The Addition of Anthocyanin as a Sensitizer for TiO2 Nanotubes in a Combined Process of Electrocoagulation and Photocatalysis for Methylene Blue Removal
Abstract
:1. Introduction
2. Materials and Methods
2.1. Material
2.2. Synthesis of TiO2 Nanotubes (TNTAs)
2.3. Preparation of Sensitized TNTAs
2.4. Characterization of Catalyst
2.5. Degradation of Methylene Blue by Electrocoagulation Process
2.6. Degradation of Methylene Blue by a Combined Process of Photocatalysis and Electrocoagulation
2.7. Removal Efficiency of Methylene Blue
3. Results and Discussion
3.1. Effect of Water Content in Glycerol Electrolyte on the Morphology of TiO2 Nanotube Arrays (TNTAs)
3.2. Effect of Water Content in Glycerol Electrolyte on Crystallinity of TNTAs
3.3. The Effect of Anthocyanin Sensitizer Addition on TNTA Morphology
3.4. The Effect of Anthocyanin Sensitizer Addition on Crystallinity
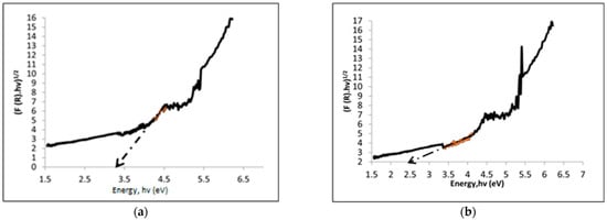
3.5. The Effect of Anthocyanin Addition on the Band Gap Energy of TNTAs
3.6. Photocatalytic Process for Methylene Blue (MB) Degradation
3.6.1. The Effect of Initial pH
3.6.2. The Effect of Sensitizer Addition for TNTAs on Photocatalytic Performance
3.7. Electrocoagulation Process for Methylene Blue (MB) Degradation
3.7.1. Effect of Voltage
3.7.2. The Effect of pH
3.8. A Combined Process of Electrocoagulation and Photocatalysis for Methylene Blue (MB) Degradation
3.9. The Color and Weight of Sludges Resulting from the Electrocoagulation Process and the Combined Process of Electrocoagulation and Photocatalysis
4. Conclusions
Author Contributions
Funding
Informed Consent Statement
Data Availability Statement
Acknowledgments
Conflicts of Interest
References
- Karim, A.V.; Shriwastav, A. Degradation of Ciprofloxacin Using Photo, Sono, and Sonophotocatalytic Oxidation with Visible Light and Low-Frequency Ultrasound: Degradation Kinetics and Pathways. Chem. Eng. J. 2020, 392, 124853. [Google Scholar] [CrossRef]
- Vasiraja, N.; Saravana Sathiya Prabhahar, R.; Joshua, A. Preparation and Physio–Chemical Characterisation of Activated Carbon Derived from Prosopis Juliflora Stem for the Removal of Methylene Blue Dye and Heavy Metal Containing Textile Industry Effluent. J. Clean. Prod. 2023, 397, 136579. [Google Scholar] [CrossRef]
- Marahel, F.; Mombeni Goodajdar, B.; Niknam, L.; Faridnia, M.; Pournamdari, E.; Mohammad Doost, S. Ultrasonic Assisted Adsorption of Methylene Blue Dye and Neural Network Model for Adsorption of Methylene Blue Dye by Synthesised Mn-Doped PbS Nanoparticles. Int. J. Environ. Anal. Chem. 2023, 103, 3059–3080. [Google Scholar] [CrossRef]
- Mustafa, F.H.A.; Gad ElRab, E.K.M.; Kamel, R.M.; Elshaarawy, R.F.M. Cost-Effective Removal of Toxic Methylene Blue Dye from Textile Effluents by New Integrated Crosslinked Chitosan/Aspartic Acid Hydrogels. Int. J. Biol. Macromol. 2023, 248, 125986. [Google Scholar] [CrossRef]
- Zhao, Q.; Zhang, L.; Wang, X.; Jia, X.; Xu, P.; Zhao, M.; Dai, R. Simultaneous Efficient Adsorption and Photocatalytic Degradation of Methylene Blue over Iron(III)-Based Metal–Organic Frameworks: A Comparative Study. Transit. Met. Chem. 2019, 44, 789–797. [Google Scholar] [CrossRef]
