General Spatiotemporal Patterns of Urbanization: An Examination of 16 World Cities
Abstract
:1. Introduction

- (1)
- (2)
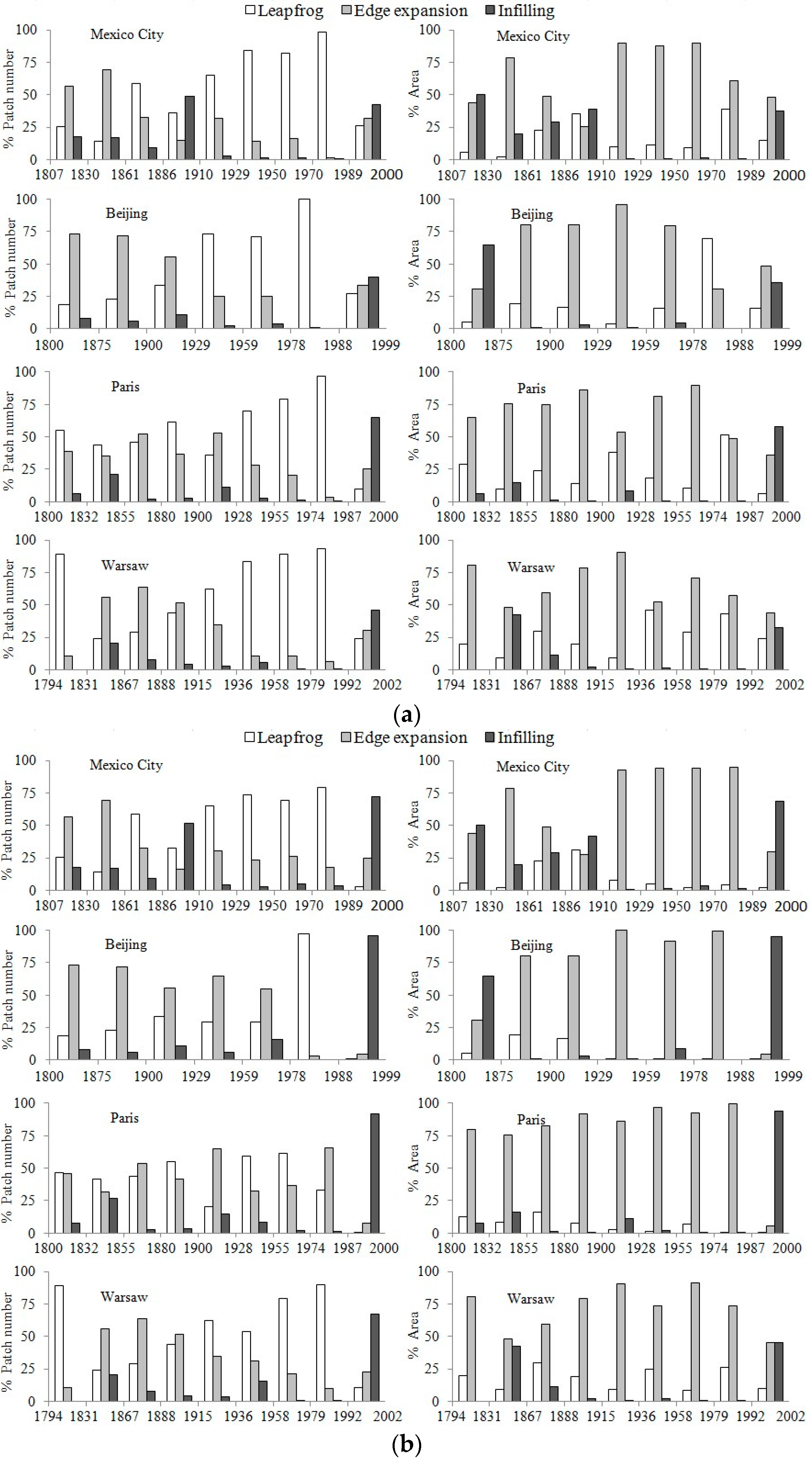
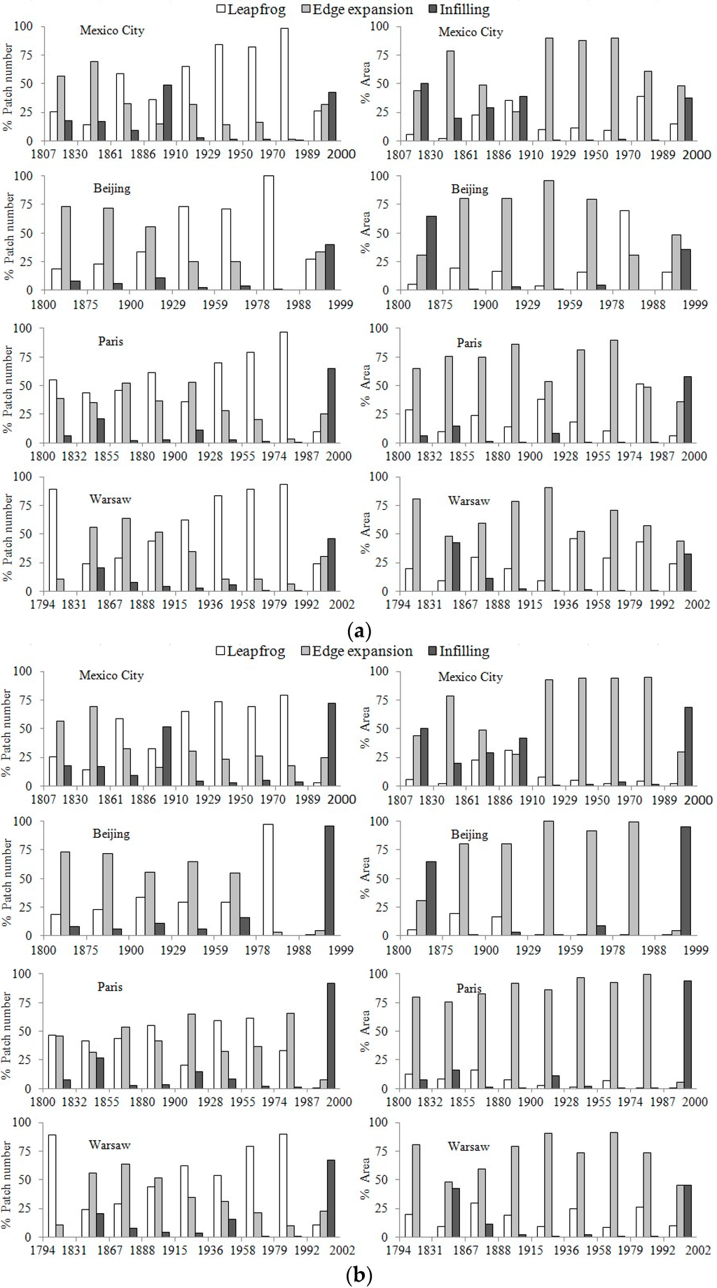
- the three growth mode hypothesis, which characterizes urbanization as a wax and wane process of infilling, edge expansion and leapfrogging [20];
- (3)
- (4)
2. Materials and Methods
2.1. Data Acquisition and Processing
| World Region * | Host Country | City | Urban Population in 2000 (millions) | Years with Data on Built-up Area ** |
|---|---|---|---|---|
| South-Eastern Asia | Philippines | Manila | 17.34 | 1802, 1831, 1842, 1884, 1898, 1918, 1945, 1971, 1993, 2002 |
| South-Central Asia | India | Mumbai | 16.16 | 1814, 1849, 1865, 1888, 1909, 1931, 1955, 1968, 1992, 2001 |
| Eastern Asia | China | Shanghai | 14.13 | 1810, 1853, 1875, 1902, 1914, 1944, 1973, 1989, 2001 |
| China | Beijing | 11.87 | 1800, 1875, 1900, 1929, 1959, 1978, 1988, 1999 | |
| Western Asia | Turkey | Istanbul | 8.83 | 1807, 1840, 1872, 1899, 1916, 1934, 1960, 1987, 2000 |
| Central America | Mexico | Mexico City | 17.22 | 1807, 1830, 1861, 1886, 1910, 1929, 1950, 1970, 1989, 2000 |
| Guatemala | Guatemala City | 1.77 | 1800, 1850, 1900, 1936, 1950, 1976, 1993, 2000 | |
| South America | Argentina | Buenos Aires | 11.92 | 1809, 1836, 1867, 1887, 1918, 1943, 1964, 1987, 2000 |
| Chile | Santiago | 5.34 | 1800, 1850, 1875, 1900, 1930, 1950, 1970, 1989, 2000 | |
| Northern Europe | United Kingdom | London | 10.03 | 1800, 1830, 1860, 1880, 1914, 1929, 1955, 1978, 1989, 2000 |
| Western Europe | France | Paris | 9.52 | 1800, 1832, 1855, 1880, 1900, 1928, 1955, 1974, 1987, 2000 |
| Eastern Europe | Russia | Moscow | 9.14 | 1808, 1836, 1893, 1914, 1939, 1957, 1978, 1991, 2002 |
| Poland | Warsaw | 2.00 | 1794, 1831, 1867, 1888, 1915, 1936, 1958, 1979, 1992, 2002 | |
| Northern Africa | Egypt | Cairo | 13.08 | 1800, 1846, 1874, 1897, 1917, 1927, 1947, 1960, 1984, 2000 |
