Simulating Land Cover Change Impacts on Groundwater Recharge under Selected Climate Projections, Maui, Hawaiʻi
Abstract
1. Introduction
1.1. Spatially-Explicit Scenario Planning for Climate Change
1.2. Background and Study Area
2. Methods
2.1. Current Land Cover
2.2. Future Land Cover Scenarios
2.3. Downscaled Climate Projections
2.4. The Water-Budget Model
3. Results
3.1. Description of Reference Conditions
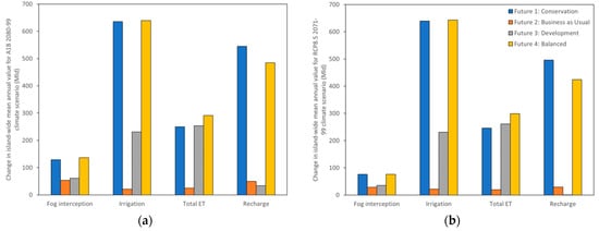
3.2. Effects of Future Land Cover Conditions under Projected Climates
3.3. Localized Land Cover Conversions and Recharge Tradeoffs
4. Discussion
Limitations of this Study
5. Conclusions
Supplementary Materials
Author Contributions
Funding
Acknowledgments
Conflicts of Interest
References
- Giambelluca, T.W.; Diaz, H.F.; Luke, M.S.A. Secular temperature changes in Hawai’i. Geophys. Res. Lett. 2008, 35. [Google Scholar] [CrossRef]
- Keener, V.; Helweg, D.; Asam, S.; Balwani, S.; Burkett, M.; Fletcher, C.; Giambelluca, T.; Grecni, Z.; Nobrega-Olivera, M.; Polovina, J.; et al. Hawai’i and US Affiliated Pacific Islands. In Impacts, Risks, and Adaptation in the United States: Fourth National Climate Assessment, Volume II; US Global Change Research Program: Washington, DC, USA, 2018; pp. 1242–1308. [Google Scholar]
- Frazier, A.; Giambelluca, T.W. Spatial trend analysis of Hawaiian rainfall from 1920 to 2012. Int. J. Climatol. 2017, 37, 2522–2531. [Google Scholar] [CrossRef]
- Kruk, M.C.; Lorrey, A.M.; Griffiths, G.M.; Lander, M.; Gibney, E.J.; Diamond, H.J.; Marra, J.J. On the state of the knowledge of rainfall extremes in the western and northern Pacific basin. Int. J. Climatol. 2015, 35, 321–336. [Google Scholar] [CrossRef]
- Gingerich, S.B.; Oki, D.S. Ground Water in Hawai’i; US Geological Survey: Reston, VA, USA, 2000.
- Izuka, S.K.; Engott, J.A.; Rotzoll, K.; Bassiouni, M.; Johnson, A.G.; Miller, L.D.; Mair, A. Volcanic Aquifers of Hawai’i—Hydrogeology, Water Budgets, and Conceptual Models (ver. 2.0, March 2018); US Geological Survey: Reston, VA, USA, 2018; p. 158. [Google Scholar]
- Bassiouni, M.; Oki, D.S. Trends and shifts in streamflow in Hawai’i, 1913–2008. Hydrol. Process. 2013, 27, 1484–1500. [Google Scholar] [CrossRef]
- Anderson, H.W.; Duffy, P.D.; Yamamoto, T. Rainfall and Streamflow from Small Tree-Covered and Fern-Covered and Burned Watersheds in Hawaii: US Forest Service Research Paper PSW-34; Forest Service: Berkeley, CA, USA, 1966; p. 11.