- Li, Q.; Li, Y.; Ma, X.; Du, Q.; Sui, K.; Wang, D.; Wang, C.; Li, H.; Xia, Y. Filtration and Adsorption Properties of Porous Calcium Alginate Membrane for Methylene Blue Removal from Water. Chem. Eng. J. 2017, 316, 623–630. [Google Scholar] [CrossRef]
- Pasichnyk, M.; Gaálová, J.; Minarik, P.; Václavíková, M.; Melnyk, I. Development of Polyester Filters with Polymer Nanocomposite Active Layer for Effective Dye Filtration. Sci. Rep. 2022, 12, 973. [Google Scholar] [CrossRef]
- Ihaddaden, S.; Aberkane, D.; Boukerroui, A.; Robert, D. Removal of Methylene Blue (Basic Dye) by Coagulation-Flocculation with Biomaterials (Bentonite and Opuntia Ficus Indica). J. Water Process Eng. 2022, 49, 102952. [Google Scholar] [CrossRef]
- Keramati, M.; Ayati, B. Petroleum Wastewater Treatment Using a Combination of Electrocoagulation and Photocatalytic Process with Immobilized ZnO Nanoparticles on Concrete Surface. Process Saf. Environ. Prot. 2019, 126, 356–365. [Google Scholar] [CrossRef]
- Meili, L.; Lins, P.V.S.; Costa, M.T.; Almeida, R.L.; Abud, A.K.S.; Soletti, J.I.; Dotto, G.L.; Tanabe, E.H.; Sellaoui, L.; Carvalho, S.H.V.; et al. Adsorption of Methylene Blue on Agroindustrial Wastes: Experimental Investigation and Phenomenological Modelling. Prog. Biophys. Mol. Biol. 2019, 141, 60–71. [Google Scholar] [CrossRef]
- Babar, M.; Munir, H.M.S.; Nawaz, A.; Ramzan, N.; Azhar, U.; Sagir, M.; Tahir, M.S.; Ikhlaq, A.; Mohammad Azmin, S.N.h.; Mubashir, M.; et al. Comparative Study of Ozonation and Ozonation Catalyzed by Fe-Loaded Biochar as Catalyst to Remove Methylene Blue from Aqueous Solution. Chemosphere 2022, 307, 135738. [Google Scholar] [CrossRef] [PubMed]
- Li, H.; Lin, Y.; Luo, Y.; Yu, P.; Hou, L. Relating Organic Fouling of Reverse Osmosis Membranes to Adsorption during the Reclamation of Secondary Effluents Containing Methylene Blue and Rhodamine B. J. Hazard. Mater. 2011, 192, 490–499. [Google Scholar] [CrossRef] [PubMed]
- El-Moselhy, M.M.; Kamal, S.M. Selective Removal and Preconcentration of Methylene Blue from Polluted Water Using Cation Exchange Polymeric Material. Groundw. Sustain. Dev. 2018, 6, 6–13. [Google Scholar] [CrossRef]
- Kumar, M.S.; Sonawane, S.H.; Pandit, A.B. Degradation of Methylene Blue Dye in Aqueous Solution Using Hydrodynamic Cavitation Based Hybrid Advanced Oxidation Processes. Chem. Eng. Process. Process Intensif. 2017, 122, 288–295. [Google Scholar] [CrossRef]
- Mohammed, H.A.; Khaleefa, S.A.; Basheer, M.I. Photolysis of methylene blue dye using an advanced oxidation process (ultraviolet light and hydrogen peroxide). J. Eng. Sustain. Dev. 2022, 25, 59–67. [Google Scholar] [CrossRef]
- Huseynov, K.; Ramazanov, M.; Garib, M. Photocatalytic degradation of organic pollutants in air by application of titanium dioxide nanoparticles. Chem. Eng. Trans. 2017, 60, 241–246. [Google Scholar] [CrossRef]
- Sonmez, B.; Baser, E.; Gel, O.Y. Photodecolourization of Methylene Blue by Fe- and Cd-Incorporated Titania-Supported Zeolite Clinoptilolite. Microporous Mesoporous Mater. 2022, 340, 112001. [Google Scholar] [CrossRef]