| Algeria | Algiers | 3.63 | 1800, 1828, 1858, 1888, 1903, 1929, 1955, 1972, 1987, 2000 | |
| Oceania | Australia | Sydney | 4.23 | 1808, 1833, 1860, 1883, 1895, 1917, 1945, 1975, 1993, 2002 |


2.2. Verification of Data Consistency
2.3. Methods for Quantifying Urbanization Patterns
| Landscape Metric | Abbreviation | Description |
|---|---|---|
| Area-Weighted Mean Fractal Dimension * | AWMFD | The patch fractal dimension weighted by relative patch area, which measures the average shape complexity of individual patches for the whole landscape or a specific patch type. |
| Contagion * | Contagion | An information theory-based index that measures the extent to which patches are spatially aggregated in a landscape. |
| Edge Density * | ED | The total length of all edge segments per hectare for the class or landscape of consideration (unit: m/ha). |
| Landscape Expansion Index ** | LEI | An indicator used for interpretation of landscape expansion types (i.e., infilling edge expansion and leapfrog). |
| Landscape Shape Index * | LSI | A modified perimeter-area ratio of the form that measures the shape complexity of the whole landscape or a specific patch type. |
| Mean Patch Size * | MPS | The average area of all patches in the landscape (unit: ha). |
| Mean Euclidean Nearest Neighbor Distance * | NND | The distance to the nearest neighboring patch of the same type, based on the shortest edge-to-edge distance (unit: m). |
| Patch Density * | PD | The number of patches per square kilometer (i.e., 100 ha). |
| Percentage of Landscape * | PLAND | Relative area of a specific patch type in a landscape (unit: %). |
| Shannon’s Diversity Index * | SHDI | A measure of the diversity of patch types in a landscape that is determined by both the number of different patch types and the proportional distribution of area among patch types. |
3. Results
3.1. Changes in the Spatial Pattern of the Built-Up Area



3.2. Changes in the Spatial Pattern of the Whole Urban Landscape

4. Discussion
4.1. Generalities and Idiosyncrasies in Urbanization Patterns