- Wirawan, N. Vegetation and Soil-Water Regimes in a Tropical Rain Forest Valley on Oahu, Hawaiian Islands. Ph.D. Thesis, University of Hawai’i, Honolulu, HI, USA, 1978. [Google Scholar]
- Loague, K.; Lloyd, D.A.; Giambelluca, T.W.; Nguyen, A.; Sakata, B. Land misuse and hydrologic response: Kahoʻolawe, Hawai’i. Pac. Sci. 1996, 50, 1–35. [Google Scholar]
- Ziegler, A.D.; Giambelluca, T.W. Influence of revegetation efforts on hydrologic response and erosion, Kaho’olawe Island, Hawai’i. Land Degrad. Dev. 1998, 9, 189–206. [Google Scholar] [CrossRef]
- Gaskill, T.G.R. Hydrology of Forest Ecosystems in the Honouliuli Preserve: Implications for Groundwater Recharge and Watershed Restoration. Ph.D. Thesis, University of Hawai’i, Honolulu, HI, USA, 2004. [Google Scholar]
- Kagawa, A.; Sack, L.; Duarte, K.; James, S. Hawaiian native forest conserves water relative to timber plantation: Species and stand traits influence water use. Ecol. Appl. 2009, 19, 1429–1443. [Google Scholar] [CrossRef]
- Brauman, K.A.; Freyberg, D.L.; Daily, G.C. Forest structure influences on rainfall partitioning and cloud interception: A comparison of native forest sites in Kona, Hawai’i. Agric. For. Meteorol. 2010, 150, 265–275. [Google Scholar] [CrossRef]
- Takahashi, M.; Giambelluca, T.W.; Mudd, R.G.; DeLay, J.K.; Nullet, M.A.; Asner, G.P. Rainfall partitioning and cloud water interception in native forest and invaded forest in Hawai’i Volcanoes National Park. Hydrol. Process. 2011, 25, 448–464. [Google Scholar] [CrossRef]
- Perkins, K.S.; Nimmo, J.R.; Medeiros, A.C. Effects of native forest restoration on soil hydraulic properties, Auwahi, Maui, Hawaiian Islands. Geophys. Res. Lett. 2012, 39. [Google Scholar] [CrossRef]
- Perkins, K.S.; Nimmo, J.R.; Medeiros, A.C.; Szutu, D.J.; Von Allmen, E. Assessing effects of native forest restoration on soil moisture dynamics and potential aquifer recharge, Auwahi, Maui. Ecohydrology 2014, 7, 1437–1451. [Google Scholar] [CrossRef]
- Perkins, K.S.; Stock, J.D.; Nimmo, J.R. Vegetation influences on infiltration in Hawaiian soils. Ecohydrology 2018, 11, e1973. [Google Scholar] [CrossRef]
- Safeeq, M.; Fares, A. Interception losses in three non-native Hawaiian forest stands. Hydrol. Process. 2014, 28, 237–254. [Google Scholar] [CrossRef]
- DeLay, J.K. Forest Transpiration on Kīlauea Volcano, Hawai’i. Ph.D. Thesis, University of Hawai’i, Honolulu, HI, USA, 2015. [Google Scholar]
- Strauch, A.M.; Bruland, G.L.; MacKenzie, R.A.; Giardina, C.P. Soil and hydrological responses to wild pig (Sus scofa) exclusion from native and strawberry guava (Psidium cattleianum)—Invaded tropical montane wet forests. Geoderma 2016, 279, 53–60. [Google Scholar] [CrossRef]
- United States Census Bureau. American Fact Finder: Maui County, Hawai’i. Available online: https://factfinder.census.gov/faces/nav/jsf/pages/community_facts.xhtml?src=bkmk (accessed on 9 March 2018).
- Hawai’i Tourism Authority. Annual Visitor Research Report; Hawai’i Tourism Authority: Honolulu, HI, USA, 2017.
- Kozacek, C. Hawai’i River Restorations Reflect National Desire to Protect Water for Public Benefit. Available online: https://www.circleofblue.org/2014/world/Hawaii-river-restorations-emblematic-national-efforts-protect-water-public-benefit/ (accessed on 22 July 2019).
- Townscape, Inc. Hawai’i Water Plan, Water Resource Protection Plan Update 2019; Townscape, Inc.: Honolulu, HI, USA, 2019. [Google Scholar]
- Gingerich, S.B. Ground-Water Availability in the Wailuku Area, Maui, Hawai’i; US Geological Survey: Reston, VA, USA, 2008; p. 95.
- Gingerich, S.B.; Engott, J.A. Groundwater Availability in the Lahaina District, West Maui, Hawai’i; US Geological Survey: Reston, VA, USA, 2012; p. 90.
