Underutilized Feature Extraction Methods for Burn Severity Mapping: A Comprehensive Evaluation
Abstract
1. Introduction
2. Methodology
2.1. Feature Extraction Methods
2.1.1. Principal Component Analysis (PCA)
2.1.2. Linear Discriminant Analysis (LDA)
2.1.3. t-Distributed Stochastic Neighbor Embedding (t-SNE)
2.1.4. Isomap
2.1.5. Uniform Manifold Approximation and Projection (UMAP)
2.1.6. Independent Component Analysis (ICA)
2.1.7. Factor Analysis (FA)
2.1.8. Multidimensional Scaling (MDS)
2.1.9. Spectral Embedding (SE)
2.1.10. Locally Linear Embedding (LLE)
2.1.11. Non-Negative Matrix Factorization (NMF)
2.1.12. Truncated Singular Value Decomposition (TSVD)
2.1.13. Neighborhood Components Analysis (NCA)
2.2. Satellite Data Acquisition and Preprocessing
2.3. Data Structuring
2.3.1. Optical Index Generation
2.3.2. Data Labeling: Composite Burn Index (CBI)
2.4. Machine Learning
2.4.1. Random Forest (RF)
2.4.2. Support Vector Machines (SVM)
2.4.3. K-Nearest Neighbors (KNN)
2.4.4. Logistic Regression (LR)
2.4.5. Multi-Layer Perceptron (MLP)
2.4.6. Adaptive Boosting (AB)
2.4.7. Particle Swarm Optimization (PSO)
2.5. Experimental Setups
- Step 1: Balanced Sample Selection: We randomly selected 54 training samples for each fire severity level, as detailed in Table 3. This selection ensures a balanced dataset, which is crucial for the performance of classification algorithms. A balanced sample mitigates the risk of model bias toward any particular class, enhancing the fairness and accuracy of the evaluation [77].
- Step 2: Dataset Splitting. The selected data (n = 216) are then randomly split into training and testing sets using a 70/30 ratio. This standard practice in machine learning balances the need for sufficient data to train the model (70%) with enough data to validate its performance (30%). The training set is used to build the ML models, while the testing set provides an unbiased assessment of how well the models generalize to unseen data.
- Step 3: Bootstrapping for Statistical Robustness: To enhance our results’ reliability and statistical robustness, steps 1 and 2 are repeated 1000 times, mitigating any anomalies that might influence the outcomes due to variability in data splits.
2.6. Case Study
3. Results
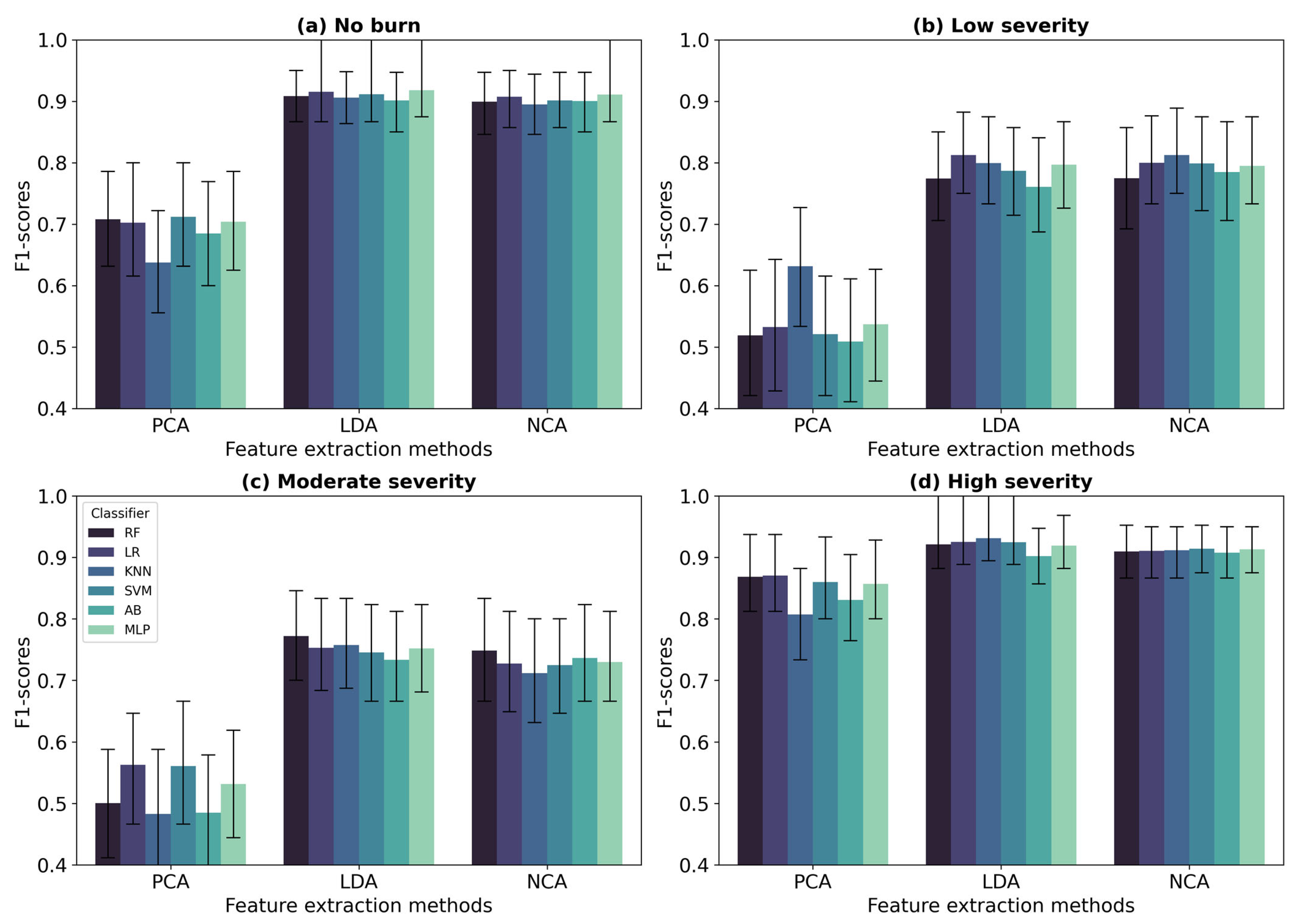
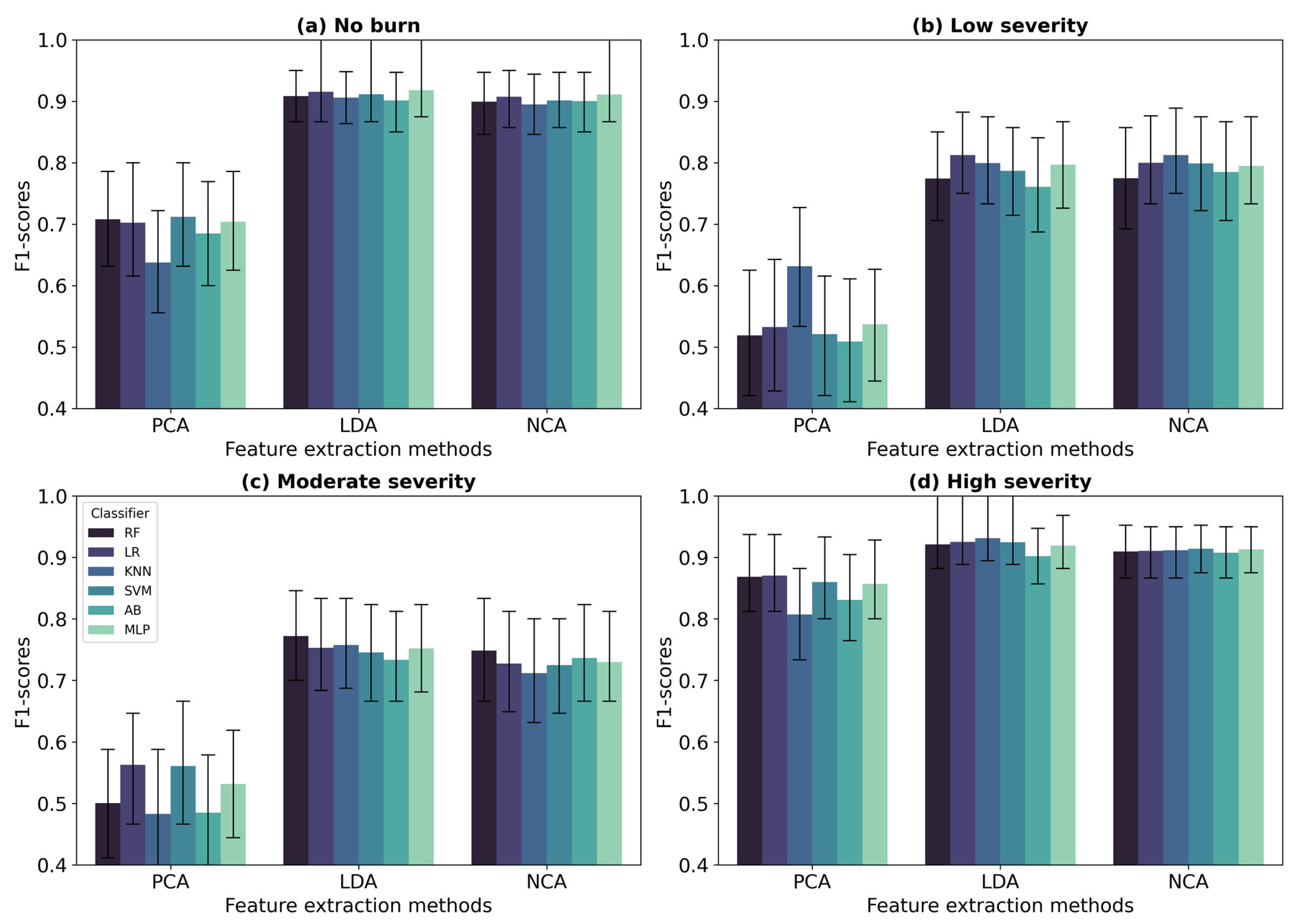
3.1. Comparative Performance Analysis of Feature Extraction Methods
3.2. Impact of Feature Extraction Components on Classifier Performance
4. Discussion
4.1. Limitations of PCA
4.2. Effectiveness of LDA and NCA
4.3. Research Limitations and Future Directions
5. Conclusions
Author Contributions
Funding
Data Availability Statement
Acknowledgments
Conflicts of Interest
References
- Burnett, J.T.; Edgeley, C.M. Factors Influencing Flood Risk Mitigation after Wildfire: Insights for Individual and Collective Action after the 2010 Schultz Fire. Int. J. Disaster Risk Reduct. 2023, 94, 103791. [Google Scholar] [CrossRef]
- Souza-Alonso, P.; Saiz, G.; García, R.A.; Pauchard, A.; Ferreira, A.; Merino, A. Post-Fire Ecological Restoration in Latin American Forest Ecosystems: Insights and Lessons from the Last Two Decades. For. Ecol. Manag. 2022, 509, 120083. [Google Scholar] [CrossRef]
