A Robust Linear Active Disturbance Rejection Control for Renewable Energy Grid-Connected System Based on APF
Abstract
1. Introduction
2. Improved Active Disturbance Rejection Control Algorithm
- Generating a sufficient grid compensation current to ensure stable sinusoidal waveform transmission even under external disturbances, minimizing steady-state oscillations, and ensuring fast convergence;
- Effectively stabilizing the DC-side voltage to minimize steady-state oscillations and enable rapid recovery after system disturbances. Further details of the proposed control concept are described below.
2.1. First-Order LADRC Structure
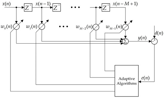
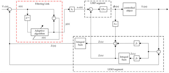
2.2. LADRC Combined with Adaptive Linear Predictor
2.3. Variable-Step-Size Adaptive Linear Predictor
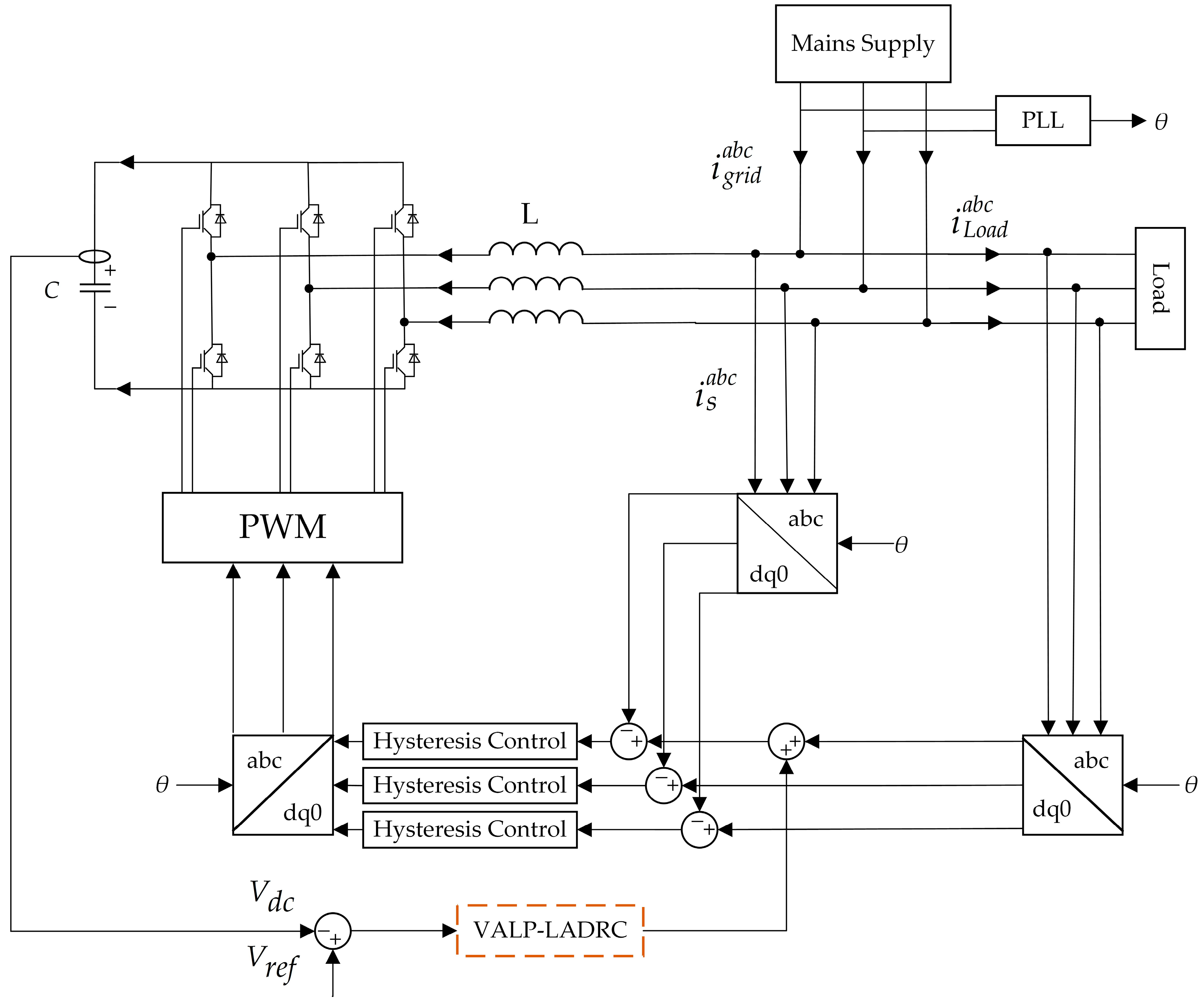
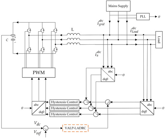
3. Simulation Verification
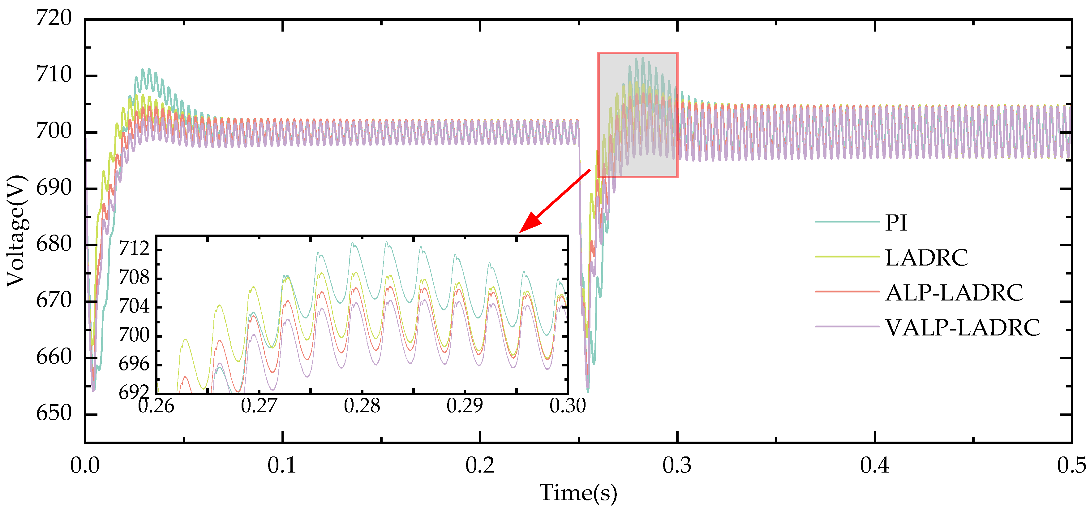
3.1. Simulation of Working Characteristics Under Normal Conditions
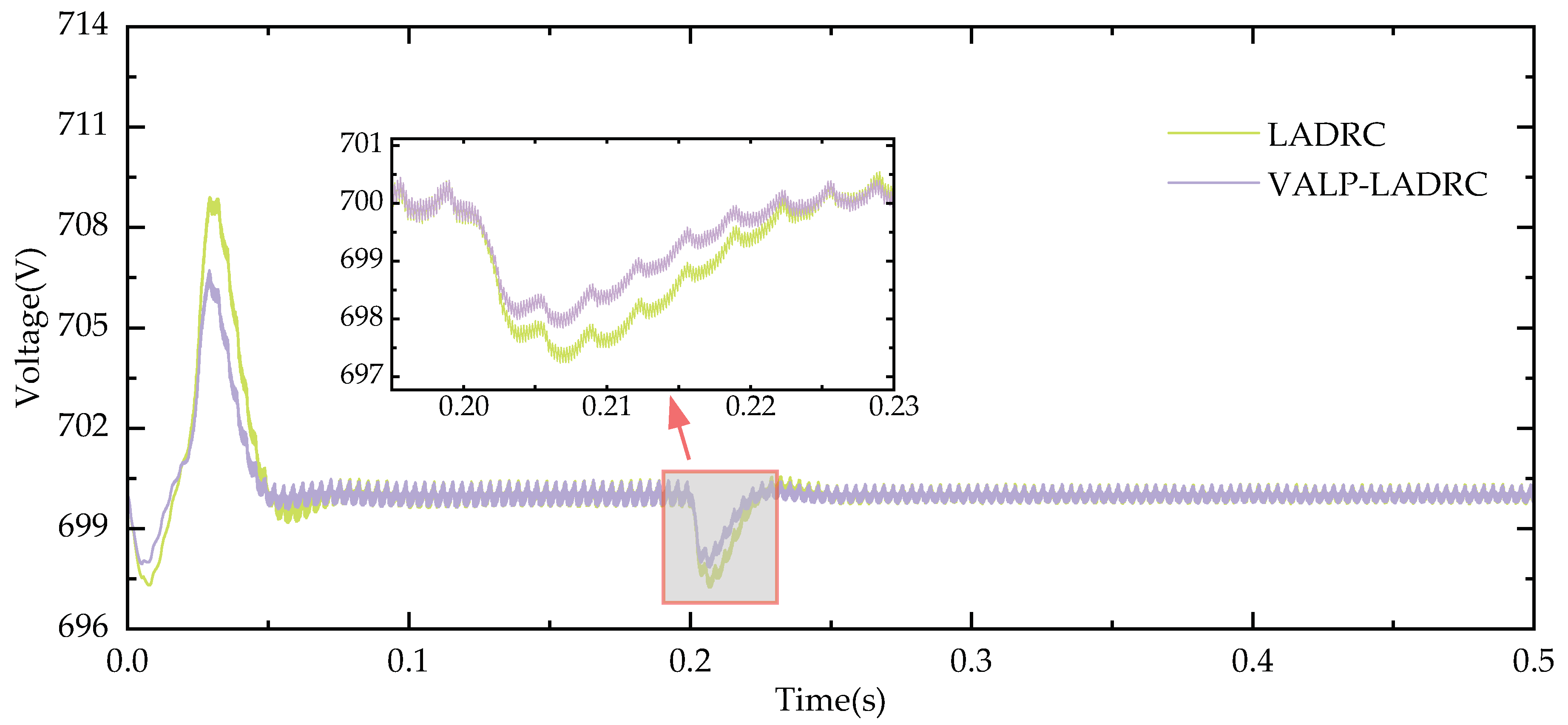
3.2. Simulation of Working Characteristics Under Load Sudden Change
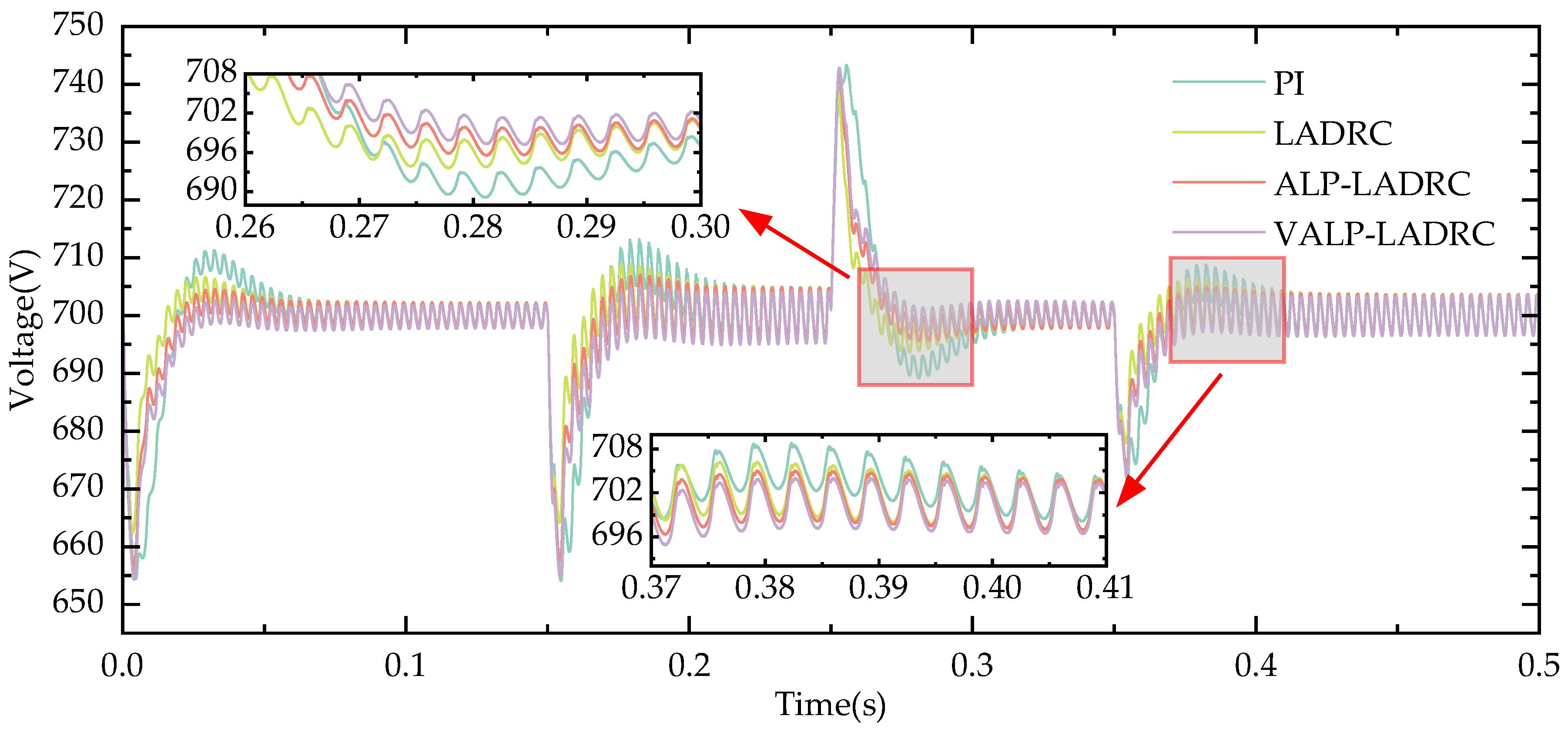
3.3. Simulation of Working Characteristics Continuous Load Step Changes
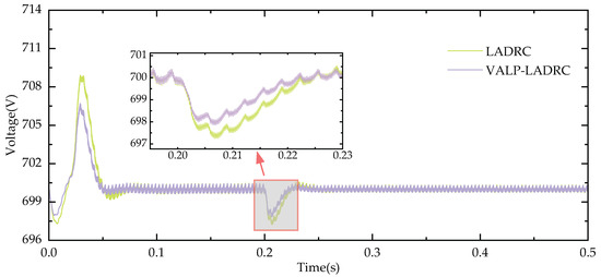
4. Photovoltaic Grid-Connected System Simulation
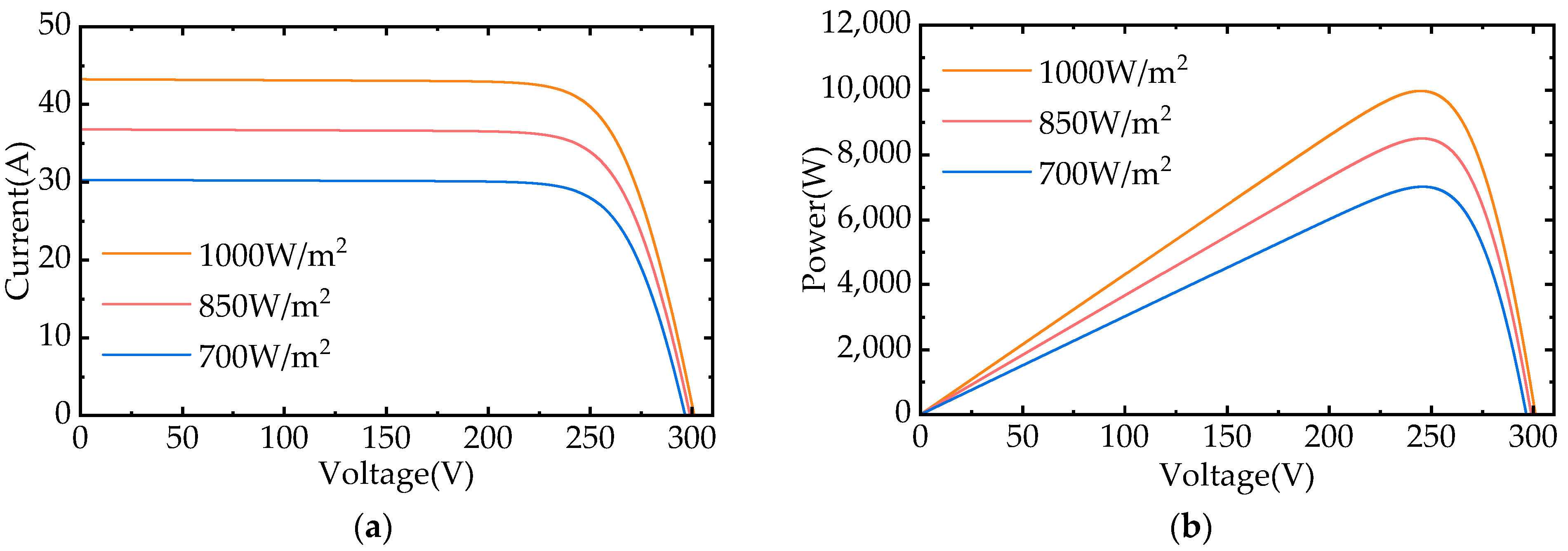
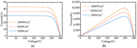
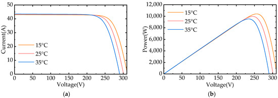