- Scanlon, B.R.; Healy, R.W.; Cook, P.G. Choosing appropriate techniques for quantifying groundwater recharge. Hydrogeol. J. 2002, 10, 18–39. [Google Scholar] [CrossRef]
- Healy, R.W. Estimating Groundwater Recharge; Cambridge University Press: Cambridge, UK, 2010. [Google Scholar]
- Giambelluca, T.W. Water Balance of the Pearl Harbor-Honolulu Basin, Hawaii, 1946–1975. Water Resources Research Center Technical Report 151; Water Resources Research Center: Honolulu, HI, USA, 1983; p. 151. [Google Scholar]
- Izuka, S.K.; Oki, D.S.; Chen, C.-H. Effects of Irrigation and Rainfall Reduction on Ground-Water Recharge in the Lihue Basin, Kauai, Hawaii; US Geological Survey: Reston, VA, USA, 2005; p. 48.
- Izuka, S.K.; Perreault, J.A.; Presley, T.K. Areas Contributing Recharge to Wells in the Tafuna-Leone Plain, Tutuila, American Samoa; US Geological Survey: Reston, VA, USA, 2007; p. 51.
- Engott, J.A. A Water-Budget Model and Assessment of Groundwater Recharge for the Island of Hawai’i; US Geological Survey: Reston, VA, USA, 2011; p. 53.
- Johnson, A.G. A Water-Budget Model and Estimates of Groundwater Recharge for Guam; US Geological Survey: Reston, VA, USA, 2012; p. 53.
- Mair, A.; Hagedorn, B.; Tillery, S.; El-Kadi, A.I.; Westenbroek, S.; Ha, K.; Koh, G.-W. Temporal and spatial variability of groundwater recharge on Jeju Island, Korea. J. Hydrol. 2013, 501, 213–226. [Google Scholar] [CrossRef]
- Engott, J.A.; Johnson, A.G.; Bassiouni, M.; Izuka, S.K.; Rotzoll, K. Spatially Distributed Groundwater Recharge for 2010 Land Cover Estimated Using a Water-Budget Model for the Island of O’ahu, Hawai’i (ver 2.0, December 2017); US Geological Survey: Reston, VA, USA, 2017; p. 49.
- Harlow, J.; Hagedorn, B. SWB modeling of groundwater recharge on Catalina Island, California, during a period of severe drought. Water 2019, 11, 58. [Google Scholar] [CrossRef]
- Engott, J.A.; Vana, T.T. Effects of Agricultural Land-Use Changes and Rainfall on Ground-Water Recharge in Central and West Maui, Hawai’i, 1926–2004; US Geological Survey: Reston, VA, USA, 2007; p. 56.
- Johnson, A.G.; Engott, J.A.; Bassiouni, M.; Rotzoll, K. Spatially Distributed Groundwater Recharge Estimated Using a Water-Budget Model for the Island of Maui, Hawai’i, 1978–2007 (ver. 2.0, February 2018); US Geological Survey: Reston, VA, USA, 2018; p. 53.
- Mair, A.; Johnson, A.G.; Rotzoll, K.; Oki, D.S. Estimated Groundwater Recharge from a Water-Budget Model Incorporating Selected Climate Projections, Island of Maui, Hawai’i; US Geological Survey: Reston, VA, USA, 2019; p. 46.
- Kepner, W.G.; Edmonds, C.M.; Watts, C.J. Remote Sensing and Geographic Information Systems for Decision Analysis in Public Resource Administration: A Case Study of 25 Years of Landscape Change in a Southwestern Watershed; US Environmental Protection Agency, Office of Research and Development: Washington, DC, USA, 2002.
- Hulse, D.W.; Branscomb, A.; Payne, S.G. Envisioning alternatives: Using citizen guidance to map future land and water use. Ecol. Appl. 2004, 14, 325–341. [Google Scholar] [CrossRef]
- Soliva, R.; Rønningen, K.; Bella, I.; Bezak, P.; Cooper, T.; Flø, B.E.; Marty, P.; Potter, C. Envisioning upland futures: Stakeholder responses to scenarios for Europe’s mountain landscapes. J. Rural Stud. 2008, 24, 56–71. [Google Scholar] [CrossRef]
- National Park Service. Using Scenarios to Explore Climate Change: A Handbook for Practitioners; National Park Service Climate Change Response Program: Fort Collins, CO, USA, 2013.