4.2. Testing Hypotheses of Urbanization Patterns
4.2.1. The Diffusion and Coalescence Hypothesis
4.2.2. The Three Growth Modes Hypothesis
4.2.3. The Landscape Modification Gradient Hypothesis
4.2.4. The Diversity-Complexity Hypothesis
4.3. Suggestions for Choosing Landscape Metrics in Quantifying Urbanization Patterns
5. Conclusions
Supplementary Materials
Acknowledgments
Author Contributions
Conflicts of Interest
References
- Forman, R.T.T. The urban region: Natural systems in our place, our nourishment, our home range, our future. Landsc. Ecol. 2008, 23, 251–253. [Google Scholar] [CrossRef]
- Grimm, N.B.; Faeth, S.H.; Golubiewski, N.E.; Redman, C.L.; Wu, J.; Bai, X.; Briggs, J.M. Global change and the ecology of cities. Science 2008, 319, 756–760. [Google Scholar] [CrossRef] [PubMed]
- Schneider, A.; Mertes, C.M.; Tatem, A.J.; Tan, B.; Sulla-Menashe, D.; Graves, S.J.; Patel, N.N.; Horton, J.A.; Gaughan, A.E.; Rollo, J.T.; et al. A new urban landscape in east-southeast asia, 2000–2010. Environ. Res. Lett. 2015, 10, 034002. [Google Scholar] [CrossRef]
- Wu, J. Urban sustainability: An inevitable goal of landscape research. Landsc. Ecol. 2010, 25, 1–4. [Google Scholar] [CrossRef]
- Wu, J. Urban ecology and sustainability: The state-of-the-science and future directions. Landsc. Urban Plan. 2014, 125, 209–221. [Google Scholar] [CrossRef]
- Zhou, Y.Y.; Smith, S.J.; Zhao, K.G.; Imhoff, M.; Thomson, A.; Bond-Lamberty, B.; Asrar, G.; Zhang, X.S.; He, C.Y.; Elvidge, C.D. A global map of urban extent from nightlights. Environ.Res. Lett. 2015, 10, 054011. [Google Scholar] [CrossRef]
- UN. World Urbanization Prospects: The 2011 Revision; United Nations, Department of Economic and Social Affairs, Population Division: New York, NY, USA, 2012. [Google Scholar]
- Angel, S.; Parent, J.; Civco, D.L.; Blei, A.; Potere, D. The dimensions of global urban expansion: Estimates and projections of all countries, 2000–2050. Prog. Plan. 2011, 75, 53–107. [Google Scholar] [CrossRef]
