Environmental Proactivity and Environmental and Economic Performance: Evidence from the Winery Sector
Abstract
:1. Introduction
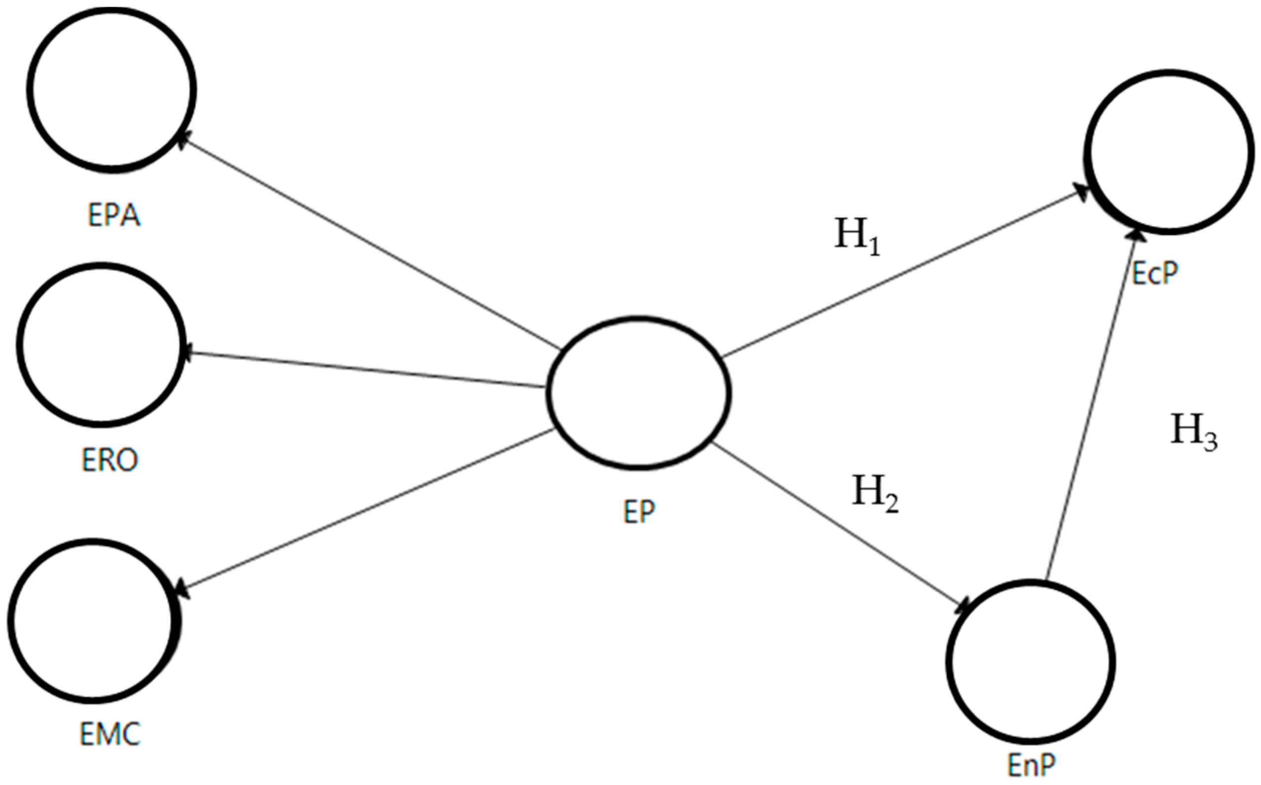
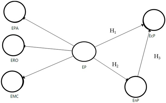
2. Theoretical Approach
3. Materials and Methods
3.1. Data Collection and Sample
3.2. Measures
3.2.1. Environmental Proactivity
- (1)
- Environmental planning and analysis (EPA): this comprises five items to evaluate the integration level of environmental concerns in the winery’s strategic planning process.
- (2)
- Environmental responsibility and organization (ERO): this comprises three items and reflects the importance placed by the winery on the environment and the communication of environmental values to its members.