- Chaudhuri, G.; Clarke, K.C. The SLEUTH land use change model: A review. Environ. Resour. Res. 2013, 1, 88–104. [Google Scholar]
- Abuelaish, B.; Olmedo, M.T.C. Scenario of land use and land cover change in the Gaza Strip using remote sensing and GIS models. Arab. J. Geosci. 2016, 9, 274. [Google Scholar] [CrossRef]
- Berkhoff, K.; Herrmann, S. Modeling land use change: A GIS based modeling framework to support integrated land use planning (NabanFrame). In Advances in GIScience; Springer: Berlin, Germany, 2009; pp. 309–328. [Google Scholar]
- Liu, G.; Jin, Q.; Li, J.; Li, L.; He, C.; Huang, Y.; Yao, Y. Policy factors impact analysis based on remote sensing data and the CLUE-S model in the Lijiang River Basin, China. CATENA 2017, 158, 286–297. [Google Scholar] [CrossRef]
- Baker, J.P.; Hulse, D.W.; Gregory, S.V.; White, D.; Van Sickle, J.; Berger, P.A.; Dole, D.; Schumaker, N.H. Alternative futures for the Willamette River Basin, Oregon. Ecol. Appl. 2004, 14, 313–324. [Google Scholar] [CrossRef]
- Hulse, D.; Branscomb, A.; Enright, C.; Bolte, J. Anticipating floodplain trajectories: A comparison of two alternative futures approaches. Landsc. Ecol. 2009, 24, 1067–1090. [Google Scholar] [CrossRef]
- Guzy, M.R.; Smith, C.L.; Bolte, J.P.; Hulse, D.W.; Gregory, S.V. Policy research using agent-based modeling to assess future impacts of urban expansion into farmlands and forests. Ecol. Soc. 2008, 13, 37. [Google Scholar] [CrossRef]
- Flügel, W.-A.; Märker, M.; Moretti, S.; Rodolfi, G.; Sidrochuk, A. Integrating geographical information systems, remote sensing, ground truthing and modelling approaches for regional erosion classification of semi-arid catchments in South Africa. Hydrol. Process. 2003, 17, 929–942. [Google Scholar] [CrossRef]
- Delevaux, J.M.S.; Jupiter, S.D.; Stamoulis, K.A.; Bremer, L.L.; Wenger, A.S.; Dacks, R.; Garrod, P.; Falinski, K.A.; Ticktin, T. Scenario planning with linked land-sea models inform where forest conservation actions will promote coral reef resilience. Sci. Rep. 2018, 8, 1–21. [Google Scholar] [CrossRef]
- Kepner, W.G.; Ramsey, M.M.; Brown, E.S.; Jarchow, M.E.; Dickinson, K.J.M.; Mark, A.F. Hydrologic futures: Using scenario analysis to evaluate impacts of forecasted land use change on hydrologic services. Ecosphere 2012, 3, 1–25. [Google Scholar] [CrossRef]
- Giambelluca, T.; Chen, Q.; Frazier, A.G.; Price, J.P.; Chen, Y.-L.; Chu, P.-S.; Eischeid, J.K.; Delparte, D.M. Online rainfall atlas of Hawai’i. Bull. Am. Meteorol. Soc. 2013, 94, 313–316. [Google Scholar] [CrossRef]
- State of Hawai’i. Department of Land and Natural Resources. .Hawaii Statewide GIS Program; Aquifers: Honolulu, HI, USA, 2010. Available online: https://planning.hawaii.gov/gis/ (accessed on 9 September 2013).
- Kirch, P. Feathered Gods and Fishhooks: An Introduction to Hawaiian Archaeology and Prehistory; University of Hawai’i Press: Honolulu, HI, USA, 1985. [Google Scholar]
- Cooper, G.; Daws, G. Land and Power in Hawai’i: The Democratic Years; University of Hawai’i Press: Honolulu, HI, USA, 1990. [Google Scholar]
- Blackford, M. Fragile Paradise: The Impact of Tourism on Maui, 1959–2000; University of Kansas Press: Lawrence, KS, USA, 2001. [Google Scholar]
- Perroy, R.L.; Melrose, J.; Cares, S. The evolving agricultural landscape of post-plantation Hawai’i. Appl. Geogr. 2016, 76, 154–162. [Google Scholar] [CrossRef]
- Longman, R.J.; Diaz, H.F.; Giambelluca, T.W. Sustained increases in lower-tropospheric subsidence over the central tropical North Pacific drive a decline in high-elevation rainfall in Hawai’i. J. Clim. 2015, 28, 8743–8759. [Google Scholar] [CrossRef]
- Mair, A. Land Cover Map for the Island of Maui, Hawaii, 2017 (ver. 1.2, November 2018); US Geological Survey Data Release: Reston, VA, USA, 2018.
