The Impacts of Single-Scattering and Microphysical Properties of Ice Particles Smaller Than 100 µm on the Bulk Radiative Properties of Tropical Cirrus
Abstract
1. Introduction
2. Tropical Cirrus Sampled during TWP–ICE
2.1. Overview
2.2. Distributions of Ice Particle Habit
2.3. Size Distributions of Ice Particles
3. Computations of the Single-Scattering Properties of Ice Particles
3.1. The Shapes and Single-Scattering Properties of Small Ice Particles
3.2. The Single-Scattering Properties of Other Ice Particles
4. Results
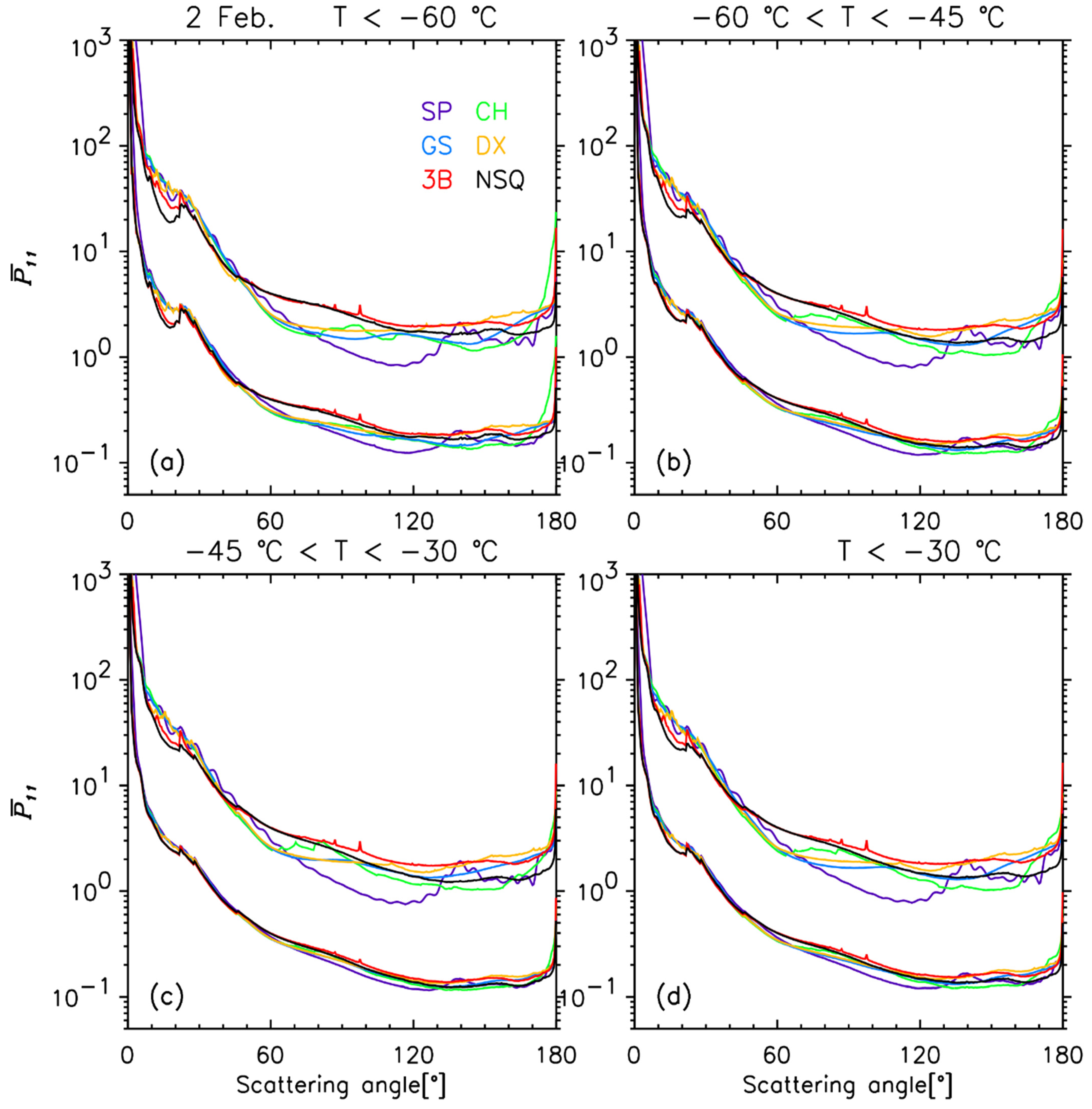
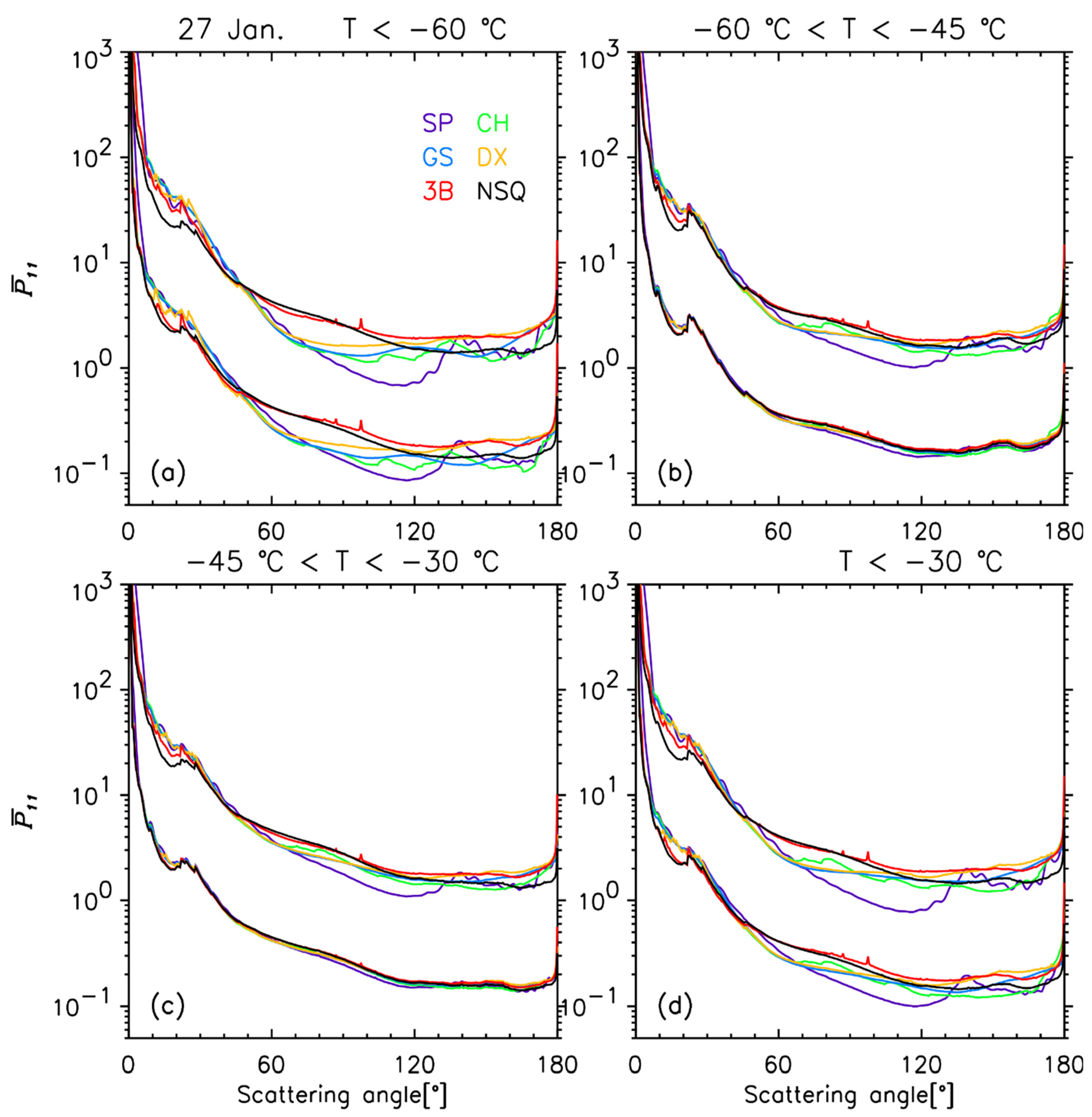
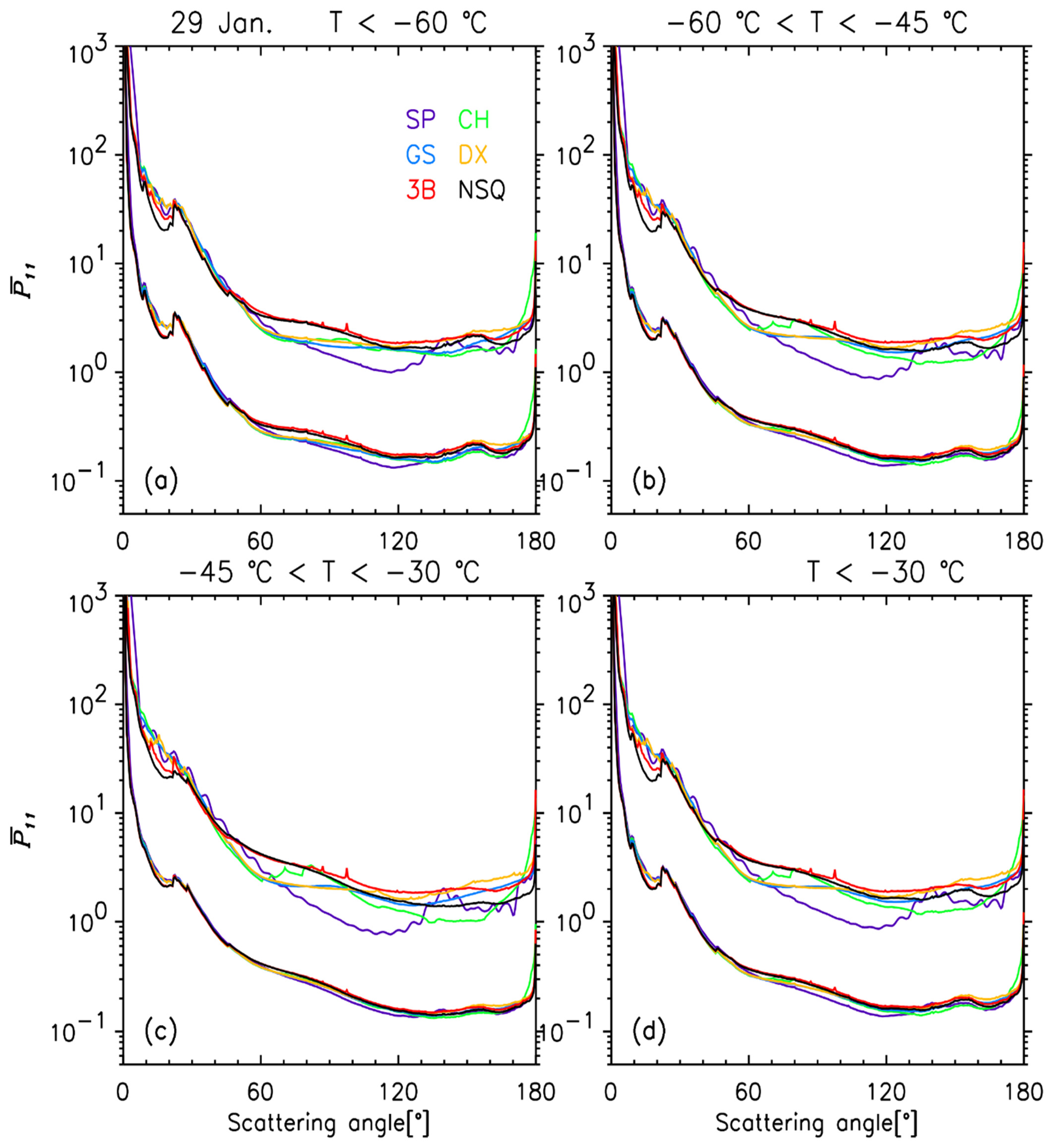
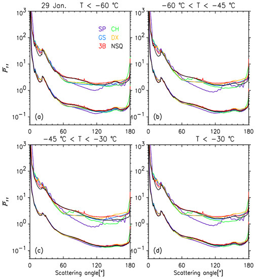
4.1. Impacts of Single-Scattering Properties of Small Ice Particles on the Bulk-Scattering Properties
4.2. Impacts of Concentrations of Small Ice Particles on the Bulk Radiative Properties
5. Summary and Conclusions
- The largest contribution of small ice particles to the projected area calculated using the PFP (SFP) was 44.25% (63.77%) and is revealed in the upper parts of cirrus on 27th January. For all temperatures, small ice particles contributed 34.2% (54.7%), 13.1% (50.6%), and 17.6% (52.7%), respectively, to the projected area averaged calculated with the PFP (SFP) for 27th January, 29th January, and 2nd February.
- The computed with the NSQ (i.e., no small quasi-spherical particles) was 0.768 ± 0.010. The maximum using the NSQ is 0.790 and is shown in the lower parts of cirrus on 2nd February. For all temperatures, the with the NSQ is 0.768, 0.763, and 0.779 on 27th January, 29th January, and 2nd February, respectively. The using the NSQ show a featureless smooth shape with weak peaks between 20° and 30°.
