Carbon Emission Heterogeneity in Developed Countries: Insights for China’s Neutrality Strategy
Abstract
1. Introduction
2. Model Construction and Data Sources
2.1. Environmental Kuznets Curve (EKC) Model
2.2. LMDI Decomposition Model
2.3. Research Object and Data Sources
3. Heterogeneity of Carbon Emissions in Developed Countries
3.1. Classification of Carbon Emission Patterns in Developed Countries
3.2. Testing the Differences among Four Carbon Emission Patterns
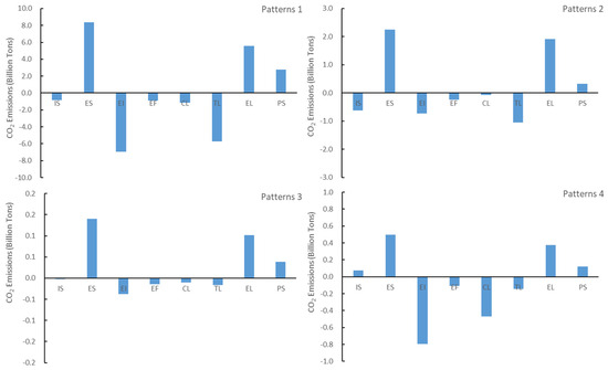
3.3. Driving Effects of Four Carbon Emission Patterns
4. Analysis of Carbon Emission Characteristics in China
4.1. Statistical Characteristics
4.2. Driving Effects
4.3. Provincial Disparities
5. Conclusion and Implications
5.1. Key Findings
5.2. Key Insights
Author Contributions
Funding
Institutional Review Board Statement
Informed Consent Statement
Data Availability Statement
Conflicts of Interest
References
- Farooq, S.; Ozturk, I.; Majeed, M.T.; Akram, R. Globalization and CO2 emissions in the presence of EKC: A global panel data analysis. Gondwana Res. 2022, 106, 367–378. [Google Scholar] [CrossRef]
- Pata, U.K.; Kartal, M.T.; Erdogan, S. Analyzing the EKC hypothesis for technologically advanced countries: The role of ICT and renewable energy technologies. J. Clean. Prod. 2023, 426, 139088. [Google Scholar] [CrossRef]
- Dogan, E.; Inglesi-Lotz, R. The impact of economic structure to the environmental Kuznets curve (EKC) hypothesis: Evidence from European countries. Environ. Sci. Pollut. Res. 2020, 27, 12717–12724. [Google Scholar] [CrossRef] [PubMed]
- Marsiglio, S.; Ansuategi, A.; Gallastegui, M.C. The environmental Kuznets curve and the structural change hypothesis. Environ. Resour. Econ. 2016, 63, 265–288. [Google Scholar] [CrossRef]
- Zhong, M.C.; Zhang, X.G. A Comprehensive Review of Critiques on the Environmental Kuznets Curve Theory and Research. Chin. J. Popul. Resour. Environ. 2010, 20, 62–67. [Google Scholar]
- Yang, L.; Gao, H.G. Can Economic Growth Automatically Solve Environmental Problems?—Is the Inverted U-shaped Environmental Kuznets Curve an Endogenous Mechanism or an Exogenous Control Result? Chin. J. Popul. Resour. Environ. 2012, 22, 160–165. [Google Scholar]
- Han, Y.J.; Lu, Y. Threshold Effect, Economic Growth, and Environmental Quality. Stat. Res. 2008, 9, 24–31. [Google Scholar]
- Pata, U.K.; Caglar, A.E. Investigating the EKC hypothesis with renewable energy consumption, human capital, globalization and trade openness for China: Evidence from augmented ARDL approach with a structural break. Energy 2021, 216, 119220. [Google Scholar] [CrossRef]
- Wu, Y.M.; Tian, B. Extension of Provincial Environmental Kuznets Curve and Its Determinants—Empirical Evidence from Spatial Econometric Models. Geogr. Res. 2012, 31, 627–640. [Google Scholar]
- Jun, W.; Mughal, N.; Zhao, J.; Shabbir, M.S.; Niedbała, G.; Jain, V.; Anwar, A. Does globalization matter for environmental degradation? Nexus among energy consumption, economic growth, and carbon dioxide emission. Energy Policy 2021, 153, 112230. [Google Scholar]
- Aslan, A.; Altinoz, B.; Atay Polat, M. The nexus among climate change, economic growth, foreign direct investments, and financial development: New evidence from N-11 countries. Environ. Prog. Sustain. Energy 2021, 40, e13585. [Google Scholar] [CrossRef]