4.1. Principles of Photovoltaic Cells and Maximum Power Point Tracking
4.2. Simulation Verification Under Photovoltaic Grid-Connected Condition
5. Conclusions
Author Contributions
Funding
Institutional Review Board Statement
Data Availability Statement
Acknowledgments
Conflicts of Interest
Abbreviations
| APF | Active power filter |
| LADRC | Linear active disturbance rejection control |
| ALP-LADRC | Adaptive linear predictor with linear active disturbance rejection control |
| VALP-LADRC | Variable-step-size adaptive linear predictor with linear active disturbance rejection control |
| PV | Photovoltaic |
| PI | Proportional integral |
| ESO | Extended state observer |
| LESO | Linear extended state observer |
| PMSM | Permanent magnet synchronous motors |
| ACO | Ant colony optimization |
| PSO | Particle swarm optimization |
| LSEF | Linear state error feedback |
| LMS | Least mean squares |
| RLS | Recursive least squares |
| APA | Affine projection algorithm |
| MSE | Mean squared error |
| THD | Total harmonic distortion |
| ALP | Adaptive linear predictor |
| MPPT | Maximum power point tracking |
References
- Li, Z.; Cheng, W.; Xiao, Q.; Liao, W. Deadbeat predictive power control with fuzzy PI compound controller and power predictive corrector for PWM rectifier under unbalanced grid conditions. Int. J. Fuzzy Syst. 2020, 22, 1277–1288. [Google Scholar] [CrossRef]
