44.8 134.5 224.2 313.8 44.8/134.5 44.8/134.5 44.8/134.5 44.8/134.5 | 0 0 0 0 0 16.8 * 4 16.8 * ~4 16.8 * ~4 16.8 * ~4 | 44.8 89.7 179.3 269.0 358.7 156.9/246.6 ~156.9/246.6 ~156.9/246.6 ~156.9/246.6 | |||||
| Cultivar | Vine a | Vine b | WP a | WP b |
|---|---|---|---|---|
| Russet Burbank Hamlin Russet | 5.08 | 0.28 | 4.57 | 0.42 |
| Umatilla Russet Clearwater Russet Lamoka | 5.44 | 0.27 | 5.04 | 0.42 |
| Ivory Russet MN13142 | 5.17 | 0.18 | 5.19 | 0.25 |
| PNNC | VNC | PNC | PNU | Vine NNI | NNI | |
|---|---|---|---|---|---|---|
| (mg kg−1) | (g 100 g−1) | (g 100 g−1) | (kg ha−1) | |||
| Min | 5 | 1.02 | 0.87 | 41.05 | 0.29 | 0.25 |
| Mean | 10,896 | 3.77 | 3.16 | 155.02 | 0.94 | 0.96 |
| Median | 9984 | 3.65 | 2.73 | 143.84 | 0.96 | 0.93 |
| Max | 31,410 | 7.22 | 7.12 | 405.37 | 1.65 | 2.11 |
| SD | 7898 | 1.28 | 1.4 | 59.37 | 0.28 | 0.37 |
| CV | 1 | 0.34 | 0.44 | 0.38 | 0.3 | 0.39 |
| N Indicator | Dataset | Model | R2 | MAE | RMSE | Acc | Kappa |
|---|---|---|---|---|---|---|---|
| PNNC | Training | RFR | 0.94 | 1600.58 | 2052.82 | 0.77 | 0.65 |
| Testing | RFR | 0.66 | 3898.12 | 4864.5 | 0.56 | 0.32 | |
| VNC | Training | SVR L | 0.65 | 0.6 | 0.75 | - | - |
| Testing | SVR L | 0.57 | 0.69 | 0.88 | - | - | |
| PNC | Training | RFR | 0.95 | 0.24 | 0.32 | - | - |
| Testing | RFR | 0.62 | 0.72 | 1 | - | - | |
| PNU | Training | SVR L | 0.09 | 44.11 | 56.31 | - | - |
| Testing | SVR L | 0.11 | 54.14 | 69.72 | - | - | |
| Vine NNI | Training | SVR L | 0.62 | 0.14 | 0.17 | 0.71 | 0.51 |
| Testing | SVR L | 0.55 | 0.16 | 0.2 | 0.69 | 0.45 | |
| NNI | Training | SVR P | 0.53 | 0.2 | 0.26 | 0.7 | 0.5 |
| Testing | SVR P | 0.54 | 0.26 | 0.32 | 0.64 | 0.4 |
| Year | N indicator | SPAD | DuxChl | DuxNBI |
|---|---|---|---|---|
| 2018 | PNNC | 0.66 | 0.60 | 0.69 |
| VNC | 0.57 | 0.58 | 0.74 | |
| PNC | 0.53 | 0.55 | 0.72 | |
| PNU | 0.06 | 0.06 | 0.15 | |
| Vine NNI | 0.48 | 0.51 | 0.69 | |
| NNI | 0.40 | 0.43 | 0.61 | |
| 2019 | PNNC | 0.43 | 0.47 | 0.53 |
| VNC | 0.38 | 0.71 | 0.76 | |
| PNC | 0.38 | 0.71 | 0.76 | |
| PNU | 0.04 | 0.29 | 0.22 | |
| Vine NNI | 0.39 | 0.37 | 0.53 | |
| NNI | 0.43 | 0.48 | 0.66 | |
| 2021 | PNNC | 0.70 | 0.79 | 0.84 |
| VNC | 0.87 | 0.86 | 0.67 | |
| PNC | 0.90 | 0.87 | 0.62 | |
| PNU | 0.14 | 0.12 | 0.23 | |
| Vine NNI | 0.83 | 0.86 | 0.73 | |
| NNI | 0.83 | 0.84 | 0.69 | |
| 2023 | PNNC | 0.71 | 0.34 | 0.50 |
| VNC | 0.69 | 0.33 | 0.47 | |
| PNC | 0.74 | 0.30 | 0.46 | |
| PNU | 0.34 | 0.03 | 0.07 | |
| Vine NNI | 0.58 | 0.33 | 0.45 | |
| NNI | 0.65 | 0.34 | 0.45 |
| (a) SPAD Meter | |||||||
|---|---|---|---|---|---|---|---|
| N Indicator | Dataset | Model | R2 | MAE | RMSE | Acc | Kappa |
| PNNC | Training | SVR L | 0.81 | 2625.87 | 3513.96 | 0.71 | 0.56 |
| Testing | SVR L | 0.79 | 4189.66 | 5285.45 | 0.64 | 0.42 | |
| VNC | Training | SVR L | 0.84 | 0.39 | 0.50 | - | - |
| Testing | SVR L | 0.85 | 0.56 | 0.68 | - | - | |
| PNC | Training | SVR R | 0.94 | 0.25 | 0.34 | - | - |
