Abstract
To ensure the sustainability of mining activities, it is imperative to effectively manage their environmental impacts, particularly geological hazards. Mining areas feature fragile geological environments subject to intense engineering disturbances, with complex underground hazard mechanisms and limited remediation space. These factors exacerbate the challenges of hazard identification and prevention, threatening the region’s long-term sustainable development. InSAR technology, with its advantages of wide coverage, high resolution, and high sensitivity, provides an effective tool for early identification of geological hazards, enabling proactive environmental monitoring. Taking Tangfang Town in Zhenxiong County, Yunnan Province as a case study, this paper integrates SBAS-InSAR technology with multi-source data to conduct coordinated research on surface deformation monitoring and geological hazard risk assessment. Based on 82 Sentinel-1 images spanning May 2022 to April 2025, surface deformation characteristics were extracted for the study area. Results indicate that the average annual deformation rate in the line-of-sight (LOS) direction ranges from −61.92 to 42.39 mm/a, with a maximum cumulative deformation of 185.5 mm. High-deformation zones are concentrated near mining faces, and rainfall is a significant driver exacerbating deformation. Nine evaluation factors, including elevation, slope gradient, and deformation magnitude, were selected; combining the information content model with the analytic hierarchy process (AHP) for geological hazard risk assessment yielded an AUC value of 0.776 on the ROC curve, indicating high model accuracy. High and extremely high-risk zones covered most known disaster sites. Significant synergy was observed between surface deformation rates and risk zoning, with medium-to-high deformation intensity predominantly distributed in high-risk zones, confirming the intrinsic consistency between deformation and hazard risk. The proposed synergistic framework integrates deformation monitoring with risk assessment. It provides methodological support on the one hand for “mining while controlling” practices in mining areas, and on the other hand for geological hazard prevention in the Wumeng Mountains, promoting sustainable and coordinated development between resource exploitation and regional sustainability.
1. Introduction
To ensure a balance between resource exploitation and ecological conservation, we must prioritize the precise monitoring and assessment of geological hazards in mining areas, directly impacting the safety management of mining operations and the stability of regional geological environments. With the iterative advancement of Earth observation technologies and data analysis methods, the integration of high-precision surface deformation monitoring techniques with quantitative evaluation models has emerged as a key approach. It effectively overcomes the limitations of traditional mining area hazard assessments and enables early detection of potential risks [1,2,3,4,5,6].
Synthetic Aperture Radar Interferometry (InSAR) is a space-based Earth observation technology developed in the late 1990s based on SAR. By utilizing phase information to address three-dimensional imaging challenges, it acquires high-precision topographic data and monitors subtle changes on land and snow/ice surfaces over time scales ranging from days to years. This makes it a unique new tool for detecting minute surface deformations. In geological hazard prediction, susceptibility refers to the spatial likelihood of a hazard occurring in a specific area under particular environmental conditions. It reflects the controlling influence of factors such as geology, topography, soil, hydrology, and land use on hazard occurrence [7]. Hazard, on the other hand, further considers the temporal probability and intensity of a hazard event, serving as a comprehensive measure of both the likelihood of occurrence and its potential destructive power. In geological hazard assessment, susceptibility and hazard must first be clearly defined. Vulnerability focuses on characterizing the spatial likelihood of disaster occurrence under specific environmental conditions, addressing only the spatial variation in static factors such as geology and topography. It does not involve the temporal probability, intensity, or potential destructive power of disaster occurrence. Hazard, however, represents a more comprehensive assessment. It builds upon susceptibility by integrating temporal probability, intensity, and dynamic disturbances, such as mining activities and surface deformation to provide a holistic measurement of disaster risk. Physics-based models and data-driven models serve as universal quantitative tools for assessing susceptibility and hazard, adaptable to specific evaluation objectives. Data-driven models, including statistical methods and machine learning, rely on relationships between historical landslide data and environmental factors. They establish predictive models through statistical analysis or algorithmic training, suitable for regional scales with abundant data [8]. Physics-based models assess sensitivity by simulating physical processes of landslide occurrence, such as slope stability analysis and hydrological coupling models. They are suitable for local or site scales where mechanisms are well-understood and parameters are accessible [9].
In geological hazard research within mining areas, SBAS-InSAR, which is a vital branch of InSAR technology, has gained widespread application due to its capability for high-precision monitoring, long-term surface deformation monitoring. Data-driven models have emerged as a key method for enhancing the accuracy of hazard assessments [10,11]. Zhang Xuesong et al. employed SBAS-InSAR technology to monitor ground subsidence caused by coal mining activities in Shaanxi Province, revealing the potential driving mechanisms behind non-uniform subsidence [12]. Zheng Yu et al. conducted a time-series analysis of surface deformation at the Buchaoba open-pit mine using SBAS-InSAR, revealing temporal characteristics and influencing factors [13]. Zheng Meinan et al. monitored surface deformation in the eastern Xuzhou coalfield using Temporary Coherent Point InSAR (TC-InSAR) technology, distinguishing between subsidence and uplift causes [14]. Ma Chao et al. employed this technique to monitor subsidence zones in high-intensity mining areas [15]. Zhao Pengtao et al. and Tian Hao Hua et al. assessed geological hazard susceptibility using information theory and machine learning models, thereby enhancing disaster prediction accuracy [16,17]. The aforementioned studies indicate that although surface deformation monitoring techniques are increasingly mature and multi-model-based geological hazard assessments are continually improving [18,19], there remains a distinct disconnect between deformation monitoring and hazard assessment, with insufficient effective integration between the two. Existing geological hazard research predominantly focuses on generalised regions, with limited systematic analysis targeting mining areas. Furthermore, such studies generally fail to incorporate sequential deformation data for analysis. Consequently, assessment outcomes struggle to reflect the impact of mining activities on hazard risks, thereby failing to provide precise support for the ‘mine-and-control’ approach.