- (3)
- Environmental management control (EMC): adapted from de Pondeville et al. [62], this dimension comprises four items relating to feature rules, standard operating procedures, and result controls.
3.2.2. Corporate Performance
- (1)
- Economic performance: in this research work, a subjective measure has been chosen and those responsible for environmental issues in wineries were asked to evaluate the impact of implemented environmental practices on twelve items relating to economic performance in accordance with those proposed by Sellers-Rubio [63].
- (2)
- Environmental performance: in order to evaluate environmental performance, we chose a similar approach to the one adopted by Atienza-Sahuquillo and Barba-Sánchez [2]. These authors used objective environmental performance measures such as levels of emissions, discharge, waste, or noise in addition to consumption of water, energy, or raw materials.
4. Results
4.1. Measurement Validation
4.2. Structural Validation
5. Discussion
6. Conclusions
Acknowledgments
Author Contributions
Conflicts of Interest
Appendix A
- Winery descriptive information
- Turnover
- Number of employees
- Number of partners and how many of these belong to the same family
- Existence of any environmental management systems and since when
- Age of winery
- Environmental proactivity: rate how far you agree with the following statements in terms of your winery (1 corresponding to “strongly disagree’’ and 5 to ‘‘strongly agree’’):
- This winery has a clearly-defined, formal, written environmental policy.
- Our strategic plan includes an extensive, detailed section outlining our environmental objectives.
- We constantly identify and evaluate new environmental aspects in terms of their impact.
- We provide our suppliers with a detailed, written list of environmental requirements.
- We have conducted a life cycle analysis of the main products manufactured in this company.
- Each and every one in the winery is responsible for environmental performance.
- Employee suggestions are an excellent source of ideas for improving the environmental result.
- Formal work teams are used to identify environmental problems and opportunities and to develop solutions.
- The environmental impact of operations is formally reviewed at least once a year.
- Formal procedures exist to examine the environmental implications of new investments.
- An annual audit of waste reduction programmes and their results is conducted in all production areas.
- An annual audit of the environmental risks of existing production processes is conducted in all production areas.
- Corporate performance: Assess the extent that implemented environmental practices have had on the following questions in terms of your winery (1 corresponding to “not at all’’ and 5 to ‘‘to a very great extent’’):
- Loyalty of existing customers
- Attracting new customers
- Access to financial aid and subsidies
- Relations with public authorities
- Product image
- Corporate image
- Turnover
- Volume of exports
- Long-term benefits
- Short-term benefits
- Cost position in relation to competitors
- Differentiation from competitors
- Atmospheric emissions
- Disposal
- Waste generation
- Noise
- Water consumption
- Energy consumption
- Raw material consumption
References
- European Commission. Special Eurobarometer 416: Attitudes of European Citizens towards the Environment; European Commission (Directorate-General for Environment): Brussels, Belgium, 2014; Available online: http://ec.europa.eu/public_opinion/index_en.htm (accessed on 16 May 2016).