- The using the NSQ in the fresh anvil sampled on 2nd February were higher than those in varying ages of cirrus sampled on 27th and 29th January at all temperature ranges except for T < −60 °C. The larger for 2 Feb. was mainly due to the higher contributions of the plate-type particles (i.e., plates and aggregates of plates) that have a higher than the column-type particles (i.e., columns, bullet rosettes, aggregates of columns, and aggregates of bullet rosettes) that were frequently seen on 27th and 29th January.
- Small ice particles using Chebyshev particles, Gaussian random spheres, and spheres increased the compared with the using the NSQ, whereas those using budding Buckyballs decreased the , because the former (later) has a higher (lower) compared with the using the NSQ. The for the droxtals is closest to the using the NSQ and shows the minimum difference in the between the NSQ and the small particle models.
- The averaged over all temperatures and all small particle models (i.e., sphere, Chebyshev particle, Gaussian random sphere, droxtal, and budding Buckyball) calculated with the PFP (SFP) was 0.783 ± 0.025 (0.785 ± 0.034), 0.768 ± 0.011 (0.779 ± 0.036), and 0.784 ± 0.014 (0.792 ± 0.032) for 27th January, 29th January, and 2nd February, respectively. The calculated with the SFP was larger than that with the PFP for all conditions.
- The difference in the between the budding Buckyballs and spheres (Chebyshev particles; droxtals; Gaussian random spheres) was 8.8% (7.3%; 3.7%; 6.2%), 3.6% (2.6%; 1.3%; 2.0%), and 4.5% (3.5%; 1.8%; 3.1%) on 27th January, 29th January, and 2nd February, respectively, when the PFP was used and averaged over all temperatures. These differences become larger for the SFP and are 11.6% (7.9%; 4.0%; 6.5%), 11.1% (7.5%; 3.8%; 6.0%), and 11.5% (8.4%; 4.4%; 7.6%).
- The impacts of the single-scattering properties (i.e., morphologies) of the small particles on the bulk radiative properties were the largest in the upper parts of cirrus (T < −60 °C), while they were smallest in the lower parts of cirrus (−45 < T < −30 °C) when the PFP was used. The magnitude of the impact depends heavily on how much small ice particles contribute to the projected area. These impacts cause up to 8.9% (87.6%; 44.8%) variations of the integrated intensity in the forward (sideward; backward) angles of and an 11.1% change in , which become larger for the SFP.
- The impacts of the uncertainties in the microphysical (i.e., artificially enhanced concentrations due to shattered particles) properties of the small ice particles on the bulk radiative properties were largest in the lower parts of cirrus, at which the NCAS/CDP was a maximum, whereas those were the smallest in the upper parts of cirrus (T < −60 °C). These impacts cause up to 6.24% change in the , which is smaller than those of the morphological impacts.
- The combination of uncertainties in the morphologies and concentrations of small particles on the bulk radiative properties causes variations of up to 11.2% (127.1%; 67.3%) of the integrated intensity in the forward (sideward; backward) angles in and up to 12.61% changes in .
Author Contributions
Funding
Data Availability Statement
Acknowledgments
Conflicts of Interest
Abbreviation
| Symbols | |
| A | Total projected area |
| A(Di) | Projected area distribution function of size bin i |
| C(Di) | Projected area of size bin i |
| Cscat(Di,j) | Scattering cross-section of Di,j |
| D | Maximum dimension |
| Di,j | Maximum dimension of size bin i and habit bin j |
| f(Di,j) | Areal fraction of particles of Di,j |
| Asymmetry parameter | |
| (Di,j) | Asymmetry parameter of Di,j |
| Average asymmetry-parameter | |
| i | Size bin |
| j | Habit bin |
| L | Length |
| N | Total number concentration |
| N(D) | Number distribution function |
| N(Di) | Number distribution function of size bin i |
| NCAS/CDP | Ratio between CAS N of ice particles smaller than 50 µm and that of CDP |
| No | Intercept parameter of gamma distribution |
| P11 | Phase function |
| P11(θ, Di,j) | Phase function of θ and Di,j |
| Average phase function | |
| R | Radius |
| t | Distortion parameter |
| W | Width |
| θ | Scattering angle |
| Predefined tilting angle | |
| λ | Wavelength |
| λ | Slope parameter of gamma distribution |
| µ | Shape parameter of gamma distribution |
| Acronyms | |
| ABRs | Bullet rosette aggregates |
| ACs | Column aggregates |
| APs | Plate aggregates |
| BR | Bullet rosette |
| CAS | Cloud and Aerosol Spectrometer |
| CC | Capped column |
| CDP | Cloud Droplet Probe |
| CEPEX | Central Equatorial Pacific Experiment |
| CH | Chebyshev particle |
| CIP | Cloud Imaging Probe |
| COL | Column |
| CPI | Cloud Particle Imager |
| DX | Droxtal |
| FIT GS | Fitting between D = 50 µm and D = 125 µm Gaussian random sphere |
| LQS | Large quasi-sphere |
| MQS | Medium quasi-sphere |
| NSQ | No small quasi-spherical particles |
| PFP | Blended particle size distribution using CDP (D < 50 µm), FIT (50 µm < D < 125 µm), and CIP (D > 125 µm) data |
| PLT | Plate |
| SID | Small ice detector |
| SFP | Blended particle size distribution using CAS (D < 50 µm), FIT (50 µm < D < 125 µm), and CIP (D > 125 µm) data |
| SP | Sphere |
| SQS | Small quasi-sphere |
| TWP–ICE | Tropical Warm Pool–International Cloud Experiment |