Tangfang Town in Zhenxiong County, Yunnan Province, is situated within the geologically complex Wumeng Mountain Range. As a typical area affected by coal mining, it has exhibited signs of deformation such as ground fissures and subsidence, and faces potential risks of induced landslides and rockfalls. This location provides a representative geological setting for conducting collaborative research on the relationship between surface deformation and geological hazards [20]. Based on this, this study takes Tangfang Town as the research area. By integrating 82 scenes of Sentinel-1 SAR ascending orbit data from May 2022 to April 2025, field survey findings, and environmental data, it employs SBAS-InSAR technology [18] to extract the annual average deformation rate and cumulative deformation characteristics of the study area. This approach clarifies the spatiotemporal evolution patterns of surface deformation driven by mining activities. Innovatively integrating deformation factors into the hazard assessment framework, this study employs data-driven methods for deformation sensitivity analysis and constructs statistical prediction models. This approach identifies high-sensitivity zones, providing theoretical foundations and technical support for precise prevention and control of geological hazards in mining areas [21].
2. Geological Setting
Zhenxiong County is located in the eastern part of Zhaotong City, Yunnan Province, situated at the junction of Yunnan, Guizhou, and Sichuan provinces. It belongs to the Wumeng Mountain region. Influenced by mountain ranges and canyon topography, the terrain exhibits significant undulations with pronounced surface erosion and dissection, featuring an interlaced distribution of valleys and slopes. The terrain exhibits a northwest-high, southeast-low gradient, with elevations ranging from 1000 to 2000 m. This area presents a karst-erosional medium-mountain landscape [22]. Stratigraphic development is well-preserved, with exposed formations from oldest to youngest including the Cambrian (C), Ordovician (O), Permian (P), Triassic (T), Jurassic (J), and Quaternary (Q) formations, with Permian strata being the most extensively developed. Tangfang Town, as the town housing the core mining area under Zhenxiong County, exhibits topographic elevation characteristics consistent with regional terrain patterns. Elevations within the town range from 1507 to 2265 m, with significant undulations. Exposed strata include the Upper Permian Longtan Formation and Changxing Formation, as well as the Lower Triassic Feixianguan Formation, as shown in Figure 1 and Figure 2. The Longtan Formation primarily consists of terrestrial fine sandstone, siltstone, and claystone interbedded with coal seams, with occasional extremely thin muddy limestone interbeds in the middle and upper sections. The Changxing Formation consists of clastic-dominated, interbedded marine-terrestrial coal-bearing deposits with limestone, comprising gray-black muddy limestone interbedded with fine sandstone, muddy siltstone, and mudstone containing thin coal seams. The Feixianguan Formation comprises purplish-red and gray-purple siltstone and fine sandstone interbedded with gray-green mudstone, with lower sections containing limestone and oolitic limestone. A northeast-trending fault zone is developed within the mining area, characterized by a steep fault dip [20].
Figure 1.
Location Diagram.
Figure 2.
Regional Geological Map.
Changling No. 1 Coal Mine is located in Tangfang Town, Zhenxiong County, Zhaotong City. Current exploration methods primarily involve geophysical surveys and drilling, with longwall mining employed. The main coal seam being mined is C5b, which relies on natural drainage. The coal-bearing strata within the mining area belong to the Upper Permian Changxing Formation (P2c) and Longtan Formation (P2l), with each coal seam exhibiting moderately to highly developed fractures. Villages are distributed around the mining area, where the local economy primarily relies on agricultural cultivation. Industrial activities mainly involve coal mining, power generation, and food processing. Currently, the mine is under construction and in operation. There is a potential risk of induced geological hazards at the surface, including induced ground fissures, ground subsidence, uneven ground settlement, landslides, and rockfall from unstable rock masses, posing a threat to surrounding residents [23].
3. Analysis of Surface Deformation Characteristics in Mining Areas
3.1. Data Sources and Processing
The computational principle of SBAS-InSAR technology involves randomly combining N SAR images and selecting any one as the master image for calibration. The calibrated M differential interferograms must satisfy the following inequality:
Subsequently, by selecting SAR image pairs with short temporal and spatial baselines, small baseline subsets are formed to reduce decorrelation effects. Utilizing the interferometric phase differences from multiple images, and after removing terrain and atmospheric disturbances, a time series of surface deformation is extracted through modeling and solution. This enables high-precision, long-term surface deformation monitoring, effectively overcoming the limitations of traditional InSAR in temporal and spatial coherence [24,25]. The specific processing flowchart is shown in Figure 3 [26].
Figure 3.
SBAS-InSAR Processing Flowchart.
This study employs single-pass SAR data for monitoring. Considering the geological background and mining disturbance characteristics of the study area, the primary driver of surface deformation is vertical stress imbalance induced by abandoned mine voids. Horizontal displacement contributes minimally and does not alter the macroscopic deformation pattern. Therefore, this data sufficiently supports spatiotemporal analysis of deformation patterns at the regional scale and geological hazard risk assessment.
3.2. Surface Deformation Analysis
3.2.1. Spatial Analysis of Surface Deformation
This study employed SBAS-InSAR technology to process imagery data from the study area spanning May 2022 to April 2025. Imagery was acquired every 12 days, yielding a total of 82 ascending-orbit single-view complex images. Multiple primary images were automatically selected through computational methods. with the remaining images paired as secondary images for interferometric processing. This approach mitigated temporal heterogeneity in vegetation cover and reduced reliance on the coherence of a single primary image. Low-coherence pixels were removed, and Gaussian spatio-temporal filtering was applied to separate atmospheric and deformation phases, generating interferometric image pairs. Figure 4 shows the spatio-temporal baseline map of the interferometric image pairs, while Figure 5 presents the differential interferometric processing results. The coherence map is a grayscale image, with colors ranging from black to white representing low to high coherence. The filtered interferogram is an intermediate result obtained. By analyzing typical filtered interferograms, preliminary deformation locations can be identified. Warm colors like red and yellow generally indicate negative deformation, with darker shades corresponding to greater subsidence. Cool colors like blue and green typically indicate positive deformation, with darker shades indicating greater uplift. The phase-deconvolved image is grayscale, with black representing areas where no deconvolution results were obtained.
Figure 4.
Interference Image for Spatiotemporal Baseline Map: (a) Time-Position Plot; (b) Time-Baseline Plot.
Figure 5.
Differential Interference Pattern: (a) Correlation Coefficient Chart (_CC); (b) Filtered Interferogram (_Fint); (c) Phase Decoupling Diagram (_Upha).