- Mahmood, H.; Furqan, M.; Hassan, M.S.; Rej, S. The environmental Kuznets Curve (EKC) hypothesis in China: A review. Sustainability 2023, 15, 6110. [Google Scholar] [CrossRef]
- Han, Y.J.; Lu, Y. The Relationship between Economic Growth and Environment—An Empirical Study Based on the CO2 Environmental Kuznets Curve. Econ. Theory Econ. Manag. 2009, 03, 5–11. [Google Scholar]
- Zou, Q. Study on China’s Carbon Emissions EKC Based on Panel Threshold Regression. China Econ. Issues 2015, 04, 86–99. [Google Scholar]
- Yu, D.H.; Zhang, M.Z. Resolution of ‘Heterogeneity Problem’ and Reexamination of Carbon Emissions EKC—A Country Group Study Based on Threshold Regression. China Ind. Econ. 2016, 07, 57–73. [Google Scholar]
- Leitão, N.C.; Dos Santos Parente, C.C.; Balsalobre-Lorente, D.; Cantos Cantos, J.M. Revisiting the effects of energy, population, foreign direct investment, and economic growth in Visegrad countries under the EKC scheme. Environ. Sci. Pollut. Res. 2023, 30, 15102–15114. [Google Scholar] [CrossRef] [PubMed]
- Mahmood, H. Trade, FDI, and CO2 emissions nexus in Latin America: The spatial analysis in testing the pollution haven and the EKC hypotheses. Environ. Sci. Pollut. Res. 2023, 30, 14439–14454. [Google Scholar] [CrossRef] [PubMed]
- Ang, B.W.; Zhang, F.Q.; Choi, K.H. Factorizing changes in energy and environmental indicators through ecomposition. Energy 1998, 23, 489–495. [Google Scholar] [CrossRef]
- Zhao, M.; Tan, L.; Zhang, W.; Ji, M.; Liu, Y.; Yu, L. Decomposing the influencing factors of industrial carbon emissions in Shanghai using the LMDI method. Energy 2010, 35, 2505–2510. [Google Scholar] [CrossRef]
- Quan, C.; Cheng, X.; Yu, S.; Ye, X. Analysis on the influencing factors of carbon emission in China’s logistics industry based on LMDI method. Sci. Total Environ. 2020, 734, 138473. [Google Scholar] [CrossRef]
- Li, R.; Han, X.; Wang, Q. Do technical differences lead to a widening gap in China’s regional carbon emissions efficiency? Evidence from a combination of LMDI and PDA approach. Renew. Sustain. Energy Rev. 2023, 182, 113361. [Google Scholar] [CrossRef]
- Felipe, J.; Abdon, A.; Kumar, U. Tracking the middle-income trap: What is it, who is in it, and why? Levy Econ. Inst. Work. Pap. 2012, 715. [Google Scholar] [CrossRef]
- BP. BP Energy Outlook. 2023. Available online: https://www.bp.com.cn/zh_cn/china/home/news/reports.html (accessed on 21 May 2024).
- Andersson, F.N.; Karpestam, P. CO2 emissions and economic activity: Short-and long-run economic determinants of scale, energy intensity and carbon intensity. Energy Policy 2013, 61, 1285–1294. [Google Scholar] [CrossRef]
- Yu, X.; Chen, N.; Li, M. Study on the Characteristics of Carbon Emissions and Carbon Reduction Paths in Low-carbon Pilot Cities in China. Chin. J. Popul. Resour. Environ. 2020, 239, 1–9. [Google Scholar]
- Shen, L.; Liu, L.T.; Wang, L.M.; Chen, F.N.; Zhang, C.; Shen, M.; Zhong, S. 2050 energy consumption projection for China. J. Nat. Resour. 2015, 30, 361–373. [Google Scholar]
- Li, J.S.; Zhou, H.W.; Meng, J.; Yang, Q.; Chen, B.; Zhang, Y.Y. Carbon emissions and their drivers for a typical urban economy from multiple perspectives: A case analysis for Beijing city. Appl. Energy 2018, 226, 1076–1086. [Google Scholar] [CrossRef]
- Li, Z.; Sun, L.; Geng, Y.; Dong, H.; Ren, J.; Liu, Z.; Higano, Y. Examining industrial structure changes and corresponding carbon emission reduction effect by combining input-output analysis and social network analysis: A comparison study of China and Japan. J. Clean. Prod. 2017, 162, 61–70. [Google Scholar] [CrossRef]