- Pacheco, F.A.L.; Sanches Fernandes, L.F. Hydrology and Stream Water Quality of Fire-Prone Watersheds. Curr. Opin. Environ. Sci. Health 2021, 21, 100243. [Google Scholar] [CrossRef]
- Chuvieco, E.; Mouillot, F.; van der Werf, G.R.; San Miguel, J.; Tanase, M.; Koutsias, N.; García, M.; Yebra, M.; Padilla, M.; Gitas, I.; et al. Historical Background and Current Developments for Mapping Burned Area from Satellite Earth Observation. Remote Sens. Environ. 2019, 225, 45–64. [Google Scholar] [CrossRef]
- Giglio, L.; Csiszar, I.; Restás, Á.; Morisette, J.T.; Schroeder, W.; Morton, D.; Justice, C.O. Active Fire Detection and Characterization with the Advanced Spaceborne Thermal Emission and Reflection Radiometer (ASTER). Remote Sens. Environ. 2008, 112, 3055–3063. [Google Scholar] [CrossRef]
- Kumar, S.S.; Roy, D.P. Global Operational Land Imager Landsat-8 Reflectance-Based Active Fire Detection Algorithm. Int. J. Digit. Earth 2018, 11, 154–178. [Google Scholar] [CrossRef]
- Koutsias, N.; Karteris, M. Burned Area Mapping Using Logistic Regression Modeling of a Single Post-Fire Landsat-5 Thematic Mapper Image. Int. J. Remote Sens. 2000, 21, 673–687. [Google Scholar] [CrossRef]
- van Wagtendonk, J.W.; Root, R.R.; Key, C.H. Comparison of AVIRIS and Landsat ETM+ Detection Capabilities for Burn Severity. Remote Sens. Environ. 2004, 92, 397–408. [Google Scholar] [CrossRef]
- Boucher, J.; Beaudoin, A.; Hébert, C.; Guindon, L.; Bauce, E. Assessing the Potential of the Differenced Normalized Burn Ratio (dNBR) for Estimating Burn Severity in Eastern Canadian Boreal Forests. Int. J. Wildland Fire 2017, 26, 32–45. [Google Scholar] [CrossRef]
- Zahura, F.T.; Bisht, G.; Li, Z.; McKnight, S.; Chen, X. Impact of Topography and Climate on Post-Fire Vegetation Recovery across Different Burn Severity and Land Cover Types through Random Forest. Ecol. Inform. 2024, 82, 102757. [Google Scholar] [CrossRef]
- Le, X.-H.; Nguyen Van, L.; Hai Nguyen, D.; Nguyen, G.V.; Jung, S.; Lee, G. Comparison of Bias-Corrected Multisatellite Precipitation Products by Deep Learning Framework. Int. J. Appl. Earth Obs. Geoinf. 2023, 116, 103177. [Google Scholar] [CrossRef]
- Nguyen, G.V.; Le, X.H.; Nguyen Van, L.; Do, T.T.M.; Jung, S.; Lee, G. Machine Learning Approaches for Reconstructing Gridded Precipitation Based on Multiple Source Products. J. Hydrol. Reg. Stud. 2023, 48, 101475. [Google Scholar] [CrossRef]
- Nguyen, G.V.; Le, X.-H.; Van, L.N.; Jung, S.; Yeon, M.; Lee, G. Application of Random Forest Algorithm for Merging Multiple Satellite Precipitation Products across South Korea. Remote Sens. 2021, 13, 4033. [Google Scholar] [CrossRef]
- Nguyen, G.V.; Le, X.-H.; Van, L.N.; Jung, S.; Choi, C.; Lee, G. Evaluating the Performance of Light Gradient Boosting Machine in Merging Multiple Satellite Precipitation Products over South Korea. In Proceedings of the 4th International Conference on Sustainability in Civil Engineering, Hanoi, Vietnam, 25–27 November 2022; Springer: Singapore, 2024; pp. 513–522. [Google Scholar]
- Le, X.-H.; Van, L.N.; Nguyen, G.V.; Nguyen, D.H.; Jung, S.; Lee, G. Towards an Efficient Streamflow Forecasting Method for Event-Scales in Ca River Basin, Vietnam. J. Hydrol. Reg. Stud. 2023, 46, 101328. [Google Scholar] [CrossRef]