To ensure the reliability of surface deformation results derived from SBAS-InSAR technology, assessing its sensitivity to key processing parameters is crucial. Based on Sentinel-1 data revisit cycles and spatial baseline distribution characteristics, the core processing parameters were set as follows: temporal baseline threshold of 90 days, spatial baseline threshold of 40% of critical baselines, and disentanglement coherence threshold of 0.1. To validate the robustness of deformation results under this parameter combination, a more stringent parameter set was selected for comparative testing. This set significantly tightened the spatial baseline threshold (to 2% of the critical baseline) and raised the disentanglement coherence threshold (to 0.3), aiming to capture high-confidence pixels with minimal phase noise. Concurrently, the temporal baseline threshold was moderately relaxed to 120 days to maintain sufficient interferogram counts. Comparing the annual average deformation rate fields derived from both parameter sets reveals that the difference in average deformation rates at the main subsidence center remains within 5 mm/a, with the maximum cumulative deformation deviation less than 5 mm. This result clearly demonstrates that the selection and determination of thresholds are robust and reliable, independent of any specific set of processing parameters, as shown in Table 1.
Table 1.
SBAS-InSAR Key Processing Parameter Sensitivity Test Results Table.
Subsequently, through inversion and geocoding, the annual average deformation rate and cumulative deformation along the line of sight (LOS) for the study area were obtained, as shown in Figure 6. Red areas (with negative deformation values) indicate that terrain features are moving away from the satellite along the line of sight (LOS), presenting subsidence phenomena. The blue area (positive deformation values) indicates that terrain features are approaching the satellite along the line of sight (LOS), presenting an uplift phenomenon. This study has effectively corrected atmospheric delay phase in the interferogram using GACOS data, significantly suppressing terrain-related atmospheric signals. Therefore, the deformation signals depicted in the image, particularly the extensive, persistent blue (uplift) areas, can be considered a reliable reflection of true surface deformation. The annual average deformation rate map and cumulative deformation map of Tangfang Town clearly show that the LOS annual average deformation rate in this area ranges from −61.92 mm/year to −42.39 mm/year, with significant variations in cumulative deformation, reaching a maximum LOS deformation of 185.5 mm. Most areas experienced varying degrees of deformation, with uneven overall distribution. Notably, extensive and severe subsidence occurred southeast of the Changling Coal Mine, a phenomenon preliminarily suspected to be closely linked to coal mining activities. Coal mining disrupts the stress equilibrium of underground rock strata. The formation of goafs causes the overlying strata to lose support, making them susceptible to deformation under gravitational forces. The long-term mining operations at the Changling Coal Mine are highly likely to be the primary factor triggering large-scale deformation in this area [27,28].
Figure 6.
(a) Annual average deformation rate at LOS, Tangfang Town; (b) cumulative deformation at LOS, Tangfang Town (May 2022–April 2025).
3.2.2. Time Analysis of Surface Deformation
A significant deformation zone was delineated within the Changling mining area. Four points (A, B, C, and D), representative of the regional deformation characteristics and exhibiting substantial displacement, were selected within this zone for time-series analysis, as shown in Figure 7 and Figure 8. The time-series analysis of these deformation points reveals that Points A and B experienced cumulative LOS deformation exceeding 130 mm, while Points C and D showed cumulative LOS deformation greater than 85 mm. The temporal cumulative deformation curves demonstrate a significant increasing trend for all four points during the 2022–2025 period. Among them, Point B exhibited the largest deformation among the four points, with its maximum cumulative deformation reaching 139.7 mm by May 2025. In early 2022, minor fluctuations were observed, but an overall downward trajectory had already initiated, indicating accelerating deformation. During early 2023, all four points experienced a rapid surge in cumulative deformation. To investigate the causes of this increase, a detailed review of mining area records revealed intensified mining activities during this period, expanding the scope of the goaf and significantly accelerating surface deformation rates. Subsequently, cumulative deformation at all four points stabilized, with minor fluctuations observed in mid-2024. Thereafter, points C and D exhibited only minor fluctuations in cumulative deformation, while points A and B continued to show noticeable deformation. Since points A and B are located deeper within the mining area and closer to active mining operations, they are more directly impacted by mining activities. This proximity is thus considered the primary reason for their higher deformation rates compared to points C and D in the later period.
Figure 7.
Significant Deformation Points in the Changling Mining Area.
Figure 8.
Cumulative Deformation of Significant Deformation Points.
3.2.3. Analysis of the Correlation Mechanism Between Precipitation and Surface Deformation
Based on precipitation observation data from Zhaotong City, the study area has an annual average precipitation of 870.76 mm and a monthly average precipitation of 72.56 mm. Considering the climate characteristics of the study area, this paper investigates the mechanism of rainfall’s influence on surface deformation in the mining area from the spatiotemporal perspective of “dry and wet seasons.” The data reveal a highly uneven distribution of precipitation. The period from May to October each year constitutes the concentrated rainfall season, with cumulative precipitation reaching 742.69 mm, accounting for 85.3% of the total annual precipitation. In contrast, precipitation from November to April of the following year is relatively scarce, with cumulative precipitation amounting to only 128.07 mm. As shown in Figure 9.
Figure 9.
Monthly Average Precipitation in the Study Area.
From the temporal characteristics of cumulative settlement, deformation responses during the wet and dry seasons do not follow a consistent pattern but exhibit significant temporal variability. As shown in Figure 10. This discrepancy indicates that the formation and evolution of mine deformation are governed by multiple factors, with rainfall being only one of them. Potential influencing factors include differences in the evolutionary stages of the goaf. The extent of goaf expansion and the degree of overburden collapse vary across different time periods. If the wet season coincides with the overburden entering a consolidated stable phase, the rocks within the collapse zone have undergone preliminary consolidation through prior settlement, reducing residual deformation space. Consequently, even with rainfall infiltration, deformation magnitude is significantly diminished. Multiple dry-wet cycles may alter the development of rock and soil fractures, or cause weakened interlayers to stabilize in strength after prior softening, thereby reducing the impact of subsequent rainfall on their mechanical properties. The distribution and intensity of underground mining operations may vary across different periods. Relevant surface data confirms that from May to October 2023, surface displacement was notably pronounced due to mining vibrations and seismic activity. Conversely, during the wet season when mining disturbances were weaker, the disruption to rock stress equilibrium was reduced. Combined with rainfall effects, this would not result in significant deformation. In summary, rainfall’s influence on mining area deformation is condition-dependent. Its effects manifest synergistically with factors such as goaf evolution, groundwater level dynamics, rock-soil properties, and mining disturbances, rather than acting as an independent dominant factor for deformation.