- Atienza-Sahuquillo, C.; Barba-Sánchez, V. Design of a measurement model for environmental performance: Application to the food sector. Environ. Eng. Manag. J. 2014, 13, 1463–1472. [Google Scholar]
- Garcéz-Ayerbe, C.; Rivera-Torres, P.; Murillo-Luna, J.L. Stakeholder pressure and environmental proactivity: Moderating effect of competitive advantage expectations. Manag. Decis. 2012, 5, 189–206. [Google Scholar] [CrossRef]
- Molina-Azorín, J.F.; Tarí, J.J.; Pereira-Moliner, J.; López-Gamero, M.D.; Pertusa-Ortega, E.M. The effects of quality and environmental management on competitive advantage: A mixed methods study in the hotel industry. Tour. Manag. 2015, 50, 41–54. [Google Scholar] [CrossRef]
- Rennings, K. Redefining innovation-eco-innovation research and the contribution from ecological economics. Ecol. Econ. 2000, 32, 319–332. [Google Scholar] [CrossRef]
- Zagonari, F. Four sustainability paradigms for environmental management: A methodological analysis and an empirical study based on 30 Italian industries. Sustainability 2016, 8, 504. [Google Scholar] [CrossRef]
- Elkington, J. Partnerships from cannibals with forks: The triple bottom line of 21st-century business. Environ. Qual. Manag. 1998, 8, 37–51. [Google Scholar] [CrossRef]
- Goodland, R. The concept of environmental sustainability. Annu. Rev. Ecol. Syst. 1995, 26, 1–24. [Google Scholar] [CrossRef]
- Pujari, D. Eco-innovation and new product development: Understanding the influences on market performance. Technovation 2006, 26, 76–85. [Google Scholar] [CrossRef]
- European Parliament. Decision 1639/2006/EC of the European Parliament and of the Council of 24 October 2006 Establishing a Competitiveness and Innovation Framework Programme (2007–2013). Available online: http://eur-lex.europa.eu/legal-content/EN/TXT/?uri=URISERV%3An26104 (accessed on 12 May 2016).
- Triguero, A.; Moreno-Mondéjar, L.; Davia, M.A. Drivers of different types of eco-innovation in European SMEs. Ecol. Econ. 2013, 92, 25–33. [Google Scholar] [CrossRef]
- North, K. Environment Business Management: An Introduction, 2nd revised ed.; International Labour Organization: Geneva, Switzerland, 1992. [Google Scholar]
- González-Benito, J.; González-Benito, O. Environmental proactivity and business performance: An empirical analysis. Omega 2005, 33, 1–15. [Google Scholar] [CrossRef]
- Aragón-Correa, J.A.; Sharma, S. A Contingent resource-based view of proactive corporate environmental strategy. Acad. Manag. Rev. 2003, 28, 71–88. [Google Scholar]
- Albertini, E. Does environmental management improve financial performance? A meta-analytical review. Organ. Environ. 2013, 26, 431–457. [Google Scholar] [CrossRef]
- Aragón-Correa, J.A.; Hurtado-Torresa, N.; Sharma, S.; García-Morales, V.J. Environmental strategy and performance in small firms: A resource-based perspective. J. Environ. Manag. 2008, 86, 88–103. [Google Scholar] [CrossRef] [PubMed]
- Melnyk, S.A.; Sroufe, R.P.; Calantone, R. Assessing the impact of environmental management system on corporate and environmental performance. J. Oper. Manag. 2003, 21, 329–351. [Google Scholar] [CrossRef]
- Naveh, E.; Link, S. Standardization and Discretion: Does the Environmental Standard ISO 14001 Lead to Performance Benefits? IEEE Trans. Eng. Manag. 2006, 53, 508–519. [Google Scholar]
- Walley, N.; Whitehead, B. It’s not easy being green. Harv. Bus. Rev. 1994, 72, 46–52. [Google Scholar]
- Sen, P.; Roy, M.; Pal, P. Exploring role of environmental proactivity in financial performance of manufacturing enterprises: A structural modelling approach. J. Clean. Prod. 2015, 108, 583–594. [Google Scholar] [CrossRef]
- Sharma, S.; Vredenburg, H. Proactive Corporate Environmental Strategy and the Development of Competitively Valuable Organizational Capabilities. Strateg. Manag. J. 1998, 19, 729–753. [Google Scholar] [CrossRef]
