An Overall Evaluation of Water Transparency in Lake Malawi from MERIS Data
1
Graduate School of Life and Environmental Sciences, University of Tsukuba, 1-1-1 Tennodai, Tsukuba, Ibaraki 305-8572, Japan
2
Faculty of Life and Environmental Sciences, University of Tsukuba, 1-1-1 Tennodai, Tsukuba, Ibaraki 305-8572, Japan
3
Okavango Research Institute, University of Botswana, P/Bag 285, Maun, Botswana
4
Kasumigaura Environmental Science Center, 1853 Okijuku-machi, Tsuchiura, Ibaraki 300-0023, Japan
5
Faculty of Language, Communication and Arts, Pedagogical University, Nampula Branch, Nampula 256, Mozambique
*
Author to whom correspondence should be addressed.
Remote Sens. 2019, 11(3), 279; https://doi.org/10.3390/rs11030279
Received: 26 December 2018 / Revised: 24 January 2019 / Accepted: 28 January 2019 / Published: 31 January 2019
(This article belongs to the Section Ocean Remote Sensing)
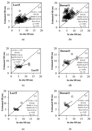
Lake Malawi is an important water resource in Africa. However, there is no routine monitoring of water quality in the lake due to financial and institutional constraints in the surrounding countries. A combination of satellite data and a semi-analytical algorithm can provide an alternative for routine monitoring of water quality, especially in developing countries. In this study, we first compared the performance of two semi-analytical algorithms, Doron11 and Lee15, which can estimate Secchi disk depth (SD) from satellite data in Lake Malawi. Our results showed that even though the SD estimations from the two algorithms were very highly correlated, the Lee15 outperformed the Doron11 in Lake Malawi with high estimation accuracy (RMSE = 1.17 m, MAPE = 18.7%, R = 0.66, p < 0.05). We then evaluated water transparency in Lake Malawi using the SD values estimated from nine years of Medium Resolution Imaging Spectrometer (MERIS) data (2003–2011) with the Lee15 algorithm. Results showed that Lake Malawi maintained four water transparency levels throughout the study period (i.e., level 1: SD > 12 m; level 2: SD between 6–12 m; level 3: SD between 3–6 m; level 4: SD between 1.5–3 m). The level 1 and 2 water areas tended to shift or trade places depending on year or season. In contrast, level 3 and 4 water areas were relatively stable and constantly distributed along the southwestern and southern lakeshores. In general, Lake Malawi is dominated by waters with SD values larger than 6 m (>95%). This study represents the first overall and comprehensive analysis of water transparency status and spatiotemporal variation in Lake Malawi.
View Full-Text
▼
Show Figures
This is an open access article distributed under the Creative Commons Attribution License which permits unrestricted use, distribution, and reproduction in any medium, provided the original work is properly cited
MDPI and ACS Style
Vundo, A.; Matsushita, B.; Jiang, D.; Gondwe, M.; Hamzah, R.; Setiawan, F.; Fukushima, T. An Overall Evaluation of Water Transparency in Lake Malawi from MERIS Data. Remote Sens. 2019, 11, 279. https://doi.org/10.3390/rs11030279
AMA Style
Vundo A, Matsushita B, Jiang D, Gondwe M, Hamzah R, Setiawan F, Fukushima T. An Overall Evaluation of Water Transparency in Lake Malawi from MERIS Data. Remote Sensing. 2019; 11(3):279. https://doi.org/10.3390/rs11030279
Chicago/Turabian StyleVundo, Augusto; Matsushita, Bunkei; Jiang, Dalin; Gondwe, Mangaliso; Hamzah, Rossi; Setiawan, Fajar; Fukushima, Takehiko. 2019. "An Overall Evaluation of Water Transparency in Lake Malawi from MERIS Data" Remote Sens. 11, no. 3: 279. https://doi.org/10.3390/rs11030279
Find Other Styles
Note that from the first issue of 2016, MDPI journals use article numbers instead of page numbers. See further details here.
Search more from Scilit