- Nguyen, G.V.; Nguyen Van, L.; Jung, S.; Hyunuk, A.; Lee, G. Exploring the Power of Physics-Informed Neural Networks for Accurate and Efficient Solutions to 1D Shallow Water Equations. J. Korean Water Resour. Assoc. 2023, 56, 939–953. [Google Scholar]
- Tran, V.; Ivanov, V.; Kim, J. Data Reformation—A Novel Data Processing Technique Enhancing Machine Learning Applicability for Predicting Streamflow Extremes. Adv. Water Resour. 2023, 182, 104569. [Google Scholar] [CrossRef]
- Collins, L.; Griffioen, P.; Newell, G.; Mellor, A. The Utility of Random Forests for Wildfire Severity Mapping. Remote Sens. Environ. 2018, 216, 374–384. [Google Scholar] [CrossRef]
- Holden, Z.A.; Morgan, P.; Evans, J.S. A Predictive Model of Burn Severity Based on 20-Year Satellite-Inferred Burn Severity Data in a Large Southwestern US Wilderness Area. For. Ecol. Manag. 2009, 258, 2399–2406. [Google Scholar] [CrossRef]
- Kulinan, A.S.; Cho, Y.; Park, M.; Park, S. Rapid Wildfire Damage Estimation Using Integrated Object-Based Classification with Auto-Generated Training Samples from Sentinel-2 Imagery on Google Earth Engine. Int. J. Appl. Earth Obs. Geoinf. 2024, 126, 103628. [Google Scholar] [CrossRef]
- Badola, A.; Panda, S.K.; Roberts, D.A.; Waigl, C.F.; Jandt, R.R.; Bhatt, U.S. A Novel Method to Simulate AVIRIS-NG Hyperspectral Image from Sentinel-2 Image for Improved Vegetation/Wildfire Fuel Mapping, Boreal Alaska. Int. J. Appl. Earth Obs. Geoinf. 2022, 112, 102891. [Google Scholar] [CrossRef]
- Seydi, S.T.; Hasanlou, M.; Chanussot, J. Burnt-Net: Wildfire Burned Area Mapping with Single Post-Fire Sentinel-2 Data and Deep Learning Morphological Neural Network. Ecol. Indic. 2022, 140, 108999. [Google Scholar] [CrossRef]
- Liu, P.; Liu, Y.; Guo, X.; Zhao, W.; Wu, H.; Xu, W. Burned Area Detection and Mapping Using Time Series Sentinel-2 Multispectral Images. Remote Sens. Environ. 2023, 296, 113753. [Google Scholar] [CrossRef]
- Van, L.N.; Tran, V.N.; Nguyen, G.V.; Yeon, M.; Do, M.T.-T.; Lee, G. Enhancing Wildfire Mapping Accuracy Using Mono-Temporal Sentinel-2 Data: A Novel Approach through Qualitative and Quantitative Feature Selection with Explainable AI. Ecol. Inform. 2024, 81, 102601. [Google Scholar] [CrossRef]
- Quintano, C.; Fernández-Manso, A.; Roberts, D.A. Enhanced Burn Severity Estimation Using Fine Resolution ET and MESMA Fraction Images with Machine Learning Algorithm. Remote Sens. Environ. 2020, 244, 111815. [Google Scholar] [CrossRef]
- Howley, T.; Madden, M.G.; O’Connell, M.-L.; Ryder, A.G. The Effect of Principal Component Analysis on Machine Learning Accuracy with High-Dimensional Spectral Data. Knowl.-Based Syst. 2006, 19, 363–370. [Google Scholar] [CrossRef]
- Buatoom, U.; Jamil, M.U. Improving Classification Performance with Statistically Weighted Dimensions and Dimensionality Reduction. Appl. Sci. 2023, 13, 2005. [Google Scholar] [CrossRef]
- Richards, J.A. Thematic Mapping from Multitemporal Image Data Using the Principal Components Transformation. Remote Sens. Environ. 1984, 16, 35–46. [Google Scholar] [CrossRef]
- Siegert, F.; Ruecker, G. Use of Multitemporal ERS-2 SAR Images for Identification of Burned Scars in South-East Asian Tropical Rainforest. Int. J. Remote Sens. 2000, 21, 831–837. [Google Scholar] [CrossRef]