- Bragd, A.; Bridge, G.; Den Fond, F.; Jose, P.D. Beyond greening: New dialogue and new approaches for developing sustainability. Bus. Strat. Environ. 1998, 7, 179–192. [Google Scholar] [CrossRef]
- Atkin, T.; Gilinsky, A.J.; New, S.K. Environmental strategy: Does it lead to competitive advantage in the US wine industry? Int. J. Wine Bus. Res. 2012, 24, 115–133. [Google Scholar] [CrossRef]
- Zucca, G.; Smith, D.E.; Mitry, D.J. Sustainable viticulture and winery practices in California: What is it, and do customers care? Int. J. Wine Res. 2009, 2, 189–194. [Google Scholar]
- Viassone, M.; Vrontis, D.; Papasolomou, I. The relationship between wine sector and regional competitiveness. Glob. Bus. Econ. Rev. 2016, 18, 259–276. [Google Scholar] [CrossRef]
- Barba-Sánchez, V.; Martínez-Ruiz, M.P.; Jiménez-Zarco, A.I.; Megicks, P. Good environmental practices in a traditional wine producer: An opportunity for global competition. Int. J. Bus. Glob. 2012, 8, 131–152. [Google Scholar] [CrossRef]
- Bresciani, S.; Ferraris, A.; Sant, G. Wine sector: Companies’ performance and green economy as a means of societal marketing. J. Promot. Manag. 2016, 22, 251–267. [Google Scholar] [CrossRef]
- Aragón-Correa, J.A. Strategic Proactivity and Firm Approach to the Natural Environment. Acad. Manag. J. 1998, 41, 556–567. [Google Scholar] [CrossRef]
- Buysse, K.; Verbeke, A. Proactive environmental strategies: A stakeholder management perspective. Strateg. Manag. J. 2003, 24, 453–470. [Google Scholar] [CrossRef]
- Lumpkin, G.T.; Dess, G.G. Linking two dimensions of entrepreneurial orientation to firm performance: The moderating role of environmental and industry life cycle. J. Bus. Ventur. 2001, 16, 429–451. [Google Scholar] [CrossRef]
- Sharma, S. Managerial interpretations and organizational context as predictors of corporate choice of environmental strategy. Acad. Manag. J. 2000, 43, 681–697. [Google Scholar] [CrossRef]
- González-Benito, J.; González-Benito, O. A review of determinant factors of environmental proactivity. Bus. Strat. Environ. 2006, 15, 87–102. [Google Scholar] [CrossRef]
- Hart, S.L. A natural resource based view of the firm. Acad. Manag. Rev. 1995, 20, 986–1014. [Google Scholar]
- Junquera, B.; Del Brío, J.A. Preventive command and control regulation: A case analysis. Sustainability 2016, 8, 99. [Google Scholar] [CrossRef]
- Russo, M.V. Explaining the impact of ISO 14001 on emission performance: A Dynamic Capabilities Perspective. Process Learn. Bus. Strat. Environ. 2009, 18, 307–319. [Google Scholar] [CrossRef]
- Banerjee, S.B.; Iyer, E.S.; Kashyap, R.K. Corporate environmentalism: Antecedents and influence of industry type. J. Market. 2003, 67, 106–122. [Google Scholar] [CrossRef]
- Walls, J.L.; Phan, P.H.; Berrone, P. Measuring environmental strategy: Construct development, reliability, and validity. Bus. Soc. 2011, 50, 71–115. [Google Scholar] [CrossRef]
- Chin, W.W. The partial least squares approach to structural equation modeling. In Modern Methods for Business Research; Marcoulides, G.A., Ed.; Lawrence Erlbaum Associates: Mahwah, NJ, USA, 1998; pp. 295–336. [Google Scholar]
- Sarkis, J. Manufacturing strategy and environmental consciousness. Technovation 1995, 15, 79–97. [Google Scholar] [CrossRef]
- Rueda, A.; Aragón-Correa, J.A.; Sharma, S. The influence of stakeholders on the environmental strategy of service firms: The moderating effects of complexity, uncertainty and munificence. Br. J. Manag. 2008, 19, 185–203. [Google Scholar] [CrossRef]
- Wright, R.T.; Campbell, D.E.; Thatcher, J.B.; Roberts, N. Operationalizing multidimensional constructs in structural equation modeling: Recommendations for IS research. Commun. Assoc. Inf. Syst. 2012, 30, 367–412. [Google Scholar]
- Chan, W.W. Partial analysis of the environmental costs generated by hotels in Hong Kong. Tour. Manag. 2005, 24, 517–531. [Google Scholar] [CrossRef]
- Porter, M.; Van der Linde, C. Green and competitive: Ending the stalemate. Harv. Bus. Rev. 1995, 73, 120–134. [Google Scholar]