| UC | Unclassifiable ice particles |
| 3B | Budding Buckyball |
References
- Sassen, K.; Wang, Z.; Liu, D. Global distribution of cirrus clouds from CloudSat/Cloud-Aerosol Lidar and Infrared Pathfinder Satellite observations (CALIPSO) measurements. J. Geophys. Res. 2008, 113, D00A12. [Google Scholar] [CrossRef]
- McFarquhar, G.M.; Heymsfield, A.J.; Spinhirne, J.; Hart, B. Thin and subvisual tropopause tropical cirrus: Observations and radiative impacts. J. Atmos. Sci. 2000, 57, 1841–1853. [Google Scholar] [CrossRef]
- Nasiri, S.; Baum, B.A.; Heymsfield, A.J.; Yang, P.; Poellot, M.R.; Kratz, D.P.; Hu, Y.X. The development of midlatitude cirrus models for MODIS using FIRE-I, FIRE-II, and ARM in situ data. J. Appl. Meteor. 2002, 41, 197–217. [Google Scholar] [CrossRef]
- Baum, B.A.; Yang, P.; Nasiri, S.; Heidinger, A.K.; Heymsfield, A.J.; Li, J. Bulk scattering properties for the remote sensing of ice clouds. Part III: High-resolution spectral models from 100 to 3240 cm−1. J. Appl. Meteor. Climatol. 2007, 46, 423–434. [Google Scholar] [CrossRef]
- van Diedenhoven, B.; Ackerman, A.S.; Cairns, B.; Fridlind, A.M. A flexible parameterization for shortwave optical properties of ice particles. J. Atoms. Sci. 2014, 71, 1763–1782. [Google Scholar] [CrossRef][Green Version]
- van Diedenhoven, B.; Fridlind, A.M.; Cairns, B.; Ackerman, A.S. Variation of ice particle size, shape, and asymmetry parameter in tops of tropical deep convective clouds. J. Geophys. Res. Atmos. 2014, 119, 11809–11825. [Google Scholar] [CrossRef]
- Bailey, M.P.; Hallett, J. A comprehensive habit diagram for atmospheric ice particles: Confirmation from the laboratory, AIRS II, and other field studies. J. Atmos. Sci. 2009, 66, 2888–2899. [Google Scholar] [CrossRef]
- Takano, Y.; Liou, K.N. Solar radiative transfer in cirrus clouds. Part I: Single scattering and optical-properties of hexagonal ice particles. J. Atmos. Sci. 1989, 46, 3–19. [Google Scholar] [CrossRef]
- Macke, A.; Mueller, J.; Raschke, E. Single scattering properties of atmospheric ice particles. J. Atmos. Sci. 1996, 53, 2813–2825. [Google Scholar] [CrossRef]
- Iaquinta, J.; Isaka, H.; Personne, P. Scattering phase function of bullet rosette ice particles. J. Atmos. Sci. 1995, 52, 1401–1413. [Google Scholar] [CrossRef][Green Version]
- Yang, P.; Liou, K.N. Single-scattering properties of complex ice particles in terrestrial atmosphere. Contrib. Atmos. Phys. 1998, 71, 223–248. [Google Scholar]
- Baran, A.J.; Labonnote, L.C. A self-consistent scattering model for cirrus. I: The solar region. Quart. J. Roy. Meteor. Soc. 2007, 133, 1899–1912. [Google Scholar] [CrossRef]
- Yang, P.; Baum, B.A.; Heymsfield, A.J.; Hu, Y.X.; Huang, H.L.; Tsay, S.C.; Ackerman, S. Single-scattering properties of droxtals. J. Quant. Spectrosc. Radiat. Transf. 2003, 79–80, 1159–1169. [Google Scholar] [CrossRef]
- Nousiainen, T.; McFarquhar, G.M. Light scattering by quasi-spherical ice particles. J. Atmos. Sci. 2004, 61, 2229–2248. [Google Scholar] [CrossRef][Green Version]
- Um, J.; McFarquhar, G.M. Dependence of the single-scattering properties of small ice particles on idealized shape models. Atmos. Chem. Phys. 2011, 11, 3159–3171. [Google Scholar] [CrossRef]
- Um, J.; McFarquhar, G.M. Single-scattering properties of aggregates of bullet rosettes in cirrus. J. Appl. Meteor. Climatol. 2007, 46, 757–775. [Google Scholar] [CrossRef]
- Um, J.; McFarquhar, G.M. Single-scattering properties of aggregates of plates. Quart. J. Roy. Meteor. Soc. 2009, 135, 291–304. [Google Scholar] [CrossRef]
- Xie, Y.; Yang, P.; Kattawar, G.W.; Baum, B.A.; Hu, Y. Simulation of the optical properties of plate aggregates for application to the remote sensing of cirrus clouds. Appl. Opt. 2011, 50, 1065–1081. [Google Scholar] [CrossRef]
- Ishimoto, H.; Masuda, K.; Mano, Y.; Orikasa, N.; Uchiyama, A. Irregularly shaped ice aggregates in optical modeling of convectively generated ice clouds. J. Quant. Spectrosc. Radiat. Transf. 2012, 113, 632–643. [Google Scholar] [CrossRef]
- Li, M.; Letu, H.; Peng, Y.; Ishimoto, H.; Lin, Y.; Nakajima, T.Y.; Baran, A.J.; Guo, Z.; Lei, Y.; Shi, J. Investigation of ice cloud modeling capabilities for the irregularly shaped Voronoi ice scattering models in climate simulations. Atmos. Chem. Phys. 2022, 22, 4809–4825. [Google Scholar] [CrossRef]
- Liu, C.; Yang, P.; Minnis, P.; Loeb, N.; Kato, S.; Heymsfield, A.J.; Schmitt, C. A two-habit model for the microphysical and optical properties of ice clouds. Atmos. Chem. Phys. 2014, 14, 13719–13737. [Google Scholar] [CrossRef]
- Yang, P.; Wei, H.; Huang, H.-L.; Baum, B.A.; Hu, Y.X.; Kattawar, G.W.; Mishchenko, M.I.; Fu, Q. Scattering and absorption property database for nonspherical ice particles in the near- through far-infrared spectral region. Appl. Opt. 2005, 44, 5512–5523. [Google Scholar] [CrossRef] [PubMed]
- Yang, P.; Bi, L.; Baum, B.A.; Liou, K.N.; Kattawar, G.W.; Mishchenko, M.I.; Cole, B. Spectrally consistent scattering, absorption, and polarization properties of atmospheric ice particles at wavelengths from 0.2 to 100 μm. J. Atmos. Sci. 2013, 70, 330–347. [Google Scholar] [CrossRef]
- Baran, A.J.; Cotton, R.; Furtado, K.; Hayemann, S.; Labonnote, L.C.; Marenco, F.; Smith, A.; Thelen, J.C. A self-consistent scattering model for cirrus. II: The high and low frequencies. Q. J. R. Meteorol. Soc. 2014, 140, 1039–1057. [Google Scholar] [CrossRef]