- Nielsen, T.T.; Mbow, C.; Kane, R. A Statistical Methodology for Burned Area Estimation Using Multitemporal AVHRR Data. Int. J. Remote Sens. 2002, 23, 1181–1196. [Google Scholar] [CrossRef]
- Koutsias, N.; Mallinis, G.; Karteris, M. A Forward/Backward Principal Component Analysis of Landsat-7 ETM+ Data to Enhance the Spectral Signal of Burnt Surfaces. ISPRS J. Photogramm. Remote Sens. 2009, 64, 37–46. [Google Scholar] [CrossRef]
- Chen, G.; Metz, M.R.; Rizzo, D.M.; Dillon, W.W.; Meentemeyer, R.K. Object-Based Assessment of Burn Severity in Diseased Forests Using High-Spatial and High-Spectral Resolution MASTER Airborne Imagery. ISPRS J. Photogramm. Remote Sens. 2015, 102, 38–47. [Google Scholar] [CrossRef]
- Russo, A.; Borras, A. Comparison of Dimension Reduction Techniques Applied to the Analysis of Airborne Radionuclide Activity Concentration. J. Environ. Radioact. 2022, 244–245, 106813. [Google Scholar] [CrossRef] [PubMed]
- Seok, H.-S. Performance Comparison of Dimensionality Reduction Methods on RNA-Seq Data from the GTEx Project. Genes Genom 2020, 42, 225–234. [Google Scholar] [CrossRef] [PubMed]
- Fırat, H.; Asker, M.E.; Hanbay, D. Classification of Hyperspectral Remote Sensing Images Using Different Dimension Reduction Methods with 3D/2D CNN. Remote Sens. Appl. Soc. Environ. 2022, 25, 100694. [Google Scholar] [CrossRef]
- Böttcher, S.; Merz, C.; Lischeid, G.; Dannowski, R. Using Isomap to Differentiate between Anthropogenic and Natural Effects on Groundwater Dynamics in a Complex Geological Setting. J. Hydrol. 2014, 519, 1634–1641. [Google Scholar] [CrossRef]
- Feilhauer, H.; Faude, U.; Schmidtlein, S. Combining Isomap Ordination and Imaging Spectroscopy to Map Continuous Floristic Gradients in a Heterogeneous Landscape. Remote Sens. Environ. 2011, 115, 2513–2524. [Google Scholar] [CrossRef]
- Harris, A.; Charnock, R.; Lucas, R.M. Hyperspectral Remote Sensing of Peatland Floristic Gradients. Remote Sens. Environ. 2015, 162, 99–111. [Google Scholar] [CrossRef]
- Wang, Z.; Zhang, G.; Xing, X.; Xu, X.; Sun, T. Comparison of Dimensionality Reduction Techniques for Multi-Variable Spatiotemporal Flow Fields. Ocean Eng. 2024, 291, 116421. [Google Scholar] [CrossRef]
- Lopez-Collado, J.; Jacinto-Padilla, J.; Rodríguez-Aguilar, O.; Hidalgo-Contreras, J.V. Bioclimatic Similarity between Species Locations and Their Environment Revealed by Dimensionality Reduction Analysis. Ecol. Inform. 2024, 79, 102444. [Google Scholar] [CrossRef]
- Kaya, Y.; Kuncan, F. A Hybrid Model for Classification of Medical Data Set Based on Factor Analysis and Extreme Learning Machine: FA + ELM. Biomed. Signal Process. Control 2022, 78, 104023. [Google Scholar] [CrossRef]
- Gündoğdu, Y.; Karabağlı, P.; Alptekin, H.; Şahin, M.; Kılıç, H.Ş. Comparison of Performances of Principal Component Analysis (PCA) and Factor Analysis (FA) Methods on the Identification of Cancerous and Healthy Colon Tissues. Int. J. Mass Spectrom. 2019, 445, 116204. [Google Scholar] [CrossRef]
- Guo, Y.; Na, J.; Li, B.; Fung, R.-F. Envelope Extraction Based Dimension Reduction for Independent Component Analysis in Fault Diagnosis of Rolling Element Bearing. J. Sound Vib. 2014, 333, 2983–2994. [Google Scholar] [CrossRef]