Figure 10.
Cumulative Settlement Deformation of LOS During Dry and Wet Seasons in the Study Area.
3.2.4. Field Verification
On 30 June 2023, a rock collapse occurred on the northern slope of the mountain in Dajuegou Village Group, Shanshulin Village, Tangfang Town, Zhenxiong County. The collapse point was located at the top of the slope, with geographic coordinates of 104°58′35.80″ E, 27°29′40.94″ N. Multiple fractures were observed on the collapse scarp, including fracture L1 (length: 40 m, width: 0.1–1.8 m), L2 (length: 100 m, width: 0.1–0.5 m), and L3 (length: 30 m, width: 0.1–0.3 m). These fractures reflect progressive failure characteristics of the rock mass under sustained deformation. Combining SBAS-InSAR monitoring data, cumulative deformation time-series curves for this disaster site were extracted from May 2022 to August 2024. Results indicate that during the 13-month period from May 2022 to June 2023, surface deformation significantly increased. Following the disaster, deformation values tended toward stability, suggesting that cumulative surface deformation is a key factor in triggering landslides. This case study validates the significant correlation between surface deformation and geological hazard development, providing empirical evidence for incorporating deformation magnitude into subsequent hazard risk assessments, as shown in Figure 11 and Figure 12 [23]. Based on the geological hazard risk zoning map, the results indicate that this collapse site is located within the extremely high-risk zone delineated by the model. This demonstrates that the evaluation model constructed in this study can effectively identify and preemptively mark such high-risk locations.
Figure 11.
Field Verification: (a) Cumulative deformation in the study area. (b) Overall view of the collapse body and Profile of the collapse wall. (c) Deformation traces in L1 fracture, L2 fracture and L3 fracture.
Figure 12.
Deformation time-series curve at the disaster site.
3.2.5. Surface Validation Verification
To quantitatively evaluate the reliability of deformation results obtained through time-series analysis of small baseline sets, this study utilizes GNSS data to validate SBAS-InSAR results. GNSS data from the landslide monitoring site in Dajuegou, Shanshulin Village, Tangfang Town, were selected for validation. Using InSAR data from 8 November 2023, as the reference baseline with zero deformation, subsequent deformation values were calculated relative to this baseline. Specific data are as follows (Table 2):
Table 2.
InSAR and Ground-Based Data Validation.
Calculations yielded a mean absolute error (MAE) of 0.32 mm, a root mean square error (RMSE) of 0.47 mm, and a coefficient of determination (R2) of 0.974. These results indicate that the vertical displacement measured by InSAR exhibits an exceptionally high degree of agreement with field data (R2 approaching 1), with errors at the millimeter level. This validates the reliability of the InSAR data.
4. Geological Hazard Risk Assessment
4.1. Development of the Geological Hazard Risk Assessment Model
Based on the geological environment characteristics of the study area and the mining background of the region, this geological hazard risk assessment selected nine key factors [29,30]. Each factor synergistically characterizes hazard mechanisms through different dimensions. Elevation spatial differentiation directly influences the terrain dynamic environment, lithological distribution, and patterns of human engineering activities, thereby correlating with rock and soil stability. Slope further influences hazard probability by regulating slope mechanical equilibrium, rainfall infiltration efficiency, and stress superposition effects around mined-out areas. Aspect creates differentiated microenvironments by altering sunlight exposure, precipitation interception, and wind speed, exacerbating the mechanical degradation of soft rocks in the Longtan and Changxing Formations while altering the moisture state and shear strength of surrounding rock-soil masses. The distance to water system factor focuses on the degradation of slope integrity caused by rainfall infiltration, groundwater saturation, and long-term water erosion, significantly weakening the geotechnical mass’s resistance to instability. The distance to road factor relates to slope structural damage induced by road excavation, human disturbance in the vicinity, and abnormal local hydrological and stress conditions caused by road drainage systems. The distance to miningfaces factor reflects the gradient attenuation effect of stress redistribution in mined-out areas, rock layer settlement cracks, and groundwater level changes with distance, directly indicating the disturbance intensity of mining activities. The distance to fault factor characterizes the destructive impact of fault zones, which includes the softening of rock through water conduction, the degradation of rock integrity, and stress concentration effects. These effects combine with those of soft rock interlayers to form cumulative disaster-inducing impacts. The land use type factor influences regional disaster resilience through variations in human disturbance intensity and surface protection capacity across different land categories. Deformation amplitude, as a key dynamic factor, quantifies the driving role of surface deformation in disaster initiation processes. Together with the aforementioned static factors, it forms a comprehensive disaster initiation factor system encompassing both static and dynamic disturbances, providing scientifically rigorous and comprehensive support for geological hazard risk assessment.
Prior to introducing the aforementioned factors, this study conducted a variance inflation factor (VIF) analysis to assess their independence and avoid interference from multicollinearity in weight calculations and information accumulation. Typically, VIF < 5 indicates no significant collinearity, while VIF > 10 suggests severe multicollinearity. Analysis indicates that the VIF values of all selected factors are less than 2, demonstrating good independence among factors. Each factor can independently contribute to geological hazard risk assessment, thereby providing a reliable data foundation for the weighted information model constructed in this study. See Table 3 for details.
Table 3.
Variance Inflation Factor (VIF) Test Results for Evaluation Factors.
4.1.1. Determination of Evaluation Factor Weights
The Analytic Hierarchy Process (AHP) demonstrates significant advantages in addressing low data dependency decision-making problems. The judgment matrix constructed in this study achieved comprehensive and systematic development based on field investigations of the study area, analysis of the spatial distribution relationships between existing disaster sites and various factors, and expert consultation in the field of geological hazards, ensuring the scientific validity of weight allocation. We first established a hierarchical model with geological hazard risk as the target layer and nine selected evaluation factors as the criteria layer. Subsequently, the judgment matrix was constructed using the 1–9 scale method proposed by Saaty, as shown in Table 4, enabling a quantitative assessment of the relative importance of each factor.