- Echalih, S.; Abouloifa, A.; Lachkar, I.; El Aroudi, A.; Hekss, Z.; Giri, F.; Al-Numay, M.S. A cascaded controller for a grid-tied photovoltaic system with three-phase half-bridge interleaved buck shunt active power filter: Hybrid control strategy and fuzzy logic approach. IEEE J. Emerg. Sel. Top. Circuits Syst. 2022, 12, 320–330. [Google Scholar] [CrossRef]
- Zhou, M.; Zhou, M.; Song, Z. Research on Application of the PI Controller in APF Based on Fuzzy Control. In Proceedings of the 2020 IEEE International Conference on Information Technology, Big Data and Artificial Intelligence (ICIBA), Chongqing, China, 6–8 November 2020; Volume 1, pp. 531–534. [Google Scholar]
- Fei, W.; Hua, M. Fractional Sliding Mode Harmonic Control of an Active Power Filter. Appl. Sci. 2023, 13, 3815. [Google Scholar] [CrossRef]
- Santiprapan, P.; Areerak, K.; Areerak, K. An adaptive gain of proportional-resonant controller for an active power filter. IEEE Trans. Power Electron. 2023, 39, 1433–1446. [Google Scholar] [CrossRef]
- Xiao, C.; Ren, Y.; Cao, Q.; Wang, L.; Yin, J. A Modified Control Strategy for Three-Phase Four-Switch Active Power Filters Based on Fundamental Positive Sequence Extraction. Processes 2024, 12, 2586. [Google Scholar] [CrossRef]
- Li, Z.; Ren, M.; Chen, Z.; Liu, G.; Feng, D. A bi-sliding mode PI control of DC-link voltage of three-phase three-wire shunt active power filter. IEEE J. Emerg. Sel. Top. Power Electron. 2022, 10, 7581–7588. [Google Scholar] [CrossRef]
- Pan, Q.; Zhou, Y.; Fei, J. Feature Selection Fuzzy Neural Network Super-Twisting Harmonic Control. Mathematics 2023, 11, 1495. [Google Scholar] [CrossRef]