- Yang, P.; Liou, K.N. Light scattering and absorption by nonspherical ice particles. In Light Scattering Reviews; Springer: Berlin/Heidelberg, Germany, 2006; pp. 31–71. [Google Scholar]
- Baran, A.J. A review of the light scattering properties of cirrus. J. Quant. Spectrosc. Radiat. Transf. 2009, 110, 1239–1260. [Google Scholar] [CrossRef]
- Baran, A.J. From the single-scattering properties of ice particles to climate prediction: A way forward. Atmos. Res. 2012, 112, 45–69. [Google Scholar] [CrossRef]
- Yang, P.; Hioki, S.; Saito, M.; Kuo, C.-P.; Baum, B.A.; Liou, K.-N. A review of ice cloud optical property models for passive satellite remote sensing. Atmosphere 2018, 9, 499. [Google Scholar] [CrossRef]
- Field, P.R.; Wood, R.; Brown, P.R.A.; Kaye, P.H.; Hirst, E.; Greenaway, R.; Smith, J.A. Ice particle interarrival times measured with a fast FSSP. J. Atmos. Oceanic Technol. 2003, 20, 249–261. [Google Scholar] [CrossRef]
- McFarquhar, G.M.; Um, J.; Freer, M.; Baumgardner, D.; Kok, G.L.; Mace, G.G. Importance of small ice particles to cirrus properties: Observations from the Tropical Warm Pool International Cloud Experiment (TWP-ICE). Geophys. Res. Lett. 2007, 34, L13803. [Google Scholar] [CrossRef]
- Jensen, E.J.; Lawson, P.; Baker, B.; Pilson, B.; Mo, Q.; Heymsfield, A.J.; Bansemer, A.; Bui1, T.P.; McGill, M.; Hlavka, D.; et al. On the importance of small ice particles in tropical anvil cirrus. Atmos. Chem. Phys. 2009, 9, 5519–5537. [Google Scholar] [CrossRef]
- Korolev, A.V.; Emery, E.F.; Strapp, J.W.; Cober, S.G.; Isaac, G.A.; Wasey, M.; Marcotte, D. Small ice particles in tropospheric clouds: Fact or artifact? Airborne Icing Instrumentation Evaluation Experiment. Bull. Amer. Meteor. Soc. 2011, 92, 967–973. [Google Scholar] [CrossRef]
- McFarquhar, G.M.; Ghan, S.; Verlinde, J.; Korolev, A.; Strapp, J.W.; Schmid, B.; Tomlinson, J.M.; Wolde, M.; Brooks, S.D.; Cziczo, D.; et al. Indirect and semi-direct aerosol campaign: The impact of Arctic aerosols on clouds. Bull. Amer. Meteor. Soc. 2011, 92, 183–201. [Google Scholar] [CrossRef]
- Korolev, A.V.; Emery, E.F.; Creelman, K. Modification and tests of particle probe tips to mitigate effects of ice shattering. J. Atmos. Ocean. Technol. 2013, 30, 690–708. [Google Scholar] [CrossRef]
- Korolev, A.V.; Emery, E.F.; Strapp, J.W.; Cover, S.G.; Isaac, G.A. Quantification of the effects of shattering on airborne ice particle measurements. J. Atmos. Oceanic Technol. 2013, 30, 2527–2553. [Google Scholar] [CrossRef]
- Jackson, R.C.; McFarquhar, G.M.; Stith, J.; Beals, M.; Shaw, R.A.; Jensen, J.; Fugal, J.; Korolev, A.V. An assessment of the impact of antishattering tips and artifact removal techniques on cloud ice size distributions measured by the 2D cloud probe. J. Atmos. Ocean. Technol. 2014, 31, 2567–2590. [Google Scholar] [CrossRef]
- Korolev, A.V.; Isaac, G.A. Shattering during sampling by OAPs and HVPS. Part I: Snow particles. J. Atmos. Ocean. Technol. 2005, 22, 528–542. [Google Scholar] [CrossRef]
- Mitchell, D.L.; Rasch, P.; Ivanova, D.; McFarquhar, G.M.; Nousiainen, T. Impact of small ice particle assumptions on ice sedimentation rates in cirrus clouds and GCM simulations. Geophys. Res. Lett. 2008, 35, L09806. [Google Scholar] [CrossRef]
- McFarquhar, G.M.; Heymsfield, A.J.; Macke, A.; Iaquinta, J.; Aulenbach, S.M. Use of observed ice particle sizes and shapes to calculate mean-scattering properties and multispectral radiances: CEPEX 4 April 1993, case study. J. Geophys. Res. 1999, 104, 31763–31779. [Google Scholar] [CrossRef]
- Yang, P.; Gao, B.C.; Baum, B.A.; Wiscombe, W.J.; Hu, Y.X.; Nasiri, S.L.; Soulen, P.F.; Heymsfield, A.J.; McFarquhar, G.M.; Miloshevich, L.M. Sensitivity of cirrus bidirectional reflectance to vertical inhomogeneity of ice particle habits and size distributions for two Moderate-Resolution Imaging Spectroradiometer (MODIS) bands. J. Geophys. Res. 2001, 106, 17267–17291. [Google Scholar] [CrossRef]
- McFarquhar, G.M.; Heymsfield, A.J. Microphysical characteristics of three anvils sampled during the Central Equatorial Pacific Experiment. J. Atmos. Sci. 1996, 53, 2401–2423. [Google Scholar] [CrossRef]
- Saunders, C.P.R.; Wahab, N.M.A. The replication of ice particles. J. Appl. Met. 1973, 12, 1035–1039. [Google Scholar] [CrossRef]
- Lawson, R.P.; Woods, S.; Jensen, E.; Erfani, E.; Gurganus, C.; Gallagher, M.; Connolly, P.; Whiteway, J.; Baran, A.J.; May, P.; et al. A review of ice particle shapes in cirrus formed in situ and anvils. J. Geophys. Res. Atmos. 2019, 124, 10049–10090. [Google Scholar] [CrossRef]
- Korolev, A.V.; Isaac, G. Roundness and aspect ratio of particles in ice clouds. J. Atmos. Sci. 2003, 60, 1795–1808. [Google Scholar] [CrossRef]
- Chepfer, H.; Noel, V.; Minnis, P.; Baumgardner, D.; Nguyen, L.; Raga, G.; McGill, M.J.; Yang, P. Particle habit in tropical ice clouds during CRYSTAL-FACE: Comparison of two remote sensing techniques with in situ observations. J. Geophys. Res. 2005, 110, D16204. [Google Scholar] [CrossRef]
- Baumgardner, D.; Chepfer, H.; Raga, G.B.; Kok, G.L. The shapes of very small cirrus particles derived from in situ measurements. Geophys. Res. Lett. 2005, 32, L01806. [Google Scholar] [CrossRef]