Table 4.
Impact Factor Judgment Matrix.
Subsequently, by calculating the maximum eigenvalue of the judgment matrix and its corresponding eigenvector, followed by normalization, the weight distribution for each factor was obtained. The final weights assigned to each evaluation factor in this study are W = [0.03, 0.05, 0.03, 0.11, 0.09, 0.17, 0.15, 0.07, 0.30]. To verify the rationality of the weight allocation, a consistency test was conducted. The calculated consistency ratio (CR) was 0.022, which is below the threshold of 0.1. This indicates that the judgment matrix exhibits satisfactory consistency, and the weight results are reliable.
4.1.2. Calculation of Evaluation Factor Information Values
The formation of geological hazards results from the combined effects of multiple factors. The information model reflects the probability of hazard occurrence under varying conditions for different causative factors. This probability is indicated by the strength of the information value: a higher information value signifies a greater likelihood of geological hazards occurring under that condition. The calculation formula is as follows:
In the formula, I represents the total information content corresponding to the occurrence of geological hazards in a specific unit, indicating the likelihood of geological hazard occurrence; Nj denotes the number of units where geological hazards are distributed under state (or interval) Aj of factor A; N is the total number of units in the study area known to have geological hazard distribution; Sj indicates the number of units distributed under state (or interval) Aj of factor A; S is the total number of units in the study area.
4.1.3. Weighted Information Content Model Integration
After obtaining the weights Wi for each evaluation factor and the information content values Ii for each factor category, the weighted information content model is used to calculate the comprehensive information content value S for each evaluation unit. The formula is:
where S is the comprehensive information value of the evaluation unit; n is the total number of evaluation factors (9 in this study); Wi is the weight of the i-th factor; Ii is the information value of the i-th factor under the conditions of this evaluation unit. A higher S value indicates a greater risk of geological hazards occurring in that unit.
4.1.4. ROC Curve
ROC curve analysis is a widely adopted accuracy assessment method in geological hazard risk evaluation. This method quantifies model predictive capability by calculating the area under the curve (AUC) [31,32]. The closer the AUC value approaches 1, the more accurate the model. An AUC value exceeding 0.7 indicates relatively high prediction accuracy. Therefore, this study employs AUC as the evaluation metric for the hazard model.
4.2. Evaluation Results and Analysis
4.2.1. Information Content Analysis of Evaluation Factors
According to the information content model formula, the information content values for each evaluation factor across different grading intervals were calculated, with the results shown in Table 5.
Table 5.
Statistical Analysis of Information Content for Geological Hazard Risk Assessment Factors.
4.2.2. Geological Hazard Risk Zoning
We reclassified the evaluation factors to obtain graded maps for each factor, as shown in Figure 13. Based on the information values of each evaluation factor, the overlay analysis function was used to combine the factors. Subsequently, the natural breakpoint method was applied to classify the geological hazard risk in the study area into four levels: low risk, moderate risk, high risk, and extremely high risk. This process ultimately produced the geological hazard risk zoning map for Tangfang Town [26] as shown in Figure 14.

Figure 13.
Classification Maps for Evaluation Factors: (a) Elevation; (b) Slope; (c) Aspect; (d) Distance to Water; (e) Distance to Road; (f) Distance to Mining Face; (g) Distance to Fault; (h) Type of Land Use; (i) Magnitude of Deformation.
Figure 14.
Geological Hazard Risk Zoning Map of Tangfang Town.
The geological hazard risk assessment reveals that extremely high-risk and high-risk zones are primarily distributed along fault zones, near water systems, in areas with dense road networks, and around mining faces in mining districts. Deformation data indicate that these zones largely correspond to the moderate to high deformation areas monitored by SBAS-InSAR, with annual deformation rates exceeding 30 mm/year and cumulative deformation often surpassing 100 mm. From a lithological perspective, these high-risk zones are predominantly concentrated in coal mines and their surrounding areas where the Upper Permian Longtan Formation and Changxing Formation are exposed. The Longtan Formation consists mainly of terrestrial clastic rocks, ranging from fine sandstone and siltstone to mudstone interbeds, which are intercalated with coal seams. The mudstones within this formation are prone to plastic deformation when saturated with water. Additionally, the goaf created by coal mining disrupts the original stress equilibrium of the strata, further increasing the risk of geological hazards. The Changxing Formation exhibits an interbedded sequence composed of both marine and terrestrial transitional mudstone and limestone, siltstone, and fine sandstone. Its multi-layered structure renders bedding planes highly susceptible to shear failure under stress. When combined with the soft rock interbedding structure, the combined effect creates dual conditions that significantly promote disaster occurrence. The Lower Triassic Feixianguan Formation consists primarily of siltstone and fine sandstone, interbedded with mudstone and limestone layers. Due to the overall hardness of the lithology in this area and minimal disturbance from coal mining, its resistance to weathering is relatively strong. Consequently, such areas are predominantly classified as moderate-to-low risk zones.
4.2.3. ROC Curve Validation
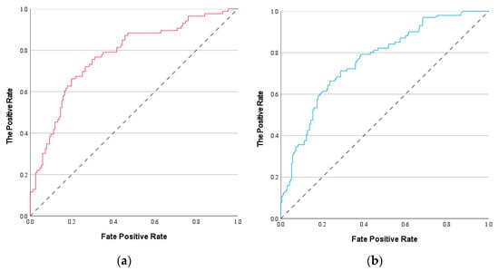
The ROC curve for the hazard assessment results is shown in Figure 15a. The ROC curve indicates that the AUC value of this assessment is 0.776, with p < 0.001, demonstrating high predictive accuracy and reliable assessment results. To enhance the model’s usefulness for disaster prevention, this study evaluated its performance across different classification thresholds to support operational decisions. When the susceptibility threshold was set to 0.427, the model achieved a sensitivity of 0.802, ensuring effective identification of most known hazard sites. Simultaneously, to avoid circular reasoning, we removed the deformation variable and redistributed weights among the remaining eight influencing factors. The resulting ROC curve for the hazard assessment is shown in Figure 15b. At this point, the AUC value was 0.765, maintaining good overall discrimination capability. This indicates that static geological environmental factors can effectively characterize the inherent predisposition conditions for geological hazards in mining areas, and the fundamental validity of the model remains unaffected. However, sensitivity significantly decreased from 0.802 to 0.624. This discrepancy demonstrates that static factors are responsible for large scale risk zoning, while deformation variables enable precise identification of dynamic high-risk hazard points. Together, they form a complementary relationship of foundational plus optimization. Although deformation variables are not essential for model establishment, they provide critical support for early hazard identification and reducing misclassification in mining areas, significantly enhancing the model’s engineering utility.