- Yang, J.; Li, X.; Fei, J. Intelligent global fast terminal sliding mode control of active power filter. Mathematics 2023, 11, 919. [Google Scholar] [CrossRef]
- Zhou, R.; Fu, C.; Tan, W. Implementation of linear controllers via active disturbance rejection control structure. IEEE Trans. Ind. Electron. 2020, 68, 6217–6226. [Google Scholar] [CrossRef]
- Sira-Ramírez, H.; Linares-Flores, J.; García-Rodríguez, C.; Contreras-Ordaz, M.A. On the control of the permanent magnet synchronous motor: An active disturbance rejection control approach. IEEE Trans. Control Syst. Technol. 2014, 22, 2056–2063. [Google Scholar] [CrossRef]
- Castañeda, L.A.; Luviano-Juárez, A.; Chairez, I. Robust trajectory tracking of a delta robot through adaptive active disturbance rejection control. IEEE Trans. Control Syst. Technol. 2014, 23, 1387–1398. [Google Scholar] [CrossRef]
- Geng, Z. Superconducting cavity control and model identification based on active disturbance rejection control. IEEE Trans. Nucl. Sci. 2017, 64, 951–958. [Google Scholar] [CrossRef]
- Pu, Z.; Yuan, R.; Yi, J.; Tan, X. A class of adaptive extended state observers for nonlinear disturbed systems. IEEE Trans. Ind. Electron. 2015, 62, 5858–5869. [Google Scholar] [CrossRef]
- Zhou, R.; Tan, W. Analysis and tuning of general linear active disturbance rejection controllers. IEEE Trans. Ind. Electron. 2018, 66, 5497–5507. [Google Scholar] [CrossRef]