- Wang, J.; Zhang, Y.; Cao, H.; Zhu, W. Dimension Reduction Method of Independent Component Analysis for Process Monitoring Based on Minimum Mean Square Error. J. Process Control 2012, 22, 477–487. [Google Scholar] [CrossRef]
- Ma, Y.; He, K.; Hopcroft, J.; Shi, P. Neighbourhood-Preserving Dimension Reduction via Localised Multidimensional Scaling. Theor. Comput. Sci. 2018, 734, 58–71. [Google Scholar] [CrossRef]
- Shirangi, M.G.; Emerick, A.A. An Improved TSVD-Based Levenberg–Marquardt Algorithm for History Matching and Comparison with Gauss–Newton. J. Pet. Sci. Eng. 2016, 143, 258–271. [Google Scholar] [CrossRef]
- Tsuge, S.; Shishibori, M.; Kuroiwa, S.; Kita, K. Dimensionality Reduction Using Non-Negative Matrix Factorization for Information Retrieval. In Proceedings of the 2001 IEEE International Conference on Systems, Man and Cybernetics, Tucson, AZ, USA, 7–10 October 2001; e-Systems and e-Man for Cybernetics in Cyberspace (Cat.No.01CH37236). Volume 2, pp. 960–965. [Google Scholar]
- Qi, N.; Zhang, Z.; Xiang, Y.; Harrington, P. de B. Locally Linear Embedding Method for Dimensionality Reduction of Tissue Sections of Endometrial Carcinoma by near Infrared Spectroscopy. Anal. Chim. Acta 2012, 724, 12–19. [Google Scholar] [CrossRef]
- Manit, J.; Youngkong, P. Neighborhood Components Analysis in sEMG Signal Dimensionality Reduction for Gait Phase Pattern Recognition. In Proceedings of the 7th International Conference on Broadband Communications and Biomedical Applications, Bundoora, VIC, Australia, 21–24 November 2011; pp. 86–90. [Google Scholar]
- Siddique, M.A.B.; Sakib, S.; Rahman, M.A. Performance Analysis of Deep Autoencoder and NCA Dimensionality Reduction Techniques with KNN, ENN and SVM Classifiers. In Proceedings of the 2019 2nd International Conference on Innovation in Engineering and Technology (ICIET), Dhaka, Bangladesh, 23–24 December 2019; pp. 1–6. [Google Scholar]
- Maćkiewicz, A.; Ratajczak, W. Principal Components Analysis (PCA). Comput. Geosci. 1993, 19, 303–342. [Google Scholar] [CrossRef]
- Martinez, A.M.; Kak, A.C. PCA versus LDA. IEEE Trans. Pattern Anal. Mach. Intell. 2001, 23, 228–233. [Google Scholar] [CrossRef]
- Balamurali, M.; Silversides, K.L.; Melkumyan, A. A Comparison of T-SNE, SOM and SPADE for Identifying Material Type Domains in Geological Data. Comput. Geosci. 2019, 125, 78–89. [Google Scholar] [CrossRef]
- Tenenbaum, J.B.; de Silva, V.; Langford, J.C. A Global Geometric Framework for Nonlinear Dimensionality Reduction. Science 2000, 290, 2319–2323. [Google Scholar] [CrossRef]
- McInnes, L.; Healy, J.; Melville, J. UMAP: Uniform Manifold Approximation and Projection for Dimension Reduction. arXiv 2020, arXiv:1802.03426v3. [Google Scholar]
- Comon, P. Independent Component Analysis, A New Concept? Signal Process. 1994, 36, 287–314. [Google Scholar] [CrossRef]
- Jöreskog, K.G. Factor Analysis as an Errors-in-Variables Model. In Principals of Modern Psychological Measurement; Routledge: London, UK, 1983; ISBN 978-0-203-05665-3. [Google Scholar]
- Bronstein, A.M.; Bronstein, M.M.; Kimmel, R. Generalized Multidimensional Scaling: A Framework for Isometry-Invariant Partial Surface Matching. Proc. Natl. Acad. Sci. USA 2006, 103, 1168–1172. [Google Scholar] [CrossRef] [PubMed]
- Shi, J.; Malik, J. Normalized Cuts and Image Segmentation. IEEE Trans. Pattern Anal. Mach. Intell. 2000, 22, 888–905. [Google Scholar] [CrossRef]