Figure 15.
ROC Curve: (a) ROC = 0.776; (b) ROC = 0.765.
5. Discussion
Existing research primarily focuses on retrospective or static assessments after disasters, which struggle to meet the dynamic prevention and control needs of mining areas. This paper innovatively incorporates deformation magnitude derived from SBAS-InSAR inversion as a dynamic factor. By integrating this with eight static geological environment factors, it constructs a weighted information assessment model that significantly enhances the accuracy and timeliness of risk assessment in mining areas [29].
To address the challenges of strong spatiotemporal heterogeneity in atmospheric delay and subjective parameter selection in mountainous regions, this study proposes a combined approach of GACOS correction and multi-parameter sensitivity analysis. GACOS atmospheric correction mitigates atmospheric errors to a significant extent. Sensitivity analysis of core parameters identifies optimal parameter combinations, achieving a deviation in the rate of the main subsidence center of <5 mm/a. This method resolves the issue of unstable monitoring accuracy in complex topography regions for InSAR, establishing a reusable technical standard for deformation monitoring in mountainous mining areas.
Model results confirm that high-risk zones are concentrated within the geologically weak Longtan and Changxing formations. This demonstrates the coupled effect of mining activity and unfavorable lithology. In areas where the hard, intact Feixianguan Formation is exposed, deformation and hazard risks remain significantly lower despite mining presence. Thus, lithology provides the material foundation for hazard occurrence, while mining serves as the key disturbance disrupting this equilibrium. In contrast, in control areas with similar natural conditions such as lithology and slope but no mining activity, surface deformation rates consistently remained at extremely low levels. This strong spatial correspondence cannot be explained by other regional factors such as groundwater changes or tectonics. Therefore, although other influencing factors exist, their intensity and spatial focusing effects are far from sufficient to challenge the dominant role of mining activities.
However, this study still has certain limitations. First, we currently have only SAR data from a single pass on an ascending track for the study area. Data from such a single track configuration cannot separate vertical and horizontal deformation components; the horizontal displacement projection may affect the accuracy of local risk assessment. This model may fail to fully capture disaster risks dominated by vertical movements primarily triggered by subsidence in mined-out areas, or overlook landslide risks dominated by horizontal creep. Consequently, the correlation between risk zoning and actual geomechanical processes at the local scale may be weakened, affecting the model’s reliability at the micro scale. Furthermore, as a frequency-based statistical model, the information content model struggles to explicitly describe interactions between factors and the underlying mechanical processes driving disaster occurrence. For instance, it cannot characterize the failure mechanisms determined by the combined parameters of the slope and the rock mass, nor can it describe the critical threshold where fractures triggered by mining, together with rainfall infiltration, jointly trigger landslides.
Overall, the Wumengshan region is characterized by widespread Permian and Triassic coal-bearing strata, presenting common challenges such as complex topography, uneven vegetation distribution, and ongoing mining activities. The established “SBAS-InSAR deformation monitoring coupled with multiple factors risk assessment” technical framework directly supports mining operations, providing decision-making support for implementing “mining while controlling” in mining areas. This technical framework also exhibits high transferability across regions and can be tailored to the geological conditions of target mining areas. For arid and semi-arid mining areas, the time baseline can be relaxed, the weighting for distance to water systems reduced, and factors such as loess collapse susceptibility added. For plain mining areas with thick loose layers, DEM correction can be simplified, the slope aspect factor excluded, and indicators for loose layer thickness and groundwater depth incorporated. For high altitude cold regions, The GACOS correction process requires optimization through several key steps: utilizing high altitude meteorological data, refining temporal reference constraints, and incorporating factors governing frost weathering cycles. In regions characterized by intense tectonic activity, it is essential to employ orbital data to distinguish individual deformation components, enhance the influence of parameters linked to fault systems, and integrate metrics that reflect tectonic activity rates. By adaptively adjusting these regional parameters, the framework can effectively align with the distinct environmental conditions and disaster mechanisms that make different mining areas susceptible to hazards.
6. Conclusions
This study uses the mining area in Tangfang Town, Zhenxiong County, Yunnan Province, as a typical case to explore an effective approach for directly applying time-series surface deformation monitoring to the precise prevention and control of geological hazard risks.
- (1)
- A framework for evaluating geological hazard risks in mining areas by coupling dynamic deformation with static environmental factors is proposed. The core methodological contribution of this study lies in successfully integrating surface deformation data characterized by high precision and a continuous time series, acquired via SBAS-InSAR technology, as a key dynamic evaluation factor into a traditional assessment system based on information content models and the Analytic Hierarchy Process (AHP).
- (2)
- Empirical evidence demonstrates a quantifiable spatial synergy between ground deformation and geological hazard risk. This finding provides a scientific basis for using deformation data to indicate potential hazards. The study not only reveals spatiotemporal patterns of deformation in the study area but, more importantly, through overlay analysis of hazard zoning and deformation fields, identifies high and extremely high hazard zones with significant spatial overlap in areas of moderate to high deformation.
- (3)
- This study offers directly usable technical support and decision tools by enabling a proactive approach that integrates resource extraction with risk control in mining areas. The output is not merely a static risk zoning map, but a set of operational technical procedures. These procedures can clearly identify the specific areas most severely impacted by mining disturbances and posing the highest risks within a given timeframe. This enables mining enterprises and regulatory authorities to implement precise prevention and control measures.