| Testing | SVR R | 0.90 | 0.40 | 0.50 | - | - | |
| PNU | Training | SVR L | 0.62 | 26.43 | 36.54 | - | - |
| Testing | SVR L | 0.55 | 34.57 | 45.39 | - | - | |
| Vine NNI | Training | SVR L | 0.80 | 0.09 | 0.12 | 0.79 | 0.65 |
| Testing | SVR L | 0.80 | 0.11 | 0.14 | 0.75 | 0.57 | |
| NNI | Training | SVR L | 0.81 | 0.12 | 0.16 | 0.82 | 0.68 |
| Testing | SVR L | 0.82 | 0.16 | 0.20 | 0.77 | 0.58 | |
| (b) Dualex Sensor | |||||||
| PNNC | Training | RFR | 0.99 | 653.64 | 891.39 | 0.91 | 0.86 |
| Testing | RFR | 0.75 | 3399.62 | 4266.46 | 0.63 | 0.43 | |
| VNC | Training | SVR L | 0.87 | 0.36 | 0.46 | - | - |
| Testing | SVR L | 0.85 | 0.51 | 0.63 | - | - | |
| PNC | Training | SVR L | 0.90 | 0.35 | 0.45 | - | - |
| Testing | SVR L | 0.87 | 0.47 | 0.58 | - | - | |
| PNU | Training | SVR L | 0.64 | 25.70 | 35.32 | - | - |
| Testing | SVR L | 0.57 | 32.74 | 43.21 | - | - | |
| Vine NNI | Training | SVR L | 0.81 | 0.09 | 0.12 | 0.80 | 0.65 |
| Testing | SVR L | 0.80 | 0.12 | 0.15 | 0.75 | 0.57 | |
| NNI | Training | SVR L | 0.83 | 0.11 | 0.15 | 0.84 | 0.71 |
| Testing | SVR L | 0.81 | 0.17 | 0.22 | 0.75 | 0.54 | |
Disclaimer/Publisher’s Note: The statements, opinions and data contained in all publications are solely those of the individual author(s) and contributor(s) and not of MDPI and/or the editor(s). MDPI and/or the editor(s) disclaim responsibility for any injury to people or property resulting from any ideas, methods, instructions or products referred to in the content. |
© 2025 by the authors. Licensee MDPI, Basel, Switzerland. This article is an open access article distributed under the terms and conditions of the Creative Commons Attribution (CC BY) license (https://creativecommons.org/licenses/by/4.0/).
Share and Cite
Wakahara, S.; Miao, Y.; Li, D.; Zhang, J.; Gupta, S.K.; Rosen, C. Evaluating the Potential of Improving In-Season Potato Nitrogen Status Diagnosis Using Leaf Fluorescence Sensor as Compared with SPAD Meter. Remote Sens. 2025, 17, 2311. https://doi.org/10.3390/rs17132311
Wakahara S, Miao Y, Li D, Zhang J, Gupta SK, Rosen C. Evaluating the Potential of Improving In-Season Potato Nitrogen Status Diagnosis Using Leaf Fluorescence Sensor as Compared with SPAD Meter. Remote Sensing. 2025; 17(13):2311. https://doi.org/10.3390/rs17132311
Chicago/Turabian StyleWakahara, Seiya, Yuxin Miao, Dan Li, Jizong Zhang, Sanjay K. Gupta, and Carl Rosen. 2025. "Evaluating the Potential of Improving In-Season Potato Nitrogen Status Diagnosis Using Leaf Fluorescence Sensor as Compared with SPAD Meter" Remote Sensing 17, no. 13: 2311. https://doi.org/10.3390/rs17132311
APA StyleWakahara, S., Miao, Y., Li, D., Zhang, J., Gupta, S. K., & Rosen, C. (2025). Evaluating the Potential of Improving In-Season Potato Nitrogen Status Diagnosis Using Leaf Fluorescence Sensor as Compared with SPAD Meter. Remote Sensing, 17(13), 2311. https://doi.org/10.3390/rs17132311