- Luck, M.; Wu, J. A gradient analysis of urban landscape pattern: A case study from the phoenix metropolitan region, arizona, USA. Landsc. Ecol. 2002, 17, 327–339. [Google Scholar] [CrossRef]
- Wu, J.; Jenerette, G.D.; Buyantuyev, A.; Redman, C.L. Quantifying spatiotemporal patterns of urbanization: The case of the two fastest growing metropolitan regions in the united states. Ecol. Complex. 2011, 8, 1–8. [Google Scholar] [CrossRef]
- Angel, S.; Parent, J.; Civco, D.L. The fragmentation of urban landscapes: Global evidence of a key attribute of the spatial structure of cities, 1990–2000. Environ. Urban. 2012, 24, 249–283. [Google Scholar] [CrossRef]
- Frolking, S.; Milliman, T.; Seto, K.C.; Friedl, M.A. A global fingerprint of macro-scale changes in urban structure from 1999 to 2009. Environ. Res. Let. 2013, 8, 024004. [Google Scholar] [CrossRef]
- Taubenbock, H.; Esch, T.; Felbier, A.; Wiesner, M.; Roth, A.; Dech, S. Monitoring urbanization in mega cities from space. Remote Sens. Environ. 2012, 117, 162–176. [Google Scholar] [CrossRef]
- Li, H.; Wei, Y.H.D.; Huang, Z.J. Urban land expansion and spatial dynamics in globalizing shanghai. Sustainability 2014, 6, 8856–8875. [Google Scholar] [CrossRef]
- Lu, S.; Guan, X.; He, C.; Zhang, J. Spatio-temporal patterns and policy implications of urban land expansion in expansion in metropolitan areas: A case study of wuhan urban agglomeration, central China. Sustainability 2014, 6, 4723–4748. [Google Scholar] [CrossRef]
- Gao, J.L.; Wei, Y.D.; Chen, W.; Yenneti, K. Urban land expansion and structural change in the yangtze river delta, China. Sustainability 2015, 7, 10281–10307. [Google Scholar] [CrossRef]
- You, H. Quantifying urban fragmentation under economic transition in shanghai city, China. Sustainability 2016, 8, 21. [Google Scholar] [CrossRef]
- Dietzel, C.; Herold, M.; Hemphill, J.J.; Clarke, K.C. Spatio-temporal dynamics in california’s central valley: Empirical links to urban theory. Int. J. Geogr. Inf. Sci. 2005, 19, 175–195. [Google Scholar] [CrossRef]