- Zhou, X.; Zhong, W.; Ma, Y.; Guo, K.; Yin, J.; Wei, C. Control strategy research of D-STATCOM using active disturbance rejection control based on total disturbance error compensation. IEEE Access 2021, 9, 50138–50150. [Google Scholar] [CrossRef]
- Zhang, W.; Zhu, H.; Xu, Y.; Wu, M. Direct control of bearingless permanent magnet slice motor based on active disturbance rejection control. IEEE Trans. Appl. Superconduct. 2020, 30, 5202205. [Google Scholar] [CrossRef]
- Song, J.; Wang, Y.K.; Niu, Y.; Lam, H.K.; He, S.; Liu, H. Periodic event-triggered terminal sliding mode speed control for networked PMSM system: A GA-optimized extended state observer approach. IEEE/ASME Trans. Mechatron. 2022, 27, 4153–4164. [Google Scholar] [CrossRef]
- Li, Y.; Liu, Y.; Tong, S. Observer-based neuro-adaptive optimized control of strict-feedback nonlinear systems with state constraints. IEEE Trans. Neural Netw. Learn. Syst. 2021, 33, 3131–3145. [Google Scholar] [CrossRef] [PubMed]
- Yin, Z.; Du, C.; Liu, J.; Sun, X.; Zhong, Y. Research on autodisturbance-rejection control of induction motors based on an ant colony optimization algorithm. IEEE Trans. Ind. Electron. 2017, 65, 3077–3094. [Google Scholar] [CrossRef]
- Du, C.; Yin, Z.; Zhang, Y.; Liu, J.; Sun, X.; Zhong, Y. Research on active disturbance rejection control with parameter autotune mechanism for induction motors based on adaptive particle swarm optimization algorithm with dynamic inertia weight. IEEE Trans. Power Electron. 2018, 34, 2841–2855. [Google Scholar] [CrossRef]