- Xing, Z.; Zhang, J.; Cui, J.; Yin, J.; Zhao, T.; Kuang, J.; Xiu, Z.; Wan, N.; Zhou, W. Recent Advances in Floating TiO2-Based Photocatalysts for Environmental Application. Appl. Catal. B Environ. 2018, 225, 452–467. [Google Scholar] [CrossRef]
- Tan, H.; Zhang, Y.; Li, B.; Yang, H.; Hou, H.; Huang, Q. Preparation of TiO2-Coated Glass Flat Membrane and Its Photocatalytic Degradation of Methylene Blue. Ceram. Int. 2023, 49, 17236–17244. [Google Scholar] [CrossRef]
- Yang, R.; Zhu, Z.; Hu, C.; Zhong, S.; Zhang, L.; Liu, B.; Wang, W. One-Step Preparation (3D/2D/2D) BiVO4/FeVO4@rGO Heterojunction Composite Photocatalyst for the Removal of Tetracycline and Hexavalent Chromium Ions in Water. Chem. Eng. J. 2020, 390, 124522. [Google Scholar] [CrossRef]
- Yang, R.; Zhong, S.; Zhang, L.; Liu, B. PW12/CN@Bi2WO6 Composite Photocatalyst Prepared Based on Organic-Inorganic Hybrid System for Removing Pollutants in Water. Sep. Purif. Technol. 2020, 235, 116270. [Google Scholar] [CrossRef]
- Abdullah, H.; Khan, M.M.R.; Ong, H.R.; Yaakob, Z. Modified TiO2 Photocatalyst for CO2 Photocatalytic Reduction: An Overview. J. CO2 Util. 2017, 22, 15–32. [Google Scholar] [CrossRef]
- Roy, P.; Berger, S.; Schmuki, P. TiO2 Nanotubes: Synthesis and Applications. Angew. Chem. Int. Ed. 2011, 50, 2904–2939. [Google Scholar] [CrossRef] [PubMed]
- Singh, J.; Juneja, S.; Soni, R.K.; Bhattacharya, J. Sunlight Mediated Enhanced Photocatalytic Activity of TiO2 Nanoparticles Functionalized CuO-Cu2O Nanorods for Removal of Methylene Blue and Oxytetracycline Hydrochloride. J. Colloid Interface Sci. 2021, 590, 60–71. [Google Scholar] [CrossRef] [PubMed]
- You, M.; Kim, T.G.; Sung, Y.-M. Synthesis of Cu-Doped TiO2 Nanorods with Various Aspect Ratios and Dopant Concentrations. Cryst. Growth Des. 2010, 10, 983–987. [Google Scholar] [CrossRef]
- Khan, M.A.M.; Ansari, A.A.; Choudhary, P.; Ahmed, J.; Kumar, S.; Hussain, S. Reduced Graphene Oxide Supported Ag-Loaded Brookite TiO2 Nanowires: Enhanced Photocatalytic Degradation Performance and Electrochemical Energy Storage Applications. Diam. Relat. Mater. 2023, 139, 110397. [Google Scholar] [CrossRef]
- Safajou, H.; Khojasteh, H.; Salavati-Niasari, M.; Mortazavi-Derazkola, S. Enhanced Photocatalytic Degradation of Dyes over Graphene/Pd/TiO2 Nanocomposites: TiO2 Nanowires versus TiO2 Nanoparticles. J. Colloid Interface Sci. 2017, 498, 423–432. [Google Scholar] [CrossRef]
- Abdullah, M.; Kamarudin, S.K. Titanium Dioxide Nanotubes (TNT) in Energy and Environmental Applications: An Overview. Renew. Sustain. Energy Rev. 2017, 76, 212–225. [Google Scholar] [CrossRef]
- Wtulich, M.; Szkoda, M.; Gajowiec, G.; Jurak, K.; Trykowski, G.; Lisowska-Oleksiak, A. Hydrothermal Modification of TiO2 Nanotubes in Water and Alkali Metal Electrolytes (LiNO3, NaNO3, KNO3) — Direct Evidence for Photocatalytic Activity Enhancement. Electrochim. Acta 2022, 426, 140802. [Google Scholar] [CrossRef]
- Feng, Y.; Rijnaarts, H.H.M.; Yntema, D.; Gong, Z.; Dionysiou, D.D.; Cao, Z.; Miao, S.; Chen, Y.; Ye, Y.; Wang, Y. Applications of Anodized TiO2 Nanotube Arrays on the Removal of Aqueous Contaminants of Emerging Concern: A Review. Water Res. 2020, 186, 116327. [Google Scholar] [CrossRef]