- Hirst, E.; Kaye, P.H.; Greenway, R.S.; Field, P.; Johnson, D.W. Discrimination of micrometre-sized ice and super-cooled droplets in mixed-phase cloud. Atmos. Environ. 2001, 35, 33–47. [Google Scholar] [CrossRef]
- Cotton, R.; Osborne, S.; Ulanowski, Z.; Hirst, E.; Kaye, P.H.; Greenaway, R.S. The Ability of the Small Ice Detector (SID-2) to Characterize Cloud Particle and Aerosol Morphologies Obtained during Flights of the FAAM BAe-146 Research Aircraft. J. Atmos. Ocean. Technol. 2010, 27, 290–303. [Google Scholar] [CrossRef][Green Version]
- Kaye, P.H.; Hirst, E.; Greenway, R.S.; Ulanowski, Z.; Hesse, E.; DeMott, P.; Saunders, C.; Connolly, P. Classifying atmospheric ice crystals by spatial light scattering. Opt. Lett. 2008, 33, 1545–1547. [Google Scholar] [CrossRef]
- Ulanowski, Z.; Hirst, E.; Kaye, P.H.; Greenaway, R. Retrieving the size of particles with rough and complex surfaces from two-dimensional scattering patterns. J. Quant. Spectrosc. Radiat. Transf. 2012, 113, 2457–2464. [Google Scholar] [CrossRef]
- Ulanowski, Z.; Kaye, P.H.; Hirst, E.; Greenaway, R.S.; Cotton, R.J.; Hesse, E.; Collier, C.T. Incidence of rough and irregular atmospheric ice particles from Small Ice Detector 3 measurements. Atmos. Chem. Phys. 2014, 14, 1649–1662. [Google Scholar] [CrossRef]
- McFarquhar, G.M.; Yang, P.; Macke, A.; Baran, A.J. A new parameterization of single scattering solar radiative properties for tropical anvils using observed ice particle size and shape distributions. J. Atmos. Sci. 2002, 59, 2458–2478. [Google Scholar] [CrossRef]
- Vogelmann, A.M.; Ackerman, T.P. Relating cirrus cloud properties to observed fluxes: A critical assessment. J. Atmos. Sci. 1995, 52, 4285–4301. [Google Scholar] [CrossRef]
- May, P.T.; Mather, J.H.; Vaughan, G.; Jakob, C.; McFarquhar, G.M.; Bower, K.N.; Mace, G.G. The tropical warm pool international cloud experiment. Bull. Amer. Meteor. Soc. 2008, 89, 629–645. [Google Scholar] [CrossRef]
- Hallett, J. Measurement in the atmosphere. In Handbook of Weather, Climate and Water: Dynamics, Climate, Physical Meteorology, Weather Systems, and Measurements, 1st ed.; Potter, T.D., Colman, B.R., Eds.; Wiley-Interscience: Hoboken, NJ, USA, 2003; pp. 711–720. ISBN 978-0-4712-1490-8. [Google Scholar]
- Plummer, D.M.; McFarquhar, G.M.; Rauber, R.M.; Jewett, B.F.; Wang, Z. Microphysical characterization of banded structures observed in cold-season extratropical cyclones. In Proceedings of the 13th Conference on Cloud Physics/13th Conference on Atmospheric Radiation, Portland, OR, USA, 2 June 2010. [Google Scholar]
- Baumgardner, D.; Jonsson, H.; Dawson, W.; O’Connor, D.; Newton, R. The cloud, aerosol and precipitation spectrometer: A new instrument for cloud investigations. Atmos. Res. 2001, 59, 251–264. [Google Scholar] [CrossRef]
- Freer, M.; McFarquhar, G.M.; Um, J. Algorithms for processing and correcting cloud microphysical data collected during TWP-ICE. In Proceedings of the 17th ARM Science Team Meeting, Monterrey, CA, USA, 26–30 March 2007. [Google Scholar]
- Holroyd, E.W. Some techniques and uses of 2D-C habit classification software for snow particles. J. Atmos. Ocean. Technol. 1987, 4, 498–511. [Google Scholar] [CrossRef]
- Baumgardner, D.; Korolev, A.V. Airspeed corrections for optical array probe sample volume. J. Atmos. Ocean. Technol. 1997, 14, 1224–1229. [Google Scholar] [CrossRef]
- Korolev, A.V.; Strapp, J.W.; Isaac, G.A. Evaluation of the accuracy of PMS optical array probes. J. Atmos. Ocean. Technol. 1998, 15, 708–720. [Google Scholar] [CrossRef]
- Field, P.R.; Heymsfield, A.J.; Bansemer, A. Shattering and particle interarrival times measured by optical array probes in ice clouds. J. Atmos. Ocean. Technol. 2006, 23, 1357–1371. [Google Scholar] [CrossRef]
- Lawson, R.P. Effects of ice particles shattering on optical cloud particle probes. Atmos. Meas. Tech. Discuss. 2011, 4, 939–968. [Google Scholar]
- Hobbs, R.; Morrison, B.; Ashenden, R.; Ide, R.F. Comparison of two data processing techniques for optical array probes. In Proceedings of the FAA International Conference on Aircraft Inflight Icing, Springfield, VA, USA, 6–8 May 1996. [Google Scholar]
- Baumgardner, D.; Abel, S.J.; Axisa, D.; Cotton, R.; Crosier, J.; Field, P.; Gurganus, C.; Heymsfield, A.J.; Korolev, A.; Krämer, M.; et al. Cloud ice properties: In situ measurement challenges. Meteor. Mon. 2017, 58, 9.1–9.23. [Google Scholar] [CrossRef]
- McFarquhar, G.M.; Baumgardner, D.; Bansemer, A.; Abel, S.J.; Crosier, J.; French, J.; Rosenberg, P.; Korolev, A.; Schwarzoenboeck, A.; Leroy, D.; et al. Processing of Ice Cloud In Situ Data Collected by Bulk Water, Scattering, and Imaging Probes: Fundamentals, Uncertainties, and Efforts toward Consistency. Meteor. Mon. 2017, 58, 11.1–11.33. [Google Scholar] [CrossRef]
- Lawson, R.P.; Connor, D.O.; Zmarzly, P.; Weaver, K.; Baker, B.; Mo, Q.X.; Jonsson, H. The 2D-S (Stereo) probe: Design and preliminary tests of a new airborne, high-speed, high-resolution particle imaging probe. J. Atmos. Ocean. Technol. 2006, 23, 1462–1477. [Google Scholar] [CrossRef]
- Protat, A.; McFarquhar, G.M.; Um, J.; Delanoë, J. Obtaining best estimates for the microphysical and radiative properties of tropical ice clouds from TWP-ICE in-situ microphysical observations. J. Appl. Meteor. Climatol. 2011; in press. [Google Scholar]