- Nakamura, E. Does environmental investment really contribute to firm performance? An empirical analysis using Japanese firms. Eurasian Bus. Rev. 2011, 1, 91–111. [Google Scholar]
- López-Gamero, M.D.; Molina-Azorín, J.F.; Clave-Cortés, E. The whole relationship between environmental variables and firm performance: Competitive advantage and firm resources as mediator variables. J. Environ. Manag. 2009, 90, 3110–3121. [Google Scholar] [CrossRef] [PubMed]
- Christmann, P. Effects of “best practices” of environmental management on cost advantage: The role of complementary assets. Acad. Manag. J. 2000, 45, 663–680. [Google Scholar] [CrossRef]
- Tomomi, T. Environmental management strategy for small and medium-sized enterprises: Why do SMBs practice environmental management? Asian Bus. Manag. 2010, 9, 265–280. [Google Scholar] [CrossRef]
- Liu, Y.; Guo, J.; Chi, N. The antecedents and performance consequences of proactive environmental strategy: A meta-analytic review of national contingency. Manag. Organ. Rev. 2015, 11, 521–557. [Google Scholar] [CrossRef]
- Judge, W.Q.; Douglas, T.J. Performance implications of incorporating natural environmental issues into the strategic planning process: An empirical assessment. J. Manag. Stud. 1998, 35, 241–262. [Google Scholar] [CrossRef]
- Lanoie, P.; Laurent-Lucchetti, J.; Johnstone, N.; Ambec, S. Environmental policy, innovation and performance: New insights on the Porter hypothesis. J. Econ. Manag. Strat. 2011, 20, 803–842. [Google Scholar] [CrossRef]
- Henriques, I.; Sadorsky, P. The Relationship between Environmental Commitment and Managerial Perceptions of Stakeholder Importance. Acad. Manag. J. 1999, 42, 87–99. [Google Scholar] [CrossRef]
- Taplin, I. Competitive pressures and strategic repositioning in the Napa wine industry. Int. J. Wine Mark. 2006, 18, 61–71. [Google Scholar] [CrossRef]
- Dodds, R.; Graci, S.; Ko, S.; Walker, L. What drives environmental sustainability in the New Zealand wine industry? An examination of driving factors and practices. Int. J. Wine Bus. Res. 2013, 25, 164–184. [Google Scholar] [CrossRef]
- Marshall, R.S.; Akoorie, M.E.; Hamann, R.; Sinha, P. Environmental practices in the wine industry: An empirical application of the theory of reasoned action and stakeholder theory in the United States and New Zealand. J. World Bus. 2010, 45, 405–414. [Google Scholar] [CrossRef]
- Forbes, S.L.; Cohen, D.A.; Cullen, R.; Wratten, S.D.; Fountain, J. Consumer attitudes regarding environmentally sustainable wine: An exploratory study of the New Zealand marketplace. J. Clean. Prod. 2009, 17, 1195–1199. [Google Scholar] [CrossRef]
- Brugarolas, M.; Martínez-Carrasco, L.; Martínez-Poveda, A.; Rico, M. Determination of the surplus that consumers are willing to pay for an organic wine. Span. J. Agric. Res. 2005, 3, 43–51. [Google Scholar] [CrossRef]
- De Burgos, J.; Céspedes, J.J. Environmental performance as an operations objective. Int. J. Oper. Prod. Manag. 2001, 21, 1553–1572. [Google Scholar] [CrossRef]
- Muhammad, N.; Scrimgeour, F.; Reddy, K.; Abidin, S. The relationship between environmental performance and financial performance in periods of growth and contraction: Evidence from Australian publicly listed companies. J. Clean. Prod. 2015, 102, 324–332. [Google Scholar] [CrossRef]
- Fernández-Viñéa, M.B.; Gómez-Navarro, T.; Capuz-Rizo, S.F. Eco-efficiency in the SMEs of Venezuela. Current status and future perspectives. J. Clean. Prod. 2010, 18, 736–746. [Google Scholar] [CrossRef]
- Aragón-Correa, J.A.; Martín-Tapia, I.; Hurtado-Torres, N.E. Proactive environmental strategies and employee inclusion: The positive effects of information sharing and promoting collaboration and the influence of uncertainty. Organ. Environ. 2013, 26, 139–161. [Google Scholar] [CrossRef]
- Ringle, C.M.; Wende, S.; Becker, J.M. SmartPLS 3. 2015. Available online: http://www.smartpls.com (accessed on 10 May 2016).