- Tanji, M. Operations Winding down at HC&S. The Maui News 2016. Available online: https://www.mauinews.com/news/local-news/2016/12/operations-winding-down-at-hcs/ (accessed on 29 October 2019).
- University of Hawai’i at Hilo. Statewide Agricultural Land Use Baseline 2015; Spatial Data Analysis and Visualization Laboratory: Hilo, HI, USA, 2016. [Google Scholar]
- Johnson, A.G. Mean Annual Water-Budget Components for the Island of Maui, Hawaii, for Average Climate Conditions, 1978–2007 Rainfall and 2010 Land Cover (version 2.0, November 2017); US Geological Survey Data Release: Reston, VA, USA, 2017.
- US Geological Survey. Landfire Existing Vegetation Type. Available online: https://www.landfire.gov/evt.php (accessed on 9 December 2013).
- Brewington, L.; Keener, V.; Finucane, M.; Eaton, P. Participatory scenario planning for climate change adaptation using remote sensing and GIS. In Comprehensive Remote Sensing, Volume 9: Applications for Societal Benefits; Liang, S., Walsh, S.J., Eds.; Elsevier: Amsterdam, The Netherlands, 2017; pp. 236–252. [Google Scholar]
- Brewington, L. Maui Future Land Cover Scenarios (ver. 1.1, January 2018). Available online: https://eastwestcenter567-my.sharepoint.com/:u:/g/personal/brewingl_eastwestcenter_org/EXctdZNrlT9Lrc6V3vcATTcBdI59f09PSaXieHVaIRqp5w?e=BDlFpl (accessed on 10 December 2019).
- Timm, O.; Diaz, H.F. Synoptic-statistical approach to regional downscaling of IPCC twenty-first century climate projections: Seasonal rainfall over the Hawaiian Islands. J. Clim. 2009, 22, 4261–4280. [Google Scholar] [CrossRef]
- Elison Timm, O.; Giambelluca, T.W.; Diaz, H.F. Statistical downscaling of rainfall changes in Hawai’i based on the CMIP5 global model projections. J. Geophys. Res. Atmos. 2015, 120, 92–112. [Google Scholar] [CrossRef]
- Zhang, C.; Wang, Y.; Hamilton, K.; Lauer, A. Dynamical downscaling of the climate for the Hawaiian Islands. Part I: Present day. J. Clim. 2016, 29, 3027–3048. [Google Scholar] [CrossRef]
- Zhang, C.; Wang, Y.; Hamilton, K.; Lauer, A. Dynamical downscaling of the climate for the Hawaiian Islands. Part II: Projection for the late twenty-first century. J. Clim. 2016, 29, 8333–8354. [Google Scholar] [CrossRef]
- Frazier, A.G.; Giambelluca, T.W.; Diaz, H.F.; Needham, H.L. Comparison of geostatistical approaches to spatially interpolate month-year rainfall for the Hawaiian Islands. Int. J. Climatol. 2016, 36, 1459–1470. [Google Scholar] [CrossRef]
- Mair, A. Mean Annual Water-Budget Components for the Island of Maui, Hawaii, for Projected Climate Conditions, CMIP3 A1B 2080-99 Scenario Climate and 2017 Land Cover; US Geological Survey Data Release: Reston, VA, USA, 2019.
- Mair, A. Mean Annual Water-Budget Components for the Island of Maui, Hawaii, for Projected Climate Conditions, CMIP5 RCP8.5 2071-99 Scenario Rainfall and 2017 Land Cover; US Geological Survey Data Release: Reston, VA, USA, 2019.
- Mair, A. Mean Annual Water-Budget Components for the Island of Maui, Hawaii, for a Set of Eight Projected Climate and Future Land-Cover Scenarios; US Geological Survey Data Release: Reston, VA, USA, 2019.