- Pereira, R.R.; Da Silva, C.H.; Da Silva, L.E.B.; Lambert-Torres, G.; Pinto, J.O. New strategies for application of adaptive filters in active power filters. IEEE Trans. Ind. Appl. 2011, 47, 1136–1141. [Google Scholar] [CrossRef]
- Lu, Q.; Qin, H.; He, F.; Zhang, Y.; Wang, Q.; Meng, J. Wideband Interference Cancellation System Based on a Fast and Robust LMS Algorithm. Sensors 2023, 23, 7871. [Google Scholar] [CrossRef] [PubMed]
- Lai, B.; Bernstein, D.S. Generalized forgetting recursive least squares: Stability and robustness guarantees. IEEE Trans. Autom. Control 2024, 69, 7646–7661. [Google Scholar] [CrossRef]
- Lv, S.; Zhao, H.; Xu, W. Robust Widely-Linear Affine Projection M-estimate Adaptive Algorithm: Performance Analysis and Application. IEEE Trans. Signal Process. 2023, 71, 3623–3636. [Google Scholar] [CrossRef]
- Huang, B.; Song, K.; Jiang, S.; Zhao, Z.; Zhang, Z.; Li, C.; Sun, J. A Robust Salp Swarm Algorithm for Photovoltaic Maximum Power Point Tracking Under Partial Shading Conditions. Mathematics 2024, 12, 3971. [Google Scholar] [CrossRef]
- Obi, M.; Bass, R. Trends and challenges of grid-connected photovoltaic systems—A review. Renew. Sustain. Energy Rev. 2016, 58, 1082–1094. [Google Scholar] [CrossRef]



























| Device Name | Value |
|---|---|
| Grid Voltage | 220 V |
| Grid Frequency | 50 Hz |
| Nonlinear Load | 30 Ω 3 mH |
| Sudden Nonlinear Load | 30 Ω 3 mH |
| DC-side Bus Voltage | 700 V |
| DC-side Capacitance | 494 µF |
| Switching Frequency | 20 kHz |
| Inverter Side Inductance | 3.91 mH |