- Pondevillea, S.; Swaen, V.; De Ro, Y. Environmental management control systems: The role of contextual and strategic factors. Manag. Account. Res. 2013, 24, 317–332. [Google Scholar] [CrossRef]
- Sellers-Rubio, R. Evaluating the economic performance of Spanish wineries. Int. J. Wine Bus. Res. 2010, 22, 73–84. [Google Scholar] [CrossRef]
- Roldán, J.L.; Sánchez-Franco, M.J. Variance-based structural equation modeling: Guidelines for using partial least squares in information systems research. In Research Methodologies, Innovations and Philosophies in Software Systems Engineering and Information Systems; Mora, M., Gelman, O., Steenkamp, A.L., Raisinghani, M., Eds.; Information Science Reference: Hershey, PA, USA, 2012; pp. 193–221. [Google Scholar]
- Hair, J.F.; Hult, T.M.; Ringle, C.M.; Sarstedt, M. A Primer on Partial Least Squares Structural Equation Modeling (PLS-SEM); Sage: Thousand Oaks, CA, USA, 2014. [Google Scholar]
- Nunnally, J.C. Psychometric Theory; McGraw-Hill: New York, NY, USA, 1978. [Google Scholar]
- Fornell, C.; Larcker, D. Evaluating structural equation models with unobservable variables and measurement error. J. Mark. Res. 1981, 18, 39–50. [Google Scholar] [CrossRef]
- Bagozzi, R.P.; Yi, Y. On the evaluation of structural equation models. J. Acad. Mark. Sci. 1988, 16, 74–94. [Google Scholar] [CrossRef]
- Polites, G.L.; Robert, N.; Thatcher, J. Conceptualizing models using multidimensional constructs: A review and guidelines for their use. Eur. J. Inf. Syst. 2012, 21, 22–48. [Google Scholar] [CrossRef]
- Falk, R.F.; Miller, N.B. A Primer for Soft Modelling; The University of Akron Press: Akron, OH, USA, 1992. [Google Scholar]
- Henseler, J.; Dijkstra, T.K.; Sarstedt, M.; Ringle, C.M.; Diamantopoulos, A.; Straub, D.W.; Ketche, D.J.; Hair, J.F.; Hult, G.T.; Calantone, R.J. Common beliefs and reality about partial least squares: Comments on Rönkkö & Evermann (2013). Organ. Res. Methods 2014, 17, 182–209. [Google Scholar]
- Lazaro, J.C.; Sá de Abreu, M.C.; de Assis Soares, F. A review of environmental factors determining to proactivity: The case of the footwear industry. Iberoam. J. Strat. Manag. 2012, 11, 197–224. [Google Scholar]
- Gilinsky, A.; Newton, S.K.; Atkin, T.; Santini, C.; Cavicchi, A.; Casas-Romero, A.; Huertas, R. Perceived efficacy of sustainability strategies in the U.S., Italian, and Spanish wine industries: A comparative study. Int. J. Wine Bus. Res. 2015, 27, 164–188. [Google Scholar] [CrossRef]
- Pomarici, E.; Vecchio, R.; Mariani, A. Wineries’ perception of sustainability costs and benefits: An exploratory study in California. Sustainability 2015, 7, 16164–16174. [Google Scholar] [CrossRef]