- Miles, K. Report on Study of Water Requirements of Taro in Hanapepe Valley; Territory of Hawai‘i and McBryde Sugar Co.: Numila, HI, USA, 1931; p. 52. [Google Scholar]
- Watson, L.J. Observations made with respect to irrigation and growth of taro at certain patches at Waiāhole and Kahaluu. In Reppun v. Board of Water Supply; Watson, L.J., Ed.; City & County of Honolulu Board of Water Supply, Water Resources Division: Honolulu, HI, USA, 1964. [Google Scholar]
- De la Pena, R.S.; Melchor, F.M. Water use and efficiency in lowland taro production. In Proceedings of the Symposium of the International Society for Tropical Root Crops, Lima, Peru, 21–26 February 1983. [Google Scholar]
- Berg, N.; McGurk, B.; Calhoun, R.S. Hydrology and Land Use Effects on the Hanalei National Wildlife Refuge, Kauai, Hawaii, Final Report; Interagency Agreement 14-48-0001-94588; USDA Forest Service: Albany, CA, USA, 1997; p. 62.
- Whittier, R.B.; El-Kadi, A.I. Human and Environmental Risk Ranking of Onsite Sewage Disposal Systems for the Hawaiian Islands of Kauai, Maui, Molokai, and Hawaii; Department of Geology and Geophysics, University of Hawaii: Honolulu, HI, USA, 2014; p. 253. [Google Scholar]
- Elison Timm, O. Future warming rates over the Hawaiian Islands based on elevation-dependent scaling factors. Int. J. Climatol. 2017, 37, 1093–1104. [Google Scholar] [CrossRef]

















| Land Cover Scenario | Scenario Description |
|---|---|
| 2017 land cover | Map of Maui land cover that is representative of 2017 conditions [62]. |
| Future 1 | A conservation-focused future with high native forest restoration and low urban development. Traditional taro cultivation is restored to suitable areas, and diversified agriculture replaces former sugarcane in central Maui. |
| Future 2 | A status-quo future in which no new native forest is restored, alien forest expands, all planned development projects are fully built out, tree plantation agriculture is promoted on ranchlands, and former sugarcane in central Maui remains fallow/grassland. |
| Future 3 1 | A development-focused future with low investment in conservation, resulting in island-wide alien forest expansion, build-out of all projects to the limits of Maui urban development boundaries, and biofuel crop production replaces former sugarcane in central Maui. |
| Future 4 1 | A future in which high native forest restoration and high urban development coexist, traditional taro agriculture is restored to suitable areas, tree plantation agriculture is promoted on ranchlands, and biofuel crop production replaces former sugarcane in central Maui. |
| Projected Climate Scenario | Rain (Mld) | Fog interception (Mld) | Irrigation (Mld) | Total ET (Mld) | Recharge (Mld) |
|---|---|---|---|---|---|
| Wet future climate | 11,662 | 769 | 134 | 3632 | 5208 |
| Dry future climate | 9255 | 578 | 135 | 3107 | 4010 |
© 2019 by the authors. Licensee MDPI, Basel, Switzerland. This article is an open access article distributed under the terms and conditions of the Creative Commons Attribution (CC BY) license (http://creativecommons.org/licenses/by/4.0/).
Share and Cite
Brewington, L.; Keener, V.; Mair, A. Simulating Land Cover Change Impacts on Groundwater Recharge under Selected Climate Projections, Maui, Hawaiʻi. Remote Sens. 2019, 11, 3048. https://doi.org/10.3390/rs11243048
Brewington L, Keener V, Mair A. Simulating Land Cover Change Impacts on Groundwater Recharge under Selected Climate Projections, Maui, Hawaiʻi. Remote Sensing. 2019; 11(24):3048. https://doi.org/10.3390/rs11243048
Chicago/Turabian StyleBrewington, Laura, Victoria Keener, and Alan Mair. 2019. "Simulating Land Cover Change Impacts on Groundwater Recharge under Selected Climate Projections, Maui, Hawaiʻi" Remote Sensing 11, no. 24: 3048. https://doi.org/10.3390/rs11243048
APA StyleBrewington, L., Keener, V., & Mair, A. (2019). Simulating Land Cover Change Impacts on Groundwater Recharge under Selected Climate Projections, Maui, Hawaiʻi. Remote Sensing, 11(24), 3048. https://doi.org/10.3390/rs11243048