| Control Algorithm | Time | Frequency | Switching Frequency | THD |
|---|---|---|---|---|
| PI | 0.3 s | 50 Hz | 20 kHz | 2.55% |
| LADRC | 0.3 s | 50 Hz | 20 kHz | 2.32% |
| ALP-LADRC | 0.3 s | 50 Hz | 20 kHz | 2.02% |
| VALP-LADRC | 0.3 s | 50 Hz | 20 kHz | 1.69% |
| Control Algorithm | Time | Frequency | Switching Frequency | THD |
|---|---|---|---|---|
| PI | 0.3 s | 50 Hz | 20 kHz | 2.47% |
| LADRC | 0.3 s | 50 Hz | 20 kHz | 2.28% |
| ALP-LADRC | 0.3 s | 50 Hz | 20 kHz | 1.94% |
| VALP-LADRC | 0.3 s | 50 Hz | 20 kHz | 1.86% |
| Control Algorithm | Time | Frequency | Switching Frequency | THD |
|---|---|---|---|---|
| PI | 0.2 s | 50 Hz | 20 kHz | 2.43% |
| 0.3 s | 2.57% | |||
| 0.4 s | 2.48% | |||
| LADRC | 0.2 s | 50 Hz | 20 kHz | 2.28% |
| 0.3 s | 2.29% | |||
| 0.4 s | 2.20% | |||
| ALP-LADRC | 0.2 s | 50 Hz | 20 kHz | 1.96% |
| 0.3 s | 2.07% | |||
| 0.4 s | 1.89% | |||
| VALP-LADRC | 0.2 s | 50 Hz | 20 kHz | 1.87% |
| 0.3 s | 1.96% | |||
| 0.4 s | 1.80% |
| Device Name | Value |
|---|---|
| Temperature T | 25 °C |
| Photosynthetic Active Radiation W | 1000 W/m2 |
| DC-side bus voltage | 700 V |
| Maximum Power Point Output Voltage Vm | 244.8 V |
| Maximum Power Point Output Current Im | 40.85 A |
| Open-circuit Voltage Voc | 300.96 V |
| Short-circuit Current Isc | 42.95 A |
| Nonlinear Load | 85 Ω 1 mH |
Disclaimer/Publisher’s Note: The statements, opinions and data contained in all publications are solely those of the individual author(s) and contributor(s) and not of MDPI and/or the editor(s). MDPI and/or the editor(s) disclaim responsibility for any injury to people or property resulting from any ideas, methods, instructions or products referred to in the content. |
