The Estimation of Surface Albedo from DSCOVR EPIC
Abstract
1. Introduction
2. Data
2.1. DSCOVR EPIC Data
2.2. MODIS Data
2.3. POLDER BRDF Product
2.4. Ground-Based Measurement Data
3. Method
3.1. Direct-Estimation Method for EPIC Data
- (1)
- The relative azimuth angle varies from 0° to 180° in 20° increments;
- (2)
- The solar zenith angle varies from 0° to 80° in 4° increments;
- (3)
- The satellite zenith angle varies from 0° to 64° in 4° increments.
3.2. Validation Strategies
4. Results
4.1. Spatial Distribution Map of the EPIC Albedo
4.2. Time Series Analysis of Albedo over Different Land Cover Types
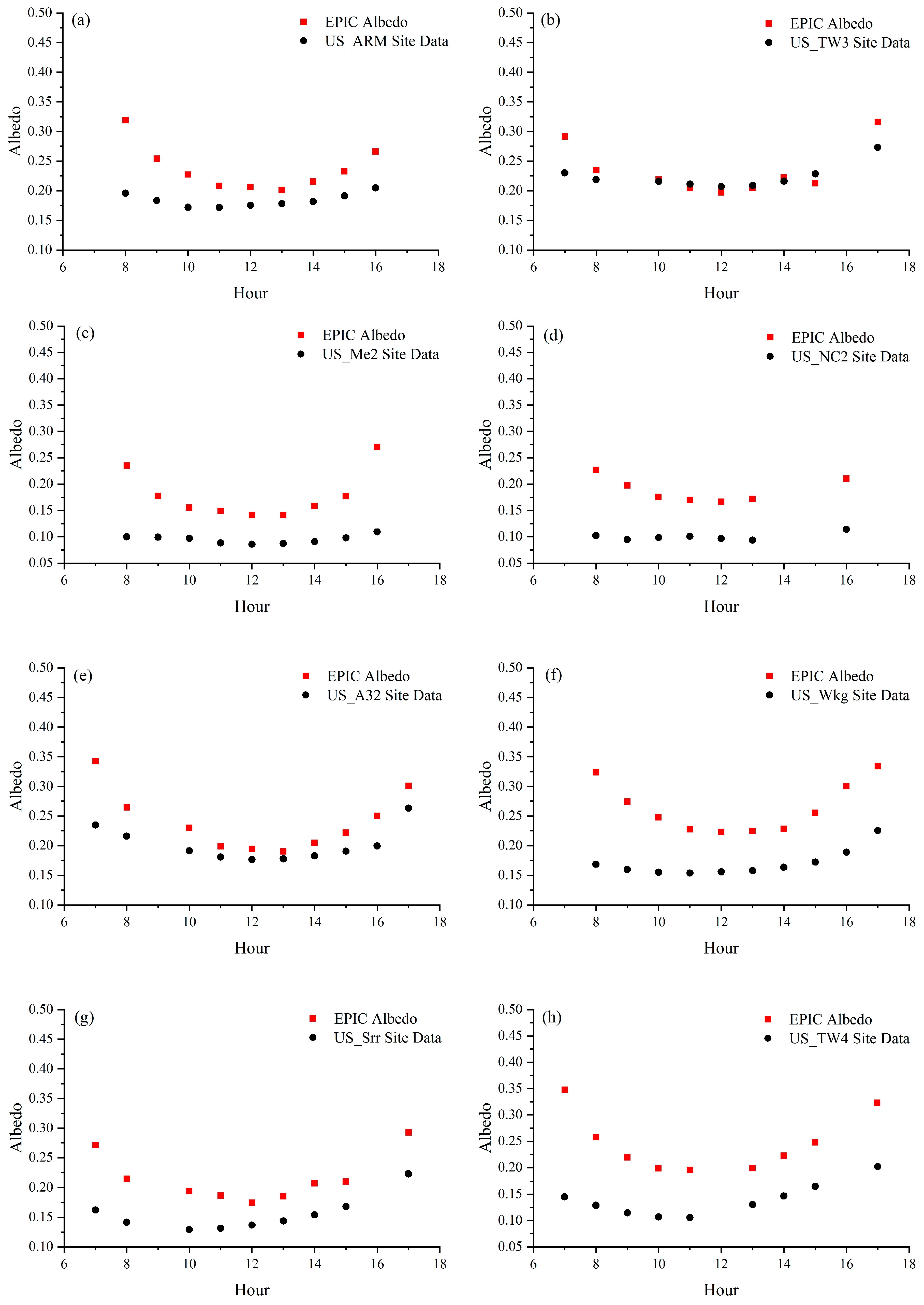
4.3. Hourly EPIC Surface Albedo Validation
4.4. Analysis of the Diurnal Variation of the EPIC Surface Albedo
5. Discussion
6. Conclusions
Supplementary Materials
Author Contributions
Funding
Acknowledgments
Conflicts of Interest
References
- Dickinson, R.E. Land Surface Processes and Climate—Surface Albedos and Energy Balance. Adv. Geophys. 1983, 25, 305–353. [Google Scholar]
- Manalo-Smith, N.; Smith, G.; Tiwari, S.; Staylor, W. Analytic forms of bidirectional reflectance functions for application to Earth radiation budget studies. J. Geophys. Res. Atmos. 1998, 103, 19733–19751. [Google Scholar] [CrossRef]
- Dickinson, R.E. Land Processes in Climate Models. Remote Sens. Environ. 1995, 51, 27–38. [Google Scholar] [CrossRef]
- Qu, Y.; Liang, S.; Liu, Q.; He, T.; Liu, S.; Li, X. Mapping Surface Broadband Albedo from satellite observations: A review of literatures on algorithms and products. Remote Sens. 2015, 7, 990–1020. [Google Scholar] [CrossRef]
- Wang, K.; Liang, S.; Schaaf, C.L.; Strahler, A.H. Evaluation of Moderate Resolution Imaging Spectroradiometer land surface visible and shortwave albedo products at FLUXNET sites. J. Geophys. Res. Atmos. 2010, 115. [Google Scholar] [CrossRef]
- Liu, Q.; Wang, L.; Qu, Y.; Liu, N.; Liu, S.; Tang, H.; Liang, S. Preliminary evaluation of the long-term GLASS albedo product. Int. J. Digit. Earth. 2013, 6, 69–95. [Google Scholar] [CrossRef]
- Qu, Y.; Liu, Q.; Liang, S.; Wang, L.; Liu, N.; Liu, S. Direct-estimation algorithm for mapping daily land-surface broadband albedo from MODIS data. IEEE Trans. Geosci. Remote Sens. 2013, 52, 907–919. [Google Scholar] [CrossRef]
- Schaaf, C.B.; Gao, F.; Strahler, A.H.; Lucht, W.; Li, X.; Tsang, T.; Strugnell, N.C.; Zhang, X.; Jin, Y.; Muller, J.P. First operational BRDF, albedo nadir reflectance products from MODIS. Remote Sens. Environ. 2002, 83, 135–148. [Google Scholar] [CrossRef]