- McFarquhar, G.M.; Zhang, G.; Poellot, M.R.; Kok, G.L.; McCoy, R.; Tooman, T.; Fridlind, A.; Heymsfield, A.J. Ice properties of single-layer stratocumulus during the Mixed-Phase Arctic Cloud Experiment: 1. Observations, J. Geophys. Res. 2007, 112, D24201. [Google Scholar] [CrossRef]
- McFarquhar, G.M.; Hsieh, T.; Freer, M.; Mascio, J.; Jewett, B.F. The characterization of ice hydrometeor gamma size distributions as volumes in No–λ–μ phase space: Implications for micro- physical process modeling. J. Atmos. Sci. 2015, 72, 892–909. [Google Scholar] [CrossRef]
- Macke, A.; Grossklaus, M. Light scattering by nonspherical raindrops: Implications for lidar remote sensing of rainrates. J. Quant. Spectrosc. Radiat. Transf. 1998, 60, 355–363. [Google Scholar] [CrossRef]
- Yurkin, M.A.; Hoekstra, A.G. The discrete-dipole-approximation code ADDA: Capabilities and known limitations. J. Quant. Spectrosc. Radiat. Transf. 2011, 112, 2234–2247. [Google Scholar] [CrossRef]
- Grainger, R.G.; Lucas, J.; Thomas, G.E.; Ewen, G.B.L. Calculation of Mie derivatives. Appl. Opt. 2004, 48, 5386–5393. [Google Scholar] [CrossRef]
- Warren, S.G.; Brandt, R.E. Optical constants of ice from the ultraviolet to the microwave: A revised compilation. J. Geophys. Res. 2008, 113, D14220. [Google Scholar] [CrossRef]
- Matsumoto, M.; Nishimura, T. Mersenne twister: A 623-dimensionally equidistributed uniform pseudo-random number generator. ACM Trans. Modeling Comput. Simul. 1998, 8, 3–30. [Google Scholar] [CrossRef]
- Um, J.; McFarquhar, G.M. Optimal numerical methods for determining the orientation averages of single-scattering properties of atmospheric ice particles. J. Quant. Spectrosc. Radiat. Transf. 2013, 127, 207–223. [Google Scholar] [CrossRef]
- Um, J.; McFarquhar, G.M. Formation of atmospheric halos and applicability of geometric optics for calculating single-scattering properties of hexagonal ice particles: Impacts of aspect ratio and ice particle size. J. Quant. Spectrosc. Radiat. Transf. 2015, 165, 134–152. [Google Scholar] [CrossRef]
- Um, J. Calculations of optical properties of cloud particles to improve the accuracy of forward scattering probes for in-situ aircraft cloud measurements. Atmosphere 2020, 30, 75–89. [Google Scholar]
- Um, J.; Jang, S.; Kim, J.; Park, S.; Jung, H.; Han, S.; Lee, Y. Calculations of the single-scattering properties of non-spherical ice particles: Toward physically consistent cloud microphysics and radiation. Atmosphere 2021, 31, 113–141. [Google Scholar]
- Draine, B.T.; Flatau, P.J. User guide for the discrete dipole approximation code DDSCAT 7.3. arXiv 2013, arXiv:1305.6497. [Google Scholar] [CrossRef]
- Zubko, E.; Petrov, D.; Grynko, Y.; Shkuratov, Y.; Okamoto, H.; Muinonen, K.; Nousiainen, T.; Kimura, H.; Yamamoto, T.; Videen, G. Validity criteria of the discrete dipole approximation. Appl. Opt. 2010, 49, 1267–1279. [Google Scholar] [CrossRef] [PubMed]
- Bi, L.; Yang, P. Accurate simulation of the optical properties of atmospheric ice crystals with the invariant imbedding T-matrix method. J. Quant. Spectrosc. Radiat. Transf. 2014, 138, 17–35. [Google Scholar] [CrossRef]
- Okada, Y. Efficient numerical orientation averaging of light scattering properties with a quasi-Monte-Carlo method. J. Quant. Spectrosc. Radiat. Transf. 2008, 109, 1719–1742. [Google Scholar] [CrossRef]
- Um, J. The Microphysical and Radiative Properties of Tropical Cirrus from the 2006 Tropical Warm Pool International Cloud Experiment (TWP-ICE). Ph.D. Thesis, University of Illinois at Urbana-Champaign, Champaign, IL, USA, 2009; p. 262. [Google Scholar]
- Woods, S.; Lawson, R.P.; Jensen, E.; Bui, T.P.; Thornberry, T.; Rollins, A.; Pfister, L.; Avery, M. Microphysical properties of tropical tropopause layer cirrus. J. Geophys. Res. Atmos. 2018, 123, 6053–6069. [Google Scholar] [CrossRef]
- Um, J.; McFarquhar, G.M.; Hong, Y.P.; Lee, S.S.; Jung, C.H.; Lawson, R.P.; Mo, Q. Dimensions and aspect ratios of natural ice crystals. Atmos. Chem. Phys. 2015, 15, 3933–3956. [Google Scholar] [CrossRef]
- McFarquhar, G.M.; Um, J.; Jackson, R. Small Cloud Particle Shapes in Mixed-Phase Clouds. J. Appl. Meteor. 2013, 52, 1277–1293. [Google Scholar] [CrossRef]
- Ulanowski, Z.; Connolly, P.; Flynn, M.; Gallagher, M.; Clarke, A.J.M.; Hesse, E. Using ice crystal analogues to validate cloud ice parameter retrievals from the CPI ice spectrometer data. In Proceedings of the 14th International Conference on Clouds and Precipitation, Bologna, Italy, 19–23 July 2004. [Google Scholar]
- Bailey, M.P.; Hallett, J. Nucleation effects on the habit of vapour grown ice crystals from −18 to −42 °C, Q.J. Roy. Meteorol. Soc. 2002, 128, 1461–1483. [Google Scholar]
- Schnaiter, M.; Buttner, S.; Mohler, O.; Skrotzki, J.; Vragel, M.; Wagner, R. Influence of particle size and shape on the backscattering linear depolarization ratio of small ice crystals—Cloud chamber measurements in the context of contrail and cirrus microphysics. Atmos. Chem. Phys. 2012, 12, 10465–10484. [Google Scholar] [CrossRef]
- Davis, C.I. The Ice-Nucleating Characteristics of Various AgI Aerosols. Ph.D. Thesis, University of Wyoming, Laramie, WY, USA, 1974. [Google Scholar]
- Hess, M.; Koelemeijer, R.B.A.; Stammes, P. Scattering matrices of imperfect hexagonal ice particles. J. Quant. Spectrosc. Radiat. Transf. 1998, 60, 301–308. [Google Scholar] [CrossRef]