© 2025 by the authors. Licensee MDPI, Basel, Switzerland. This article is an open access article distributed under the terms and conditions of the Creative Commons Attribution (CC BY) license (https://creativecommons.org/licenses/by/4.0/).
Share and Cite
Zhao, Z.; Song, K.; Huang, B.; Li, C.; Jiang, S.; Sun, J.; Li, H.; Lian, Z. A Robust Linear Active Disturbance Rejection Control for Renewable Energy Grid-Connected System Based on APF. Sustainability 2025, 17, 632. https://doi.org/10.3390/su17020632
Zhao Z, Song K, Huang B, Li C, Jiang S, Sun J, Li H, Lian Z. A Robust Linear Active Disturbance Rejection Control for Renewable Energy Grid-Connected System Based on APF. Sustainability. 2025; 17(2):632. https://doi.org/10.3390/su17020632
Chicago/Turabian StyleZhao, Zhenqing, Kai Song, Boyan Huang, Cong Li, Shulin Jiang, Jiangbo Sun, Hongxu Li, and Zihui Lian. 2025. "A Robust Linear Active Disturbance Rejection Control for Renewable Energy Grid-Connected System Based on APF" Sustainability 17, no. 2: 632. https://doi.org/10.3390/su17020632
APA StyleZhao, Z., Song, K., Huang, B., Li, C., Jiang, S., Sun, J., Li, H., & Lian, Z. (2025). A Robust Linear Active Disturbance Rejection Control for Renewable Energy Grid-Connected System Based on APF. Sustainability, 17(2), 632. https://doi.org/10.3390/su17020632