- Dietzel, C.; Oguz, H.; Hemphill, J.J.; Clarke, K.C.; Gazulis, N. Diffusion and coalescence of the houston metropolitan area: Evidence supporting a new urban theory. Environ. B Plan. Des. 2005, 32, 231–246. [Google Scholar] [CrossRef]
- Li, C.; Li, J.; Wu, J. Quantifying the speed, growth modes, and landscape pattern changes of urbanization: A hierarchical patch dynamics approach. Landsc. Ecol. 2013, 28, 1875–1888. [Google Scholar] [CrossRef]
- Wu, J. Landscape Ecology: Pattern, Process, Scale, and Hierarchy; Higher Education Press: Beijing, China, 2000. [Google Scholar]
- Wu, J. Modeling. In CAP-LTER 2001–2002 Annual Progress Report to NSF; 2002; Available online: http://caplter.asu.edu/docs/reports/2002AnnRept/2002CAPLTERAnnualReport.pdf (accessed on 31 December 2015).
- Wu, J.; Jenerette, G.D.; David, J.L. Linking land-use change with ecosystem processes: A hierarchical patch dynamic model. In Integrated Land Use and Environmental Models—A Survey of Current Applications and Research; Guhathakurta, S., Ed.; Springer: Berlin, German, 2003. [Google Scholar]
- Jenerette, G.D.; Potere, D. Global analysis and simulation of land-use change associated with urbanization. Landsc. Ecol. 2010, 25, 657–670. [Google Scholar] [CrossRef]
- Schneider, A.; Woodcock, C.E. Compact, dispersed, fragmented, extensive? A comparison of urban growth in twenty-five global cities using remotely sensed data, pattern metrics and census information. Urban Stud. 2008, 45, 659–692. [Google Scholar] [CrossRef]
- Seto, K.C.; Fragkias, M. Quantifying spatiotemporal patterns of urban land-use change in four cities of china with time series landscape metrics. Landsc. Ecol. 2005, 20, 871–888. [Google Scholar] [CrossRef]
- Forman, R.T.T.; Godron, M. Landscape Ecology; Wiley: New York, NY, USA, 1986. [Google Scholar]
- Lincoln Institute of Land Policy. Atlas of Urban Expansion. Available online: http://www.lincolninst.edu/subcenters/atlas-urban-expansion/ (accessed on 7 January 2014).