- Leroy, M.; Deuzé, J.L.; Bréon, F.M.; Hautecoeur, O.; Herman, M.; Buriez, J.C.; Tanré, D.; Bouffiès, S.; Chazette, P.; Roujean, J.L. Retrieval of atmospheric properties and surface bidirectional reflectances over land from POLDER/ADEOS. J. Geophys. Res. 1997, 102, 17023–17037. [Google Scholar] [CrossRef]
- Muller, J.P.; Preusker, R.; Fischer, J.; Zuhlke, M.; Brockmann, C.; Regner, P. ALBEDOMAP: MERIS land surface albedo retrieval using data fusion with MODIS BRDF and its validation using contemporaneous EO and in situ data products. In Proceedings of the 2007 IEEE International Geoscience and Remote Sensing Symposium (IGARSS 2007), Barcelona, Spain, 23–28 June 2007; pp. 2404–2407. [Google Scholar]
- Martonchik, J.V.; Diner, D.J.; Pinty, B.; Verstraete, M.M.; Myneni, R.B.; Knyazikhin, Y.; Gordon, H.R. Determination of land and ocean reflective, radiative, and biophysical properties using multiangle imaging. IEEE Trans. Geosci. Remote Sens. 1998, 36, 1266–1281. [Google Scholar] [CrossRef]
- Rutan, D.; Charlock, T.; Rose, F.; Kato, S.; Zentz, S.; Coleman, L. Global surface albedo from CERES/TERRA surface and atmospheric radiation budget (SARB) data product. In Proceedings of the 12th Conference on Atmospheric Radiation, Madison, WI, USA, 10–14 July 2006. [Google Scholar]
- Grey, W.M.F.; North, P.R.J.; Los, S.O.; Mitchell, R.M. Aerosol optical depth and land surface reflectance from multiangle AATSR measurements: Global validation and intersensor comparisons. IEEE Trans. Geosci. Remote Sens. 2006, 44, 2184–2197. [Google Scholar] [CrossRef]
- Kokhanovsky, A.; Schreier, M. The determination of snow specific surface area, albedo and effective grain size using AATSR space-borne measurements. Int. J. Remote Sens. 2009, 30, 919–933. [Google Scholar] [CrossRef]
- Govaerts, Y.M.; Pinty, B.; Taberner, M.; Lattanzio, A. Spectral conversion of surface albedo derived from Meteosat first generation observations. IEEE Geosci. Remote Sens. Lett. 2006, 3, 23–27. [Google Scholar] [CrossRef]
- Piny, B.; Roveda, F.; Verstraete, M.M.; Gobron, N.; Govaert, Y.; Martonchik, J.V.; Diner, D.J.; Kahn, R.A. Surface albedo retrieval from Meteosat. 1. Theory. J. Geophys. Res. Atmos. 2000, 105, 18099–18112. [Google Scholar] [CrossRef]