- Riahi, K.; Grübler, A.; Nakicenovic, N. Scenarios of long-term socio-economic and environmental development under climate stabilization. Technol. Forecast. Soc. Chang. 2007, 74, 887–935. [Google Scholar] [CrossRef]
- Stöllinger, R. Structural change and global value chains in the EU. Empirica 2016, 43, 80. [Google Scholar] [CrossRef]
- Thelen, K. Transitions to the knowledge economy in Germany, Sweden, and the Netherlands. Comp. Politics 2019, 51, 295–315. [Google Scholar] [CrossRef]







| Patterns | Per Capita GDP | Emission Intensity | Per Capita Emissions | Per Capita Energy Consumption | Total Energy Consumption | Emissions during the Period | GDP | |
|---|---|---|---|---|---|---|---|---|
| USD per Capita | gCO2 per USD | kg CO2 per Capita | Mega Joules per Capita | TJ | 10,000 t | Billion USD | ||
| Patterns 1 | Mean | 27,875 | 692 | 19,299 | 3442 | 512.0 | 2,870,835.9 | 41,465 |
| Standard Deviation | 7642 | 312 | 2017 | 16 | 73 | 238,754 | 17,350 | |
| Maximum Value | 37,264 | 1355 | 22,064 | 368 | 583 | 3,231,323 | 66,866 | |
| Minimum Value | 16,226 | 428 | 15,963 | 322 | 399 | 2,555,204 | 19,015 | |
| Median | 26,444 | 765 | 19,891 | 346 | 538 | 2,849,519 | 39,379 | |
| Patterns 2 | Mean | 20,171 | 450 | 9085 | 1621 | 135.2 | 757,770.0 | 16,823 |
| Standard Deviation | 7404 | 147 | 1440 | 39 | 41 | 169,210 | 7177 | |
| Maximum Value | 29,514 | 798 | 10,798 | 201 | 178 | 960,662 | 26,287 | |
| Minimum Value | 8997 | 359 | 7177 | 103 | 73 | 512,088 | 6419 | |
| Median | 20,474 | 459 | 9379 | 175 | 152 | 800,778 | 17,486 | |
| Patterns 3 | Mean | 10,669 | 359 | 3831 | 684 | 8.3 | 46,660.7 | 1299 |
| Standard Deviation | 3717 | 43 | 1029 | 23 | 4 | 18,134 | 618 | |
| Maximum Value | 15,398 | 453 | 4844 | 91 | 13 | 69,170 | 2198 | |
| Minimum Value | 5771 | 315 | 2415 | 36 | 3 | 24,846 | 548 | |
| Median | 10,143 | 376 | 3990 | 71 | 9 | 49,073 | 1246 | |
| Patterns 4 | Mean | 19,312 | 353 | 6813 | 2197 | 75.6 | 234,592.5 | 6649 |
| Standard Deviation | 4037 | 185 | 1606 | 36 | 16 | 37,238 | 1883 | |
| Maximum Value | 23,979 | 750 | 9597 | 260 | 92 | 300,836 | 9185 | |
| Minimum Value | 12,803 | 203 | 4875 | 152 | 47 | 186,728 | 3925 | |
| Median | 19,178 | 348 | 6657 | 225 | 82 | 227,866 | 6567 | |
| Variables | LLC | IPS | ADF | PP | Conclusion |
|---|---|---|---|---|---|
| lnCO2 | 0.1301 | −2.2869 | 1.04800 | 1.3788 | Non-stationary |
| △lnCO2 | −2.3729 *** | −4.77897 *** | 36.1409 *** | 120.6100 *** | Stationary |
| lnp | −0.3641 | 1.67199 | 2.5819 | 1.9593 | Non-stationary |
| △lnp | −0.7252 *** | −6.7739 *** | 55.5336 *** | 97.5246 *** | Stationary |
| lnp2 | 0.1504 | 1.5366 | 3.9391 | 2.4196 | Non-stationary |
| △lnp2 | −5.4981 *** | −5.6982 *** | 45.0200 *** | 97.3671 *** | Stationary |
| lnp3 | 0.6602 | 1.4814 | 5.1597 | 2.9671 | Non-stationary |
| △lnp3 | −5.7177 *** | −5.6932 *** | 44.9062 *** | 95.0029 *** | Stationary |
| Variables | Patterns 1 | Patterns 2 | Patterns 3 | Patterns 4 | ||||
|---|---|---|---|---|---|---|---|---|
| Quadratic Equation | Cubic Equation | Quadratic Equation | Cubic Equation | Quadratic Equation | Cubic Equation | Quadratic Equation | Cubic Equation | |
| lnpg3 | / | −0.0399 *** | / | −0.0202 *** | / | −0.0404 *** | / | −0.0863 *** |
| / | (−3.9639) | / | (−10.8459) | / | (−3.5050) | / | (−5.7674) | |