- Angel, S.; Parent, J.; Civco, D.L.; Blei, A.M. The Persistent Decline of Urban Densities: Global and Historical Evidence of Sprawl; Lincoln Institute of Land Policy: Cambridge, MA, USA, 2010. [Google Scholar]
- Zhang, Q.; Seto, K.C. Mapping urbanization dynamics at regional and global scales using multi-temporal dmsp/ols nighttime light data. Remote Sens. Environ. 2011, 115, 2320–2329. [Google Scholar] [CrossRef]
- Liu, Z.; He, C.; Zhang, Q.; Huang, Q.; Yang, Y. Extracting the dynamics of urban expansion in china using dmsp-ols nighttime light data from 1992 to 2008. Landsc. Urban Plan. 2012, 106, 62–72. [Google Scholar] [CrossRef]
- He, C.; Liu, Z.; Tian, J.; Ma, Q. Urban expansion dynamics and natural habitat loss in china: A multiscale landscape perspective. Glob. Chang. Biol. 2014, 20, 2886–2902. [Google Scholar] [CrossRef] [PubMed]
- Liu, Z.; He, C.; Zhou, Y.; Wu, J. How much of the world’s land has been urbanized, really? A hierarchical framework for evading confusion. Landsc. Ecol. 2014, 29, 763–771. [Google Scholar] [CrossRef]
- Wu, J. Effects of changing scale on landscape pattern analysis: Scaling relations. Landsc. Ecol. 2004, 19, 125–138. [Google Scholar] [CrossRef]
- Liu, X.; Li, X.; Chen, Y.; Tan, Z.; Li, S.; Ai, B. A new landscape index for quantifying urban expansion using multi-temporal remotely sensed data. Landsc. Ecol. 2010, 25, 671–682. [Google Scholar] [CrossRef]
- Weng, Y.C. Spatiotemporal changes of landscape pattern in response to urbanization. Landsc. Urban Plan. 2007, 81, 341–353. [Google Scholar] [CrossRef]
- McGarigal, K.; Cushman, S.A.; Neel, M.C.; Ene, E. Fragstats: Spatial Pattern Analysis Program for Categorical Maps, 3.1st edn; University of Massachusetts: Amherst, MA, USA, 2002. [Google Scholar]
- ESRI. Arcgis desktop: Release 10; Environmental Systems Research Institute: Redlands, CA, USA, 2011. [Google Scholar]
- He, C.; Okada, N.; Zhang, Q.; Shi, P.; Li, J. Modelling dynamic urban expansion processes incorporating a potential model with cellular automata. Landsc.Urban Plan. 2008, 86, 79–91. [Google Scholar] [CrossRef]
- Wissink, B. Enclave urbanism in mumbai: An actor-network-theory analysis of urban (dis)connection. Geoforum 2013, 47, 1–11. [Google Scholar] [CrossRef]
- Riitters, K.H.; Oneill, R.V.; Hunsaker, C.T.; Wickham, J.D.; Yankee, D.H.; Timmins, S.P.; Jones, K.B.; Jackson, B.L. A factor-analysis of landscape pattern and structure metrics. Landsc. Ecol. 1995, 10, 23–39. [Google Scholar] [CrossRef]
- Frohn, R.; Hao, Y. Landscape metric performance in analyzing two decades of deforestation in the amazon basin of rondonia, brazil. Remote Sens. Environ. 2006, 100, 237–251. [Google Scholar] [CrossRef]
© 2016 by the authors; licensee MDPI, Basel, Switzerland. This article is an open access article distributed under the terms and conditions of the Creative Commons by Attribution (CC-BY) license (http://creativecommons.org/licenses/by/4.0/).
Share and Cite
Liu, Z.; He, C.; Wu, J. General Spatiotemporal Patterns of Urbanization: An Examination of 16 World Cities. Sustainability 2016, 8, 41. https://doi.org/10.3390/su8010041
Liu Z, He C, Wu J. General Spatiotemporal Patterns of Urbanization: An Examination of 16 World Cities. Sustainability. 2016; 8(1):41. https://doi.org/10.3390/su8010041
Chicago/Turabian StyleLiu, Zhifeng, Chunyang He, and Jianguo Wu. 2016. "General Spatiotemporal Patterns of Urbanization: An Examination of 16 World Cities" Sustainability 8, no. 1: 41. https://doi.org/10.3390/su8010041
APA StyleLiu, Z., He, C., & Wu, J. (2016). General Spatiotemporal Patterns of Urbanization: An Examination of 16 World Cities. Sustainability, 8(1), 41. https://doi.org/10.3390/su8010041