Despite the progress achieved in this study, limitations remain in data dimensions, factor characterization, and model mechanisms, which also represent key directions for future research. Future work will focus on integrating ascending and descending track SAR data to separate deformation in three dimensions, thereby enhancing the geometric integrity of deformation data sources. This will be achieved by combining models with three dimensions of areas affected by post mining activities with mechanical parameters, to develop dynamic influence factors that better reflect the essence of mining disturbance. To overcome the current limitations of statistical models, future research holds significant potential in integrating machine learning with spatiotemporal dynamic factors to construct a forward-looking risk early warning system. Specific implementation strategies could center on building a data body that integrates time-series deformation, mining activities, rainfall sequences, and static geological factors. Algorithms such as memory networks capable of handling both more extended and brief temporal dependencies could then be employed to explicitly capture interactions among evaluation factors, thereby enhancing the precision and interpretability of risk assessment models.
Author Contributions
Conceptualization, Y.Z., Z.K., C.Z. and B.C.; methodology, Y.Z., Z.K., C.Z. and B.C.; software, Y.Z.; validation, Y.Z.; investigation, Y.Z. and C.Z.; resources, Y.Z. and Z.K.; data curation, Y.Z.; writing—original draft preparation, Y.Z.; writing—review and editing, Y.Z., Z.K. and C.Z.; visualization, Y.Z.; supervision, C.Z., Z.K., B.C.; A.Y. and K.X.; project administration, Z.K., C.Z. and B.C.; funding acquisition, C.Z. All authors have read and agreed to the published version of the manuscript.
Funding
This research was funded by the Yunnan Provincial Key Research and Development Programme (202403AA080001).
Institutional Review Board Statement
Not applicable.
Informed Consent Statement
Not applicable.
Data Availability Statement
The experimental data in this paper are available upon request from the author.
Conflicts of Interest
The authors declare no conflicts of interest.
References
- Das, R.; Wegmann, K.W. Evaluation of machine learning-based algorithms for landslide detection across satellite sensors for the 2019 Cyclone Idai event, Chimanimani District, Zimbabwe. Landslides 2022, 19, 2965–2981. [Google Scholar] [CrossRef]
- Wang, X.; Zhang, C.; Wang, C.; Liu, G.; Wang, H. GIS-based for prediction and prevention of environmental geological disaster susceptibility: From a perspective of sustainable development. Ecotoxicol. Environ. Saf. 2021, 226, 112881. [Google Scholar] [CrossRef]
- Liu, H.; Deng, K.; Zhu, X.; Jiang, C. Effects of mining speed on the developmental features of mining-induced ground fissures. Bull. Eng. Geol. Environ. 2019, 78, 6297–6309. [Google Scholar] [CrossRef]
- Ma, S.; Qiu, H.; Yang, D.; Wang, J.; Zhu, Y.; Tang, B.; Sun, K.; Cao, M. Surface multi-hazard effect of underground coal mining. Landslides 2022, 20, 39–52. [Google Scholar] [CrossRef]
- Yin, Y.; Liu, C.; Chen, H.; Ren, J.; Zhu, C. Investigation on catastrophic landslide of January 11 2013 at Zhaojiagou, Zhenxiong County, Yunnan province. Landslides 2013, 21, 6–15. [Google Scholar]
- Zhu, S.; Yin, Y.; Gao, F.; Yang, C.; Zhang, L.; Yang, L.; Tan, W.; Wang, M.; Zhang, Y. Coal-mining induced rockmass landslide with layered fractured structure in Yangjiazhai, Wumeng Mountain area, China. Landslides 2025, 22, 3475–3491. [Google Scholar] [CrossRef]
- Corominas, J.; van Westen, C.; Frattini, P.; Cascini, L.; Malet, J.P.; Fotopoulou, S.; Catani, F.; Van Den Eeckhaut, M.; Mavrouli, O.; Agliardi, F.; et al. Recommendations for the quantitative analysis of landslide risk. Bull. Eng. Geol. Environ. 2013, 73, 209–263. [Google Scholar] [CrossRef]
- Qin, Y.; Cao, L.; Li, S.; Ye, F.; Boloorani, A.D.; Liang, Z.; Huang, J.; Liu, G. Multisource geoscience data-driven framework for subsidence risk assessment in urban area. Int. J. Disaster Risk Reduct. 2024, 113, 104901. [Google Scholar] [CrossRef]
- Dietrich, W.E.; Reiss, R.; Hsu, M.L.; Montgomery, D.R. A process-based model for colluvial soil depth and shallow landsliding using digital elevation data. Hydrol. Process. 2006, 9, 383–400. [Google Scholar] [CrossRef]
- Berardino, P.; Fornaro, G.; Lanari, R.; Sansosti, E. A new algorithm for surface deformation monitoring based on small baseline differential SAR interferograms. IEEE Trans. Geosci. Remote Sens. 2002, 40, 2375–2383. [Google Scholar] [CrossRef]
- Hu, B.; Wang, H.-S.; Sun, Y.-L.; Hou, J.-G.; Liang, J. Long-Term Land Subsidence Monitoring of Beijing (China) Using the Small Baseline Subset (SBAS) Technique. Remote Sens. 2014, 6, 3648–3661. [Google Scholar] [CrossRef]
- Zhang, X.; Zhang, C.; Li, Z.; Li, Y.; Cao, Y.; Zhao, Y.; Zhou, J.; He, K.; Wang, X. Asymmetric Deformation Induced by Underground Mining: A Case Study of a Mine in Shaanxi, China. IEEE J. Sel. Top. Appl. Earth Obs. Remote Sens. 2025, 18, 17368–17385. [Google Scholar] [CrossRef]
- Zheng, Y.; Zhao, Z.; Zeng, M.; Zhou, D.; Su, X.; Liu, D. Monitoring and Analysis of Surface Deformation in the Buzhaoba Open-Pit Mine Based on SBAS-InSAR Technology. Remote Sens. 2024, 16, 4177. [Google Scholar] [CrossRef]