- Van Leeuwen, W.J.; Roujean, J.L. Land surface albedo from the synergistic use of Polar (EPS) and Geo-stationary (MSG) observing systems an assessment of physical uncertainties. Remote Sens. Environ. 2002, 81, 273–289. [Google Scholar] [CrossRef]
- Muller, J.P.; López, G.; Watson, G.; Shane, N.; Kennedy, T.; Lewis, P.; Fischer, J.; Guanter, L.; Domench, C.; Preusker, R. The ESA GlobAlbedo project for mapping the Earth’s land surface albedo for 15 years from European sensors. In Proceedings of the 2012 IEEE International Geoscience and Remote Sensing Symposium (IGARSS 2012), Munich, Germany, 22–27 July 2012. [Google Scholar]
- Liang, S.; Zhao, X.; Liu, S.; Yuan, W.; Cheng, X.; Xiao, Z.; Zhang, X.; Liu, Q.; Cheng, J.; Tang, H. A long-term global land surface satellite (GLASS) data-set for environmental studies. Int. J. Digit. Earth 2013, 6, 5–33. [Google Scholar] [CrossRef]
- Lewis, P.; Guanter, L.; Saldana, G.L.; Muller, J.P.; Watson, N.; Shane, N.; Kennedy, T.; Fisher, J.; Domenech, C.; Preusker, R.; et al. The ESA GlobAlbedo project: Algorithm. In Proceedings of the 2012 IEEE International Geoscience and Remote Sensing Symposium (IGARSS 2012), Munich, Germany, 22–27 July 2012. [Google Scholar]
- Di Girolamo, L. Generalizing the definition of the bi-directional reflectance distribution function. Remote Sens. Environ. 2003, 88, 479–482. [Google Scholar] [CrossRef]
- Schaepman-Strub, G.; Schaepman, M.E.; Painter, T.H.; Dangel, S.; Martonchik, J.V. Reflectance quantities in optical remote sensing-definitions and case studies. Remote Sens. Environ. 2006, 103, 27–42. [Google Scholar] [CrossRef]
- Lucht, W.; Roujean, J.L. Considerations in the parametric modeling of BRDF and albedo from multiangular satellite sensor observations. Remote Sens. Rev. 2000, 18, 343–379. [Google Scholar] [CrossRef]
- Govaerts, Y.M.; Wagner, S.; Lattanzio, A.; Watts, P. Joint retrieval of surface reflectance and aerosol optical depth from MSG/SEVIRI observations with an optimal estimation approach: 1 Theory. J. Geophys. Res. 2010, 115. [Google Scholar] [CrossRef]
- Wagner, S.C.; Govaerts, Y.M.; Lattanzio, A. Joint retrieval of surface reflectance and aerosol optical depth from MSG/SEVIRI observations with an optimal estimation approach: 2. Implementation and evaluation. J. Geophys. Res. 2010, 115. [Google Scholar] [CrossRef]
- Liang, S.; Stroeve, J.; Box, J.E. Mapping daily snow/ice shortwave broadband albedo from Moderate Resolution Imaging Spectroradiometer (MODIS): The improved direct retrieval algorithm and validation with Greenland in situ measurement. J. Geophys. Res. 2005, 110. [Google Scholar] [CrossRef]