- Belkina, A.C.; Ciccolella, C.O.; Anno, R.; Halpert, R.; Spidlen, J.; Snyder-Cappione, J.E. Automated Optimized Parameters for T-Distributed Stochastic Neighbor Embedding Improve Visualization and Analysis of Large Datasets. Nat. Commun. 2019, 10, 5415. [Google Scholar] [CrossRef]
- Vu, T.; Chunikhina, E.; Raich, R. Perturbation Expansions and Error Bounds for the Truncated Singular Value Decomposition. Linear Algebra Its Appl. 2021, 627, 94–139. [Google Scholar] [CrossRef]
- Goldberger, J.; Hinton, G.E.; Roweis, S.; Salakhutdinov, R.R. Neighbourhood Components Analysis. In Proceedings of the Advances in Neural Information Processing Systems; MIT Press: Cambridge, MA, USA, 2004; Volume 17. [Google Scholar]
- Gorelick, N.; Hancher, M.; Dixon, M.; Ilyushchenko, S.; Thau, D.; Moore, R. Google Earth Engine: Planetary-Scale Geospatial Analysis for Everyone. Remote Sens. Environ. 2017, 202, 18–27. [Google Scholar] [CrossRef]
- Vermote, E.; Justice, C.; Claverie, M.; Franch, B. Preliminary Analysis of the Performance of the Landsat 8/OLI Land Surface Reflectance Product. Remote Sens. Environ. 2016, 185, 46–56. [Google Scholar] [CrossRef]
- Chuvieco, E.; Martín, M.P.; Palacios, A. Assessment of Different Spectral Indices in the Red-near-Infrared Spectral Domain for Burned Land Discrimination. Int. J. Remote Sens. 2002, 23, 5103–5110. [Google Scholar] [CrossRef]
- Key, C.H.; Benson, N.C. Landscape Assessment (LA). 2006. Available online: https://www.fs.usda.gov/rm/pubs_series/rmrs/gtr/rmrs_gtr164/rmrs_gtr164_13_land_assess.pdf (accessed on 18 November 2024).
- Huete, A.R. A Soil-Adjusted Vegetation Index (SAVI). Remote Sens. Environ. 1988, 25, 295–309. [Google Scholar] [CrossRef]
- Huete, A.; Didan, K.; Miura, T.; Rodriguez, E.P.; Gao, X.; Ferreira, L.G. Overview of the Radiometric and Biophysical Performance of the MODIS Vegetation Indices. Remote Sens. Environ. 2002, 83, 195–213. [Google Scholar] [CrossRef]
- Pinty, B.; Verstraete, M.M. GEMI: A Non-Linear Index to Monitor Global Vegetation from Satellites. Vegetatio 1992, 101, 15–20. [Google Scholar] [CrossRef]
- Badgley, G.; Field, C.B.; Berry, J.A. Canopy Near-Infrared Reflectance and Terrestrial Photosynthesis. Sci. Adv. 2017, 3, e1602244. [Google Scholar] [CrossRef] [PubMed]
- Tucker, C.J. Red and Photographic Infrared Linear Combinations for Monitoring Vegetation. Remote Sens. Environ. 1979, 8, 127–150. [Google Scholar] [CrossRef]
- Gitelson, A.A.; Stark, R.; Grits, U.; Rundquist, D.; Kaufman, Y.; Derry, D. Vegetation and Soil Lines in Visible Spectral Space: A Concept and Technique for Remote Estimation of Vegetation Fraction. Int. J. Remote Sens. 2002, 23, 2537–2562. [Google Scholar] [CrossRef]
- Smith, A.M.S.; Wooster, M.J.; Drake, N.A.; Dipotso, F.M.; Falkowski, M.J.; Hudak, A.T. Testing the Potential of Multi-Spectral Remote Sensing for Retrospectively Estimating Fire Severity in African Savannahs. Remote Sens. Environ. 2005, 97, 92–115. [Google Scholar] [CrossRef]
- Composite Burn Index (CBI) Data for the Conterminous US, Burned Areas Boundaries, Collected Between 1994 and 2018|USGS Science Data Catalog. Available online: https://data.usgs.gov/datacatalog/data/USGS:62e968e5d34e749ac04cc10a (accessed on 18 October 2024).