- Bansal, P.; Roth, K. Why companies go green: A model of ecological responsiveness. Acad. Manag. J. 2000, 43, 717–736. [Google Scholar] [CrossRef]


| Construct 1 | Cronbach’s Alpha | Composite Reliability (CR) | Average Variance Extracted (AVE) |
|---|---|---|---|
| Environmental planning and analysis (EPA) | 0.895 | 0.928 | 0.762 |
| Environmental responsibility and organization (ERO) | 0.717 | 0.830 | 0.621 |
| Environmental management control (EMC) | 0.844 | 0.895 | 0.681 |
| Environmental proactivity (EP) | 0.915 | 0.929 | 0.568 |
| Economic performance (EcP) | 0.847 | 0.884 | 0.523 |
| Environmental performance (EnP) | 0.902 | 0.921 | 0.566 |
| Construct | EPA | ERO | EMC | EP | EcP | EnP |
|---|---|---|---|---|---|---|
| EPA | 0.873 | |||||
| ERO | 0.612 | 0.788 | ||||
| EMC | 0.650 | 0.655 | 0.825 | |||
| EP | 0.872 | 0.755 | 0.823 | 0.754 | ||
| EcP | 0.294 | 0.310 | 0.268 | 0.313 | 0.723 | |
| EnP | 0.262 | 0.231 | 0.295 | 0.315 | 0.226 | 0.752 |
| Hypothesis | Suggested Effect | Path Coefficients | t-Value (Bootstrap) 1 | Support |
|---|---|---|---|---|
| H1: EP → EcP | + | 0.269 *** | 4.472 | Yes |
| H2: EP → EnP | + | 0.315 *** | 6.864 | Yes |
| H3: EnP → EcP | + | 0.141 * | 2.313 | Yes |
| R2 | Direct Effect | Correlation | Variance Explained | |
|---|---|---|---|---|
| EPA | 0.786 | |||
| EP | 0.901 | 0.872 | 78.56% | |
| ERO | 0.570 | |||
| EP | 0.755 | 0.755 | 57.00% | |
| EMC | 0.740 | |||
| EP | 0.899 | 0.823 | 73.98% | |
| EcP | 0.116 | |||
| H1: EP | 0.269 | 0.313 | 8.42% | |
| H3: EnP | 0.141 | 0.226 | 3.19% | |
| EnP | 0.099 | |||
| H2: EP | 0.315 | 0.315 | 9.92% |
© 2016 by the authors; licensee MDPI, Basel, Switzerland. This article is an open access article distributed under the terms and conditions of the Creative Commons Attribution (CC-BY) license (http://creativecommons.org/licenses/by/4.0/).
Share and Cite
Barba-Sánchez, V.; Atienza-Sahuquillo, C. Environmental Proactivity and Environmental and Economic Performance: Evidence from the Winery Sector. Sustainability 2016, 8, 1014. https://doi.org/10.3390/su8101014
Barba-Sánchez V, Atienza-Sahuquillo C. Environmental Proactivity and Environmental and Economic Performance: Evidence from the Winery Sector. Sustainability. 2016; 8(10):1014. https://doi.org/10.3390/su8101014
Chicago/Turabian StyleBarba-Sánchez, Virginia, and Carlos Atienza-Sahuquillo. 2016. "Environmental Proactivity and Environmental and Economic Performance: Evidence from the Winery Sector" Sustainability 8, no. 10: 1014. https://doi.org/10.3390/su8101014
APA StyleBarba-Sánchez, V., & Atienza-Sahuquillo, C. (2016). Environmental Proactivity and Environmental and Economic Performance: Evidence from the Winery Sector. Sustainability, 8(10), 1014. https://doi.org/10.3390/su8101014