- Bao, Y.; Lv, S.; Zhang, Y.; Meng, X.; Yang, S. Improvement of surface albedo simulations over arid regions. Adv. Atmos. Sci. 2008, 25, 481–488. [Google Scholar] [CrossRef]
- Liu, X.; Wang, B.; Fu, C. Relationships between surface albedo, soil thermal parameters and soil moisture in the semi-arid area of Tongyu, northeastern China. Adv. Atmos. Sci. 2008, 25, 757–764. [Google Scholar] [CrossRef]
- Grant, I.F.; Prata, A.J.; Cechet, R.P. The impact of the diurnal variation of albedo on the remote sensing of the daily mean albedo of grassland. J. Appl. Meteorol. 2000, 39, 231–244. [Google Scholar] [CrossRef]
- Valero, F.P.J.; Charlson, R.J. Albedo-watching satellite needed to monitor change. Nature 2008, 451, 887. [Google Scholar] [CrossRef]
- Kane, S.R.; Domagal-Goldman, S.D.; Herman, J.R.; Robinson, T.D.; Stine, A.R. Retrieval of planetary rotation and albedo from DSCOVR data. arXiv 2015, arXiv:1511.03779. Available online: https://arxiv.org/abs/1511.03779 (accessed on 8 February 2020).
- Wang, Z.; Schaaf, C.B.; Sun, Q.; Shuai, Y.; Román, M.O. Capturing rapid land surface dynamics with Collection V006 MODIS BRDF/NBAR/Albedo (MCD43) products. Remote Sens. Environ. 2018, 207, 50–64. [Google Scholar] [CrossRef]
- Geiger, B.; Carrer, D.; Franchisteguy, L.; Roujean, J.L.; Meurey, C. Land surface albedo derived on a daily basis from Meteosat second generation observations. IEEE Trans. Geosci. Remote Sens. 2008, 46, 3841–3856. [Google Scholar] [CrossRef]
- Marshak, A.; Herman, J.; Adam, S.; Karin, B.; Carn, S.; Cede, A.; Geogdzhayev, I.; Huang, D.; Huang, L.K.; Knyazikhin, Y.; et al. Earth observations from DSCOVR EPIC instrument. Bull. Am. Meteorol. Soc. 2018, 99, 1829–1850. [Google Scholar] [CrossRef]
- Yang, B.; Knyazikhin, Y.; Mõttus, M.; Rautiainen, M.; Stenberg, P.; Yan, L.; Chen, C.; Yan, K.; Choi, S.; Park, T.; et al. Estimation of leaf area index and its sunlit portion from DSCOVR EPIC data: Theoretical basis. Remote Sens. Environ. 2017, 198, 69–84. [Google Scholar] [CrossRef]
- Lyapustin, A.; Wang, Y.; Laszlo, I.; Hilker, T.; Hall, F.G.; Sellers, P.J.; Tucker, C.J.; Korkin, S.V. Multi-Angle Implementation of Atmospheric Correction for MODIS (MAIAC). 3: Atmospheric Correction. Remote Sens. Environ. 2012, 127, 385–393. [Google Scholar] [CrossRef]