- Picotte, J.J.; Bhattarai, K.; Howard, D.; Lecker, J.; Epting, J.; Quayle, B.; Benson, N.; Nelson, K. Changes to the Monitoring Trends in Burn Severity Program Mapping Production Procedures and Data Products. Fire Ecol. 2020, 16, 16. [Google Scholar] [CrossRef]
- Edgeley, C.M.; Paveglio, T.B. Community Recovery and Assistance Following Large Wildfires: The Case of the Carlton Complex Fire. Int. J. Disaster Risk Reduct. 2017, 25, 137–146. [Google Scholar] [CrossRef]
- Collins, L.; McCarthy, G.; Mellor, A.; Newell, G.; Smith, L. Training Data Requirements for Fire Severity Mapping Using Landsat Imagery and Random Forest. Remote Sens. Environ. 2020, 245, 111839. [Google Scholar] [CrossRef]
- Miller, J.D.; Knapp, E.E.; Key, C.H.; Skinner, C.N.; Isbell, C.J.; Creasy, R.M.; Sherlock, J.W. Calibration and Validation of the Relative Differenced Normalized Burn Ratio (RdNBR) to Three Measures of Fire Severity in the Sierra Nevada and Klamath Mountains, California, USA. Remote Sens. Environ. 2009, 113, 645–656. [Google Scholar] [CrossRef]
- Breiman, L. Random Forests. Mach. Learn. 2001, 45, 5–32. [Google Scholar] [CrossRef]
- Hearst, M.A.; Dumais, S.T.; Osuna, E.; Platt, J.; Scholkopf, B. Support Vector Machines. IEEE Intell. Syst. Their Appl. 1998, 13, 18–28. [Google Scholar] [CrossRef]
- Cover, T.; Hart, P. Nearest Neighbor Pattern Classification. IEEE Trans. Inf. Theory 1967, 13, 21–27. [Google Scholar] [CrossRef]
- Hosmer, D.W.; Hosmer, T.; Le Cessie, S.; Lemeshow, S. A Comparison of Goodness-of-Fit Tests for the Logistic Regression Model. Stat. Med. 1997, 16, 965–980. [Google Scholar] [CrossRef]
- Kelley, H.J. Gradient Theory of Optimal Flight Paths. ARS J. 1960, 30, 947–954. [Google Scholar] [CrossRef]
- Friedman, J.; Hastie, T.; Tibshirani, R. Additive Logistic Regression: A Statistical View of Boosting (with Discussion and a Rejoinder by the Authors). Ann. Stat. 2000, 28, 337–407. [Google Scholar] [CrossRef]
- Tani, L.; Veelken, C. Comparison of Bayesian and Particle Swarm Algorithms for Hyperparameter Optimisation in Machine Learning Applications in High Energy Physics. Comput. Phys. Commun. 2024, 294, 108955. [Google Scholar] [CrossRef]
- Bonyadi, M.R.; Michalewicz, Z. Particle Swarm Optimization for Single Objective Continuous Space Problems: A Review. Evol. Comput. 2017, 25, 1–54. [Google Scholar] [CrossRef]
- Halofsky, J.E.; Peterson, D.L.; Harvey, B.J. Changing Wildfire, Changing Forests: The Effects of Climate Change on Fire Regimes and Vegetation in the Pacific Northwest, USA. Fire Ecol. 2020, 16, 4. [Google Scholar] [CrossRef]
- Ma, M. Thinning, Prescribed Burns Protected Forests During the Massive Carlton Complex Wildfire. Available online: https://phys.org/news/2020-02-thinning-forests-massive-carlton-complex.html#:~:text=In%20the%20first%20major%20study%20following%20the%20devastating,and%20prescribed%20burns%20helped%20forests%20survive%20the%20fire (accessed on 14 September 2024).
- Chen, S.; Sun, T. Class-Information-Incorporated Principal Component Analysis. Neurocomputing 2005, 69, 216–223. [Google Scholar] [CrossRef][Green Version]
- Kerschen, G.; Golinval, J.-C. Non-Linear Generalization of Principal Component Analysis: From a Global to a Local Approach. J. Sound Vib. 2002, 254, 867–876. [Google Scholar] [CrossRef]
- Spiegel, C.J.; Mladenov, N.; Wall, C.B.; Hollman, K.; Tran, C.H.; Symons, C.C.; Shurin, J.B. Life after a Fiery Death: Fire and Plant Biomass Loading Affect Dissolved Organic Matter in Experimental Ponds. Glob. Chang. Biol. 2024, 30, e17061. [Google Scholar] [CrossRef] [PubMed]
- Roth, K.L.; Roberts, D.A.; Dennison, P.E.; Alonzo, M.; Peterson, S.H.; Beland, M. Differentiating Plant Species within and across Diverse Ecosystems with Imaging Spectroscopy. Remote Sens. Environ. 2015, 167, 135–151. [Google Scholar] [CrossRef]
- Kluger, D.M.; Wang, S.; Lobell, D.B. Two Shifts for Crop Mapping: Leveraging Aggregate Crop Statistics to Improve Satellite-Based Maps in New Regions. Remote Sens. Environ. 2021, 262, 112488. [Google Scholar] [CrossRef]
- Mudereri, B.T.; Dube, T.; Niassy, S.; Kimathi, E.; Landmann, T.; Khan, Z.; Abdel-Rahman, E.M. Is It Possible to Discern Striga Weed (Striga Hermonthica) Infestation Levels in Maize Agro-Ecological Systems Using In-Situ Spectroscopy? Int. J. Appl. Earth Obs. Geoinf. 2020, 85, 102008. [Google Scholar] [CrossRef]