| D (µm) | TWP–ICE | CEPEX | |||||
|---|---|---|---|---|---|---|---|
| All Shapes (118,492) | Quasi-Spheres (103,048) | Other Shapes (15,444) | All Shapes (11,633) | ||||
| Area Ratio | Focus | Area Ratio | Focus | Area Ratio | Focus | Area Ratio | |
| 0–10 | 1.311 | 74.76 | 1.311 | 74.76 | – | – | 0.748 |
| 10–20 | 0.984 | 59.78 | 0.984 | 59.78 | – | – | 0.706 |
| 20–30 | 0.872 | 49.35 | 0.872 | 49.35 | – | – | 0.690 |
| 30–40 | 0.818 | 47.79 | 0.818 | 47.79 | – | – | 0.692 |
| 40–50 | 0.823 | 51.30 | 0.823 | 51.30 | – | – | 0.724 |
| 50–60 | 0.822 | 50.84 | 0.865 | 49.94 | 0.681 | 53.89 | 0.748 |
| 60–70 | 0.811 | 49.02 | 0.851 | 47.36 | 0.705 | 53.06 | 0.753 |
| 70–80 | 0.792 | 46.55 | 0.832 | 44.80 | 0.718 | 49.43 | 0.730 |
| 80–90 | 0.759 | 46.53 | 0.820 | 44.35 | 0.700 | 48.34 | 0.757 |
| 90–100 | 0.742 | 45.77 | 0.813 | 43.70 | 0.687 | 47.11 | 0.752 |
| Temperature | 27th January | 29th January | 2nd February | |||
|---|---|---|---|---|---|---|
| PFP | SFP | PFP | SFP | PFP | SFP | |
| T < −60 °C | 44.25% | 63.77% | 16.99% | 41.30% | 24.83% | 54.74% |
| −60 < T < −45 °C | 9.43% | 37.52% | 12.60% | 49.98% | 20.33% | 51.59% |
| −45 < T < −30 °C | 8.31% | 32.75% | 8.38% | 55.38% | 12.80% | 51.96% |
| T < −30 °C | 34.24% | 54.70% | 13.05% | 50.62% | 17.57% | 52.72% |
| 27th January | 29th January | 2nd February | |||||||||||
|---|---|---|---|---|---|---|---|---|---|---|---|---|---|
| SP | CH | GS | DX | SP | CH | GS | DX | SP | CH | GS | DX | ||
| T < −60 °C | 3B | 11.1 | 10.8 | 9.5 | 5.6 | 4.6 | 3.8 | 3.6 | 2.0 | 7.1 | 5.9 | 5.6 | 3.0 |
| −60 < T < −45 °C | 3B | 2.9 | 2.1 | 1.8 | 1.1 | 3.5 | 2.5 | 2.1 | 1.3 | 5.2 | 4.1 | 4.1 | 2.1 |
| −45 < T < −30 °C | 3B | 2.4 | 1.7 | 1.4 | 0.9 | 2.4 | 1.7 | 1.5 | 0.9 | 3.2 | 2.6 | 2.6 | 1.3 |
| T < −30 °C | 3B | 8.8 | 7.3 | 6.2 | 3.7 | 3.6 | 2.6 | 2.0 | 1.3 | 4.5 | 3.5 | 3.6 | 1.8 |
| 27th January | 29th January | 2nd February | |||||||||||
|---|---|---|---|---|---|---|---|---|---|---|---|---|---|
| SP | CH | GS | DX | SP | CH | GS | DX | SP | CH | GS | DX | ||
| T < −60 °C | 3B | 12.6 | 10.0 | 8.8 | 5.2 | 9.0 | 6.5 | 6.1 | 3.3 | 12.2 | 9.4 | 8.9 | 4.8 |
| −60 < T < −45 °C | 3B | 8.8 | 6.1 | 5.1 | 3.2 | 11.0 | 7.1 | 5.6 | 3.6 | 11.3 | 8.2 | 7.6 | 4.3 |
| −45 < T < −30 °C | 3B | 7.6 | 5.0 | 4.0 | 2.6 | 12.3 | 8.7 | 6.6 | 4.3 | 11.2 | 8.3 | 6.4 | 4.3 |
| T < −30 °C | 3B | 11.6 | 7.9 | 6.5 | 4.0 | 11.1 | 7.5 | 6.0 | 3.8 | 11.5 | 8.4 | 7.6 | 4.4 |
| T < −60 °C (Upper Parts of Cirrus) | −60 < T < −45 °C (Middle Parts of Cirrus) | |||||||||
|---|---|---|---|---|---|---|---|---|---|---|
| SP | CH | GS | DX | 3B | SP | CH | GS | DX | 3B | |
| 27 January | 1.41 | 0.80 | 0.74 | 0.48 | 0.08 | 3.95 | 2.10 | 1.50 | 0.33 | 1.69 |
| 29 January | 2.95 | 1.30 | 1.16 | 0.08 | 1.26 | 4.88 | 2.23 | 1.20 | 0.08 | 2.21 |
| 2 February | 3.78 | 2.31 | 2.14 | 0.73 | 0.96 | 3.52 | 1.79 | 1.52 | 0.04 | 2.18 |
| −45 < T < −30°C(Lower Parts of Cirrus) | T < −30°C(Whole Cirrus) | |||||||||
| SP | CH | GS | DX | 3B | SP | CH | GS | DX | 3B | |
| 27 January | 4.29 | 2.51 | 1.90 | 1.00 | 0.69 | 1.88 | 0.02 | 0.23 | 0.22 | 0.51 |
| 29 January | 6.24 | 3.42 | 1.79 | 0.19 | 3.25 | 4.89 | 2.39 | 1.29 | 0.09 | 2.35 |
| 2 February | 3.70 | 1.65 | 0.38 | 0.91 | 3.83 | 3.75 | 1.86 | 1.57 | 0.28 | 2.80 |
| 27th January | 29th January | 2nd February | |
|---|---|---|---|
| T < −60 °C | 18.15 | 34.23 | 41.42 |
| −60 < T < −45 °C | 74.13 | 134.28 | 36.20 |
| −45 < T < −30 °C | 7.62 | 177.42 | 91.14 |
| T < −30 °C | 31.21 | 122.59 | 48.68 |
Publisher’s Note: MDPI stays neutral with regard to jurisdictional claims in published maps and institutional affiliations. |
© 2022 by the authors. Licensee MDPI, Basel, Switzerland. This article is an open access article distributed under the terms and conditions of the Creative Commons Attribution (CC BY) license (https://creativecommons.org/licenses/by/4.0/).
Share and Cite
Jang, S.; Kim, J.; McFarquhar, G.M.; Park, S.; Han, S.; Lee, S.S.; Jung, C.H.; Jung, H.; Chang, K.-H.; Jung, W.; et al. The Impacts of Single-Scattering and Microphysical Properties of Ice Particles Smaller Than 100 µm on the Bulk Radiative Properties of Tropical Cirrus. Remote Sens. 2022, 14, 3002. https://doi.org/10.3390/rs14133002
Jang S, Kim J, McFarquhar GM, Park S, Han S, Lee SS, Jung CH, Jung H, Chang K-H, Jung W, et al. The Impacts of Single-Scattering and Microphysical Properties of Ice Particles Smaller Than 100 µm on the Bulk Radiative Properties of Tropical Cirrus. Remote Sensing. 2022; 14(13):3002. https://doi.org/10.3390/rs14133002
Chicago/Turabian StyleJang, Seonghyeon, Jeonggyu Kim, Greg M. McFarquhar, Sungmin Park, Suji Han, Seoung Soo Lee, Chang Hoon Jung, Heejung Jung, Ki-Ho Chang, Woonseon Jung, and et al. 2022. "The Impacts of Single-Scattering and Microphysical Properties of Ice Particles Smaller Than 100 µm on the Bulk Radiative Properties of Tropical Cirrus" Remote Sensing 14, no. 13: 3002. https://doi.org/10.3390/rs14133002
APA StyleJang, S., Kim, J., McFarquhar, G. M., Park, S., Han, S., Lee, S. S., Jung, C. H., Jung, H., Chang, K.-H., Jung, W., & Um, J. (2022). The Impacts of Single-Scattering and Microphysical Properties of Ice Particles Smaller Than 100 µm on the Bulk Radiative Properties of Tropical Cirrus. Remote Sensing, 14(13), 3002. https://doi.org/10.3390/rs14133002