- Vasilkov, A.; Lyapustin, A.; Mitchell, B.G.; Huang, D. UV Reflectance of the ocean from DSCOVR/EPIC: Comparisons with a theoretical model and Aura/OMI observations. J. Atmos. Ocean. Technol. 2019, 36, 2087–2099. [Google Scholar] [CrossRef]
- Wang, Z.; Schaaf, C.B.; Strahler, A.H.; Chopping, M.J.; Román, M.O.; Shuai, Y.; Woodcock, C.E.; Hollinger, D.Y.; Fitzjarrald, D.R. Evaluation of MODIS albedo product (MCD43A) over grassland, agriculture and forest surface types during dormant and snow-covered periods. Remote Sens. Environ. 2014, 140, 60–77. [Google Scholar] [CrossRef]
- Sulla-Menashe, D.; Gray, J.M.; Abercrombie, S.P.; Friedl, M.A. Hierarchical mapping of annual global land cover 2001 to present: The MODIS Collection 6 Land Cover product. Remote Sens. Environ. 2019, 222, 183–194. [Google Scholar] [CrossRef]
- Liu, Y.; Wang, Z.; Sun, Q.; Erb, A.M.; Li, Z.; Schaaf, C.B.; Zhang, X.; Román, M.O.; Scott, R.L.; Zhang, Q. Evaluation of the VIIRS BRDF, albedo and NBAR products suite and an assessment of continuity with the long term MODIS record. Remote Sens. Environ. 2017, 201, 256–274. [Google Scholar] [CrossRef]
- Hapke, B.; DiMucci, D.; Nelson, R.; Smythe, W. The cause of the hot spot in vegetation canopies and soils: Shadow-hiding versus coherent backscatter. Remote Sens. Environ. 1996, 58, 63–68. [Google Scholar] [CrossRef]
- Rutan, D.A.; Smith, G.L.; Wong, T. Diurnal variations of albedo retrieved from earth radiation budget experiment measurements. J. Appl. Meteorol. Climatol. 2014, 53, 2747–2760. [Google Scholar] [CrossRef]
- Liu, J.; Schaaf, C.; Strahler, A.; Jiao, Z.; Shuai, Y.; Zhang, Q.; Roman, M.; Augustine, J.A.; Dutton, E. Validation of moderate resolution imaging spectroradiometer (MODIS) albedo retrieval algorithm: Dependence of albedo on solar zenith angle. J. Geophys. Res. Atmos. 2009, 114. [Google Scholar] [CrossRef]










| Land Cover Type | Site Name | Longitude (°) | Latitude (°) |
|---|---|---|---|
| Croplands | US_ARM | −97.4888 | 36.6058 |
| US_TW3 | −121.6467 | 38.1159 | |
| Evergreen Needleleaf Forests | US_Me2 | −121.5574 | 44.4523 |
| US_NC2 | −76.6685 | 35.8030 | |
| Grasslands | US_A32 | −97.8198 | 36.8193 |
| US_Wkg | −109.9419 | 31.7365 | |
| Permanent Wetlands | US_Srr | −122.0264 | 38.2006 |
| US_TW4 | −121.6414 | 38.1030 | |
| Woody Savannas | US_SRM | −110.8661 | 31.8214 |
| US_Ton | −120.9659 | 38.4316 |
| Land Cover Type | Site Name | Number of Matching Points | R | R2 | RMSE | Fit |