- Zheng, M.; Deng, K.; Fan, H.; Du, S. Monitoring and Analysis of Surface Deformation in Mining Area Based on InSAR and GRACE. Remote Sens. 2018, 10, 1392. [Google Scholar] [CrossRef]
- Ma, C.; Cheng, X.; Yang, Y.; Zhang, X.; Guo, Z.; Zou, Y. Investigation on Mining Subsidence Based on Multi-Temporal InSAR and Time-Series Analysis of the Small Baseline Subset—Case Study of Working Faces 22201-1/2 in Bu’ertai Mine, Shendong Coalfield, China. Remote Sens. 2016, 8, 951. [Google Scholar] [CrossRef]
- Zhao, P.; Wang, Y.; Xie, Y.; Uddin, M.G.; Xu, Z.; Chang, X.; Zhang, Y. Landslide susceptibility assessment using information quantity and machine learning integrated models: A case study of Sichuan province, southwestern China. Earth Sci. Inform. 2025, 18, 190. [Google Scholar] [CrossRef]
- Tian, H.-H.; Xiao, T.; Shu, B.; Peng, Z.-W.; Meng, D.-B.; Deng, M. Temporal and spatial pattern analysis and susceptibility assessment of geological hazards in Hunan Province of China from 2015 to 2022. Stoch. Environ. Res. Risk Assess. 2023, 38, 1453–1474. [Google Scholar] [CrossRef]
- Fathi Salmi, E.; Nazem, M.; Karakus, M. Numerical analysis of a large landslide induced by coal mining subsidence. Eng. Geol. 2017, 217, 141–152. [Google Scholar] [CrossRef]
- Cui, F.; Li, B.; Xiong, C.; Yang, Z.; Peng, J.; Li, J.; Li, H. Dynamic triggering mechanism of the Pusa mining-induced landslide in Nayong County, Guizhou Province, China. Geomat. Nat. Hazards Risk 2021, 13, 123–147. [Google Scholar] [CrossRef]
- Wen, T.; Chen, N.; Huang, D.; Wang, Y. A medium-sized landslide leads to a large disaster in Zhenxiong, Yunnan, China: Characteristics, mechanism and motion process. Landslides 2025, 22, 3365–3383. [Google Scholar] [CrossRef]
- Lanari, R.; Mora, O.; Manunta, M.; Mallorquí, J.J.; Berardino, P.; Sansosti, E. A small-baseline approach for investigating deformations on full-resolution differential SAR interferograms. IEEE Trans. Geosci. Remote Sens. 2004, 42, 1377–1386. [Google Scholar] [CrossRef]
- Yin, Z.; Xu, Y.; Jiang, X. The key triggering factor and its mitigation implication of Zhaojiago catastrophic landslide in Zhenxiong County, Yunnan province. Chin. J. Geol. Hazard Control 2015, 26, 36–42. [Google Scholar]
- Du, W.; Chen, L.; He, Y.; Wang, Q.; Gao, P.; Li, Q. Spatial and Temporal Distribution of Groundwater in Open-Pit Coal Mining: A Case Study from Baorixile Coal Mine, Hailaer Basin, China. Geofluids 2022, 2022, 8753217. [Google Scholar] [CrossRef]
- Yao, J.; Yao, X.; Liu, X. Landslide Detection and Mapping Based on SBAS-InSAR and PS-InSAR: A Case Study in Gongjue County, Tibet, China. Remote Sens. 2022, 14, 4728. [Google Scholar] [CrossRef]
- Ciuffi, P.; Bayer, B.; Berti, M.; Franceschini, S.; Simoni, A. InSAR stacking to detect active landslides and investigate their relation to rainfalls in the Northern Apennines of Italy. Geomorphology 2024, 457, 109242. [Google Scholar] [CrossRef]
- Zhang, Z.; Li, Y.; Gao, S. Surface Deformation Monitoring and Spatiotemporal Evolution Analysis of Open-Pit Mines Using Small-Baseline Subset and Distributed-Scatterer InSAR to Support Sustainable Mine Operations. Sustainability 2025, 17, 8834. [Google Scholar] [CrossRef]
- Kim, J.-W.; Lu, Z.; Kaufmann, J. Evolution of sinkholes over Wink, Texas, observed by high-resolution optical and SAR imagery. Remote Sens. Environ. 2019, 222, 119–132. [Google Scholar] [CrossRef]
- Shan, Y.; Xu, Z.; Zhou, S.; Lu, H.; Yu, W.; Li, Z.; Cao, X.; Li, P.; Li, W. Landslide Hazard Assessment Combined with InSAR Deformation: A Case Study in the Zagunao River Basin, Sichuan Province, Southwestern China. Remote Sens. 2023, 16, 99. [Google Scholar] [CrossRef]
- Sun, D.; Deng, W.; Yang, T.; Li, J.; Zhao, Y. A Case Study Integrating Numerical Simulation and InSAR Monitoring to Analyze Bedding-Controlled Landslide in Nanfen Open-Pit Mine. Sustainability 2023, 15, 11158. [Google Scholar] [CrossRef]
- Li, L.; Lan, H.; Guo, C.; Zhang, Y.; Li, Q.; Wu, Y. A modified frequency ratio method for landslide susceptibility assessment. Landslides 2016, 14, 727–741. [Google Scholar] [CrossRef]
- Xi, X.; Shi, X.; Wang, T.; Wang, X.; Huang, K. Vulnerability Assessment and Differentiated Regulation of Rural Settlement Systems in the Alpine Canyon Area of Western Sichuan Under Geological Hazard Coercion: Taking Maoxian County of Sichuan as an Example. Sustainability 2025, 17, 8629. [Google Scholar] [CrossRef]
- Calvello, M.; Peduto, D.; Arena, L. Combined use of statistical and DInSAR data analyses to define the state of activity of slow-moving landslides. Landslides 2016, 14, 473–489. [Google Scholar] [CrossRef]
Disclaimer/Publisher’s Note: The statements, opinions and data contained in all publications are solely those of the individual author(s) and contributor(s) and not of MDPI and/or the editor(s). MDPI and/or the editor(s) disclaim responsibility for any injury to people or property resulting from any ideas, methods, instructions or products referred to in the content. |
© 2025 by the authors. Licensee MDPI, Basel, Switzerland. This article is an open access article distributed under the terms and conditions of the Creative Commons Attribution (CC BY) license (https://creativecommons.org/licenses/by/4.0/).