| lnpg2 | −0.4544 *** | 0.6659 ** | −0.1013 *** | 0.3329 *** | −0.1820 *** | 0.8734 *** | −0.8713 *** | 1.4811 *** |
| (−9.0843) | (2.3263) | (−5.7177) | (8.0239) | (−5.0989) | (2.8833) | (−12.7677) | (3.5973) | |
| lnpg | 9.0901 *** | −1.3394 | 2.6193 *** | −0.2328 | 4.1508 *** | −5.0023 ** | 16.4406 *** | −4.8712 |
| (9.1836) | (−0.4819) | (8.1666) | (−0.7129) | (6.5716) | (−1.8693) | (12.7753) | (−1.2674) | |
| Constant term | −35.5438 *** | −3.3120 | −6.8489 *** | −1.5179 | −14.5704 *** | 11.7983 | −68.5384 *** | −4.3127 |
| (−7.2710) | (−0.3577) | (−4.7728) | (−1.5234) | (−5.2311) | (1.4836) | (−11.3217) | (−0.3536) | |
| F-value | 54.7960 | 49.7904 | 936.6846 | 1750.739 | 1512.978 | 1182.6470 | 81.6263 | 91.7097 |
| R-squared | 0.6205 | 0.6935 | 0.9654 | 0.9875 | 0.9783 | 0.98173 | 0.7090 | 0.8065 |
| Shape | Inverted U-shaped | Inverted N-shaped | Inverted U-shaped | Inverted N-shaped | Inverted U-shaped | Inverted N-shaped | Inverted U-shaped | Inverted N-shaped |
| Per capita GDP at emission peak (USD per person) | 22,036.2 | 21,832.7 | 389,808.1 | 39,245.1 | 89,476.1 | 34,774.1 | 12,504.7 | 12,576.2 |
| Per capita emissions at emission peak (kg CO2 per person) | 20,109.3 | 20,415.6 | 22,266.8 | 10,474.6 | 8894.5 | 6390.8 | 8190.7 | 8308 |
| Pattern | Per Capita GDP | Per Capita Carbon Emissions | Emission Intensity | Energy Intensity | ||||
|---|---|---|---|---|---|---|---|---|
| Maximum Value | Minimum Value | Current Value | Maximum Value | Minimum Value | Current Value | |||
| USD/Person | kgCO2/Person | g CO2/USD | g CO2/USD | g CO2/USD | kJ/USD | kJ/USD | kJ/USD | |
| Patterns 1 | 37,264 | 22,064 | 1355 | 428 | 428 | 20,963 | 8650 | 8650 |
| Patterns 2 | 29,514 | 10,798 | 798 | 359 | 359 | 11,422 | 6201 | 6201 |
| Patterns 3 | 15,398 | 4844 | 453 | 315 | 315 | 7116 | 5941 | 5941 |
| Patterns 4 | 23,979 | 9597 | 750 | 203 | 203 | 13,398 | 8899 | 8899 |
| China | 13,771 | 7908 | 2523 | 574 | 574 | 27,634 | 6876 | 6876 |
Disclaimer/Publisher’s Note: The statements, opinions and data contained in all publications are solely those of the individual author(s) and contributor(s) and not of MDPI and/or the editor(s). MDPI and/or the editor(s) disclaim responsibility for any injury to people or property resulting from any ideas, methods, instructions or products referred to in the content. |
© 2024 by the authors. Licensee MDPI, Basel, Switzerland. This article is an open access article distributed under the terms and conditions of the Creative Commons Attribution (CC BY) license (https://creativecommons.org/licenses/by/4.0/).
Share and Cite
Zhang, Y.; Hou, G.; Zhang, Y. Carbon Emission Heterogeneity in Developed Countries: Insights for China’s Neutrality Strategy. Sustainability 2024, 16, 5318. https://doi.org/10.3390/su16135318
Zhang Y, Hou G, Zhang Y. Carbon Emission Heterogeneity in Developed Countries: Insights for China’s Neutrality Strategy. Sustainability. 2024; 16(13):5318. https://doi.org/10.3390/su16135318
Chicago/Turabian StyleZhang, Yansong, Gefei Hou, and Yan Zhang. 2024. "Carbon Emission Heterogeneity in Developed Countries: Insights for China’s Neutrality Strategy" Sustainability 16, no. 13: 5318. https://doi.org/10.3390/su16135318
APA StyleZhang, Y., Hou, G., & Zhang, Y. (2024). Carbon Emission Heterogeneity in Developed Countries: Insights for China’s Neutrality Strategy. Sustainability, 16(13), 5318. https://doi.org/10.3390/su16135318