|---|---|---|---|---|---|---|
| CRO | US_ARM | 441 | 0.68 | 0.4624 | 0.08 | Y = 1.41X − 0.01 |
| CRO | US_TW3 | 343 | 0.69 | 0.4761 | 0.03 | Y = 1.04X |
| ENF | US_Me2 | 335 | 0.76 | 0.5776 | 0.09 | Y = 1.85X + 0.01 |
| ENF | US_NC2 | 311 | 0.55 | 0.3025 | 0.10 | Y = 1.64X + 0.03 |
| GRA | US_A32 | 311 | 0.79 | 0.6241 | 0.05 | Y = 1.32X − 0.03 |
| GRA | US_Wkg | 740 | 0.82 | 0.6724 | 0.10 | Y = 1.58X |
| WET | US_Srr | 607 | 0.68 | 0.4624 | 0.07 | Y = 0.94X + 0.08 |
| WET | US_TW4 | 425 | 0.74 | 0.5476 | 0.11 | Y = 1.20X + 0.08 |
| WSA | US_SRM | 477 | 0.47 | 0.2209 | 0.14 | Y = 1.67X + 0.03 |
| WSA | US_Ton | 640 | 0.68 | 0.4624 | 0.11 | Y = 1.93X − 0.04 |
| Site Name | MODIS Albedo (Center Point) | MODIS Albedo (Mean Value Within 10 km) | MODIS Albedo (RMSE Within 10 km) | EPIC Albedo | Site Albedo |
|---|---|---|---|---|---|
| US_ARM | 0.166 | 0.155 | 0.009 | 0.201 | 0.170 |
| US_TW3 | 0.212 | 0.169 | 0.033 | 0.165 | 0.157 |
| US_Me2 | 0.075 | 0.079 | 0.004 | 0.226 | 0.098 |
| US_NC2 | 0.130 | 0.142 | 0.012 | 0.220 | 0.091 |
| US_A32 | 0.138 | 0.146 | 0.009 | 0.215 | 0.171 |
| US_Wkg | 0.133 | 0.157 | 0.023 | 0.253 | 0.159 |
| US_Srr | 0.212 | 0.169 | 0.033 | 0.165 | 0.157 |
| US_TW4 | 0.212 | 0.169 | 0.033 | 0.165 | 0.157 |
| US_SRM | 0.194 | 0.204 | 0.020 | 0.284 | 0.157 |
| US_Ton | 0.207 | 0.187 | 0.021 | 0.280 | 0.131 |
© 2020 by the authors. Licensee MDPI, Basel, Switzerland. This article is an open access article distributed under the terms and conditions of the Creative Commons Attribution (CC BY) license (http://creativecommons.org/licenses/by/4.0/).
Share and Cite
Tian, Q.; Liu, Q.; Guang, J.; Yang, L.; Zhang, H.; Fan, C.; Che, Y.; Li, Z. The Estimation of Surface Albedo from DSCOVR EPIC. Remote Sens. 2020, 12, 1897. https://doi.org/10.3390/rs12111897
Tian Q, Liu Q, Guang J, Yang L, Zhang H, Fan C, Che Y, Li Z. The Estimation of Surface Albedo from DSCOVR EPIC. Remote Sensing. 2020; 12(11):1897. https://doi.org/10.3390/rs12111897
Chicago/Turabian StyleTian, Qiuyue, Qiang Liu, Jie Guang, Leiku Yang, Hanwei Zhang, Cheng Fan, Yahui Che, and Zhengqiang Li. 2020. "The Estimation of Surface Albedo from DSCOVR EPIC" Remote Sensing 12, no. 11: 1897. https://doi.org/10.3390/rs12111897
APA StyleTian, Q., Liu, Q., Guang, J., Yang, L., Zhang, H., Fan, C., Che, Y., & Li, Z. (2020). The Estimation of Surface Albedo from DSCOVR EPIC. Remote Sensing, 12(11), 1897. https://doi.org/10.3390/rs12111897