- Li, N.; Huo, L.; Zhang, X. Classification of Pine Wilt Disease at Different Infection Stages by Diagnostic Hyperspectral Bands. Ecol. Indic. 2022, 142, 109198. [Google Scholar] [CrossRef]
- Quintano, C.; Calvo, L.; Fernández-Manso, A.; Suárez-Seoane, S.; Fernandes, P.M.; Fernández-Guisuraga, J.M. First Evaluation of Fire Severity Retrieval from PRISMA Hyperspectral Data. Remote Sens. Environ. 2023, 295, 113670. [Google Scholar] [CrossRef]
- Stow, D.; Petersen, A.; Rogan, J.; Franklin, J. Mapping Burn Severity of Mediterranean-Type Vegetation Using Satellite Multispectral Data. GIScience Remote Sens. 2007, 44, 1–23. [Google Scholar] [CrossRef]





| Method | Application |
|---|---|
| t-NSE | Air quality [33] and bioinformatics [34] |
| LDA | Land cover mapping [35] |
| Isomap | Groundwater quality assessment [36], vegetation mapping [37,38], and fluid mechanics [39] |
| UMAP | Species distribution modeling [40] and air quality [33] |
| FA | Medical [41] and biological applications [42] |
| ICA | Mechanical fault diagnosis [43,44] |
| MDS | Pattern recognition [45] |
| TSVD | Reservoir simulation [46] |
| NMF | Information retrieval [47] |
| LLE | Fluid mechanics [39], bioinformatics [34], and medical applications [48] |
| SE | Bioinformatics [34] |
| NCA | Pattern recognition [49] and data science [50] |
| No. | Index | Formula | References |
|---|---|---|---|
| 1 | BAI | [65] | |
| 2 | NBR | [66] | |
| 3 | SAVI | [67] | |
| 4 | EVI | [68] | |
| 5 | GEMI | , where | [69] |
| 6 | NIRv | [70] | |
| 7 | NDVI | [71] | |
| 8 | VARI | [72] | |
| 9 | CSI | [73] |
| Severity Category | CBI Values | Number of Data |
|---|---|---|
| No burn | 0.00–0.1 | 110 |
| Low | 0.1–1.24 | 105 |
| Moderate | 1.25–2.24 | 54 |
| High | 2.25–3.00 | 59 |
| Models | Hyper-Parameters | Optimal Values |
|---|---|---|
| SVM | C | 1.261 |
| kernel | ‘poly’ | |
| gamma | ‘scale’ | |
| degree | 2 | |
| coef0 | 5.846 | |
| RF | n_estimators | 199 |
| max_depth | 25 | |
| min_samples_split | 12 | |
| min_samples_leaf | 2 | |
| max_features | ‘sqrt’ | |
| criterion | ‘log_loss’ | |
| MLP | hidden_layer_sizes | (100, 100) |
| activation | ‘tanh’ | |
| solver | ‘adam’ | |
| alpha | 0.00342 | |
| learning_rate | ‘constant’ | |
| AB | max_depth | 8 |
| min_samples_split | 10 | |
| min_samples_leaf | 2 | |
| n_estimators | 168 | |
| learning_rate | 0.623 | |
| algorithm | ‘SAMME’ | |
| LR | C | 2.437 |
| solver | lbfgs | |
| KNN | n_neighbors | 12 |
| weights | ‘uniform’ | |
| algorithm | ‘auto’ |
| Metrics | Formula | Range | Optimal Value |
|---|---|---|---|
| OA | 0.0–1.0 | 1.0 | |
| Precision | 0.0–1.0 | 1.0 | |
| Recall | 0.0–1.0 | 1.0 | |
| F1-score | 0.0–1.0 | 1.0 |
Disclaimer/Publisher’s Note: The statements, opinions and data contained in all publications are solely those of the individual author(s) and contributor(s) and not of MDPI and/or the editor(s). MDPI and/or the editor(s) disclaim responsibility for any injury to people or property resulting from any ideas, methods, instructions or products referred to in the content. |
© 2024 by the authors. Licensee MDPI, Basel, Switzerland. This article is an open access article distributed under the terms and conditions of the Creative Commons Attribution (CC BY) license (https://creativecommons.org/licenses/by/4.0/).
Share and Cite
Nguyen Van, L.; Lee, G. Underutilized Feature Extraction Methods for Burn Severity Mapping: A Comprehensive Evaluation. Remote Sens. 2024, 16, 4339. https://doi.org/10.3390/rs16224339
Nguyen Van L, Lee G. Underutilized Feature Extraction Methods for Burn Severity Mapping: A Comprehensive Evaluation. Remote Sensing. 2024; 16(22):4339. https://doi.org/10.3390/rs16224339
Chicago/Turabian StyleNguyen Van, Linh, and Giha Lee. 2024. "Underutilized Feature Extraction Methods for Burn Severity Mapping: A Comprehensive Evaluation" Remote Sensing 16, no. 22: 4339. https://doi.org/10.3390/rs16224339
APA StyleNguyen Van, L., & Lee, G. (2024). Underutilized Feature Extraction Methods for Burn Severity Mapping: A Comprehensive Evaluation. Remote Sensing, 16(22), 4339. https://doi.org/10.3390/rs16224339