- Zyoud, A.H.; Saleh, F.; Helal, M.H.; Shawahna, R.; Hilal, H.S. Anthocyanin-Sensitized TiO2 Nanoparticles for Phenazopyridine Photodegradation under Solar Simulated Light. J. Nanomater. 2018, 2018, 2789616. [Google Scholar] [CrossRef]
- Diaz-Uribe, C.; Vallejo, W.; Camargo, G.; Muñoz-Acevedo, A.; Quiñones, C.; Schott, E.; Zarate, X. Potential Use of an Anthocyanin-Rich Extract from Berries of Vaccinium Meridionale Swartz as Sensitizer for TiO2 Thin Films—An Experimental and Theoretical Study. J. Photochem. Photobiol. A Chem. 2019, 384, 112050. [Google Scholar] [CrossRef]
- Diaz-Angulo, J.; Lara-Ramos, J.; Mueses, M.; Hernández-Ramírez, A.; Li Puma, G.; Machuca-Martínez, F. Enhancement of the Oxidative Removal of Diclofenac and of the TiO2 Rate of Photon Absorption in Dye-Sensitized Solar Pilot Scale CPC Photocatalytic Reactors. Chem. Eng. J. 2020, 381, 122520. [Google Scholar] [CrossRef]
- Khalil, M.; Gunlazuardi, J.; Ivandini, T.A.; Umar, A. Photocatalytic Conversion of CO2 Using Earth-Abundant Catalysts: A Review on Mechanism and Catalytic Performance. Renew. Sustain. Energy Rev. 2019, 113, 109246. [Google Scholar] [CrossRef]
- Rekha, M.; Kowsalya, M.; Ananth, S.; Vivek, P.; Jauhar, R.O.M.U. Current–Voltage Characteristics of New Organic Natural Dye Extracted from Terminalia Chebula for Dye-Sensitized Solar Cell Applications. J. Opt. 2019, 48, 104–112. [Google Scholar] [CrossRef]
- Pujiastuti, H.; Kustiningsih, I.; Slamet, S. Improvement of the Efficiency of TiO2 Photocatalysts with Natural Dye Sensitizers Anthocyanin for the Degradation of Methylene Blue. J. Rekayasa Kim. Lingkung. 2021, 16, 84–99. [Google Scholar] [CrossRef]
- Degradation of Ciprofloxacin Antibiotic Waste Using TiO2 Nanotube with Addition of Anthocyanin Dye-Sensitizer in Photocatalysis Process: Review|Fidarohman|Jurnal Rekayasa Kimia & Lingkungan. Available online: https://jurnal.usk.ac.id/RKL/article/view/28520 (accessed on 5 October 2023).
- Díaz-Uribe, C.; Vallejo, W.; Campos, K.; Solano, W.; Andrade, J.; Muñoz-Acevedo, A.; Schott, E.; Zarate, X. Improvement of the Photocatalytic Activity of TiO2 Using Colombian Caribbean Species (Syzygium Cumini) as Natural Sensitizers: Experimental and Theoretical Studies. Dyes Pigments 2018, 150, 370–376. [Google Scholar] [CrossRef]
- Chandel, M.; Thakur, M.; Sharma, A.; Pathania, D.; Kumar, A.; Singh, L. Chlorophyll Sensitized (BiO)2CO3/CdWO4/rGO Nano-Hybrid Assembly for Solar Assisted Photo-Degradation of Chlorzoxazone. Chemosphere 2022, 305, 135472. [Google Scholar] [CrossRef]
- Elseman, A.M. Solar Cells: Theory, Materials and Recent Advances; BoD—Books on Demand: Norderstedt, Germany, 2021; ISBN 978-1-83881-016-0. [Google Scholar]
- Mohammed, H.A.; Khan, R.A. Anthocyanins: Traditional Uses, Structural and Functional Variations, Approaches to Increase Yields and Products’ Quality, Hepatoprotection, Liver Longevity, and Commercial Products. Int. J. Mol. Sci. 2022, 23, 2149. [Google Scholar] [CrossRef]
- Daneshvar, N.; Ashassi Sorkhabi, H.; Kasiri, M.B. Decolorization of Dye Solution Containing Acid Red 14 by Electrocoagulation with a Comparative Investigation of Different Electrode Connections. J. Hazard. Mater. 2004, 112, 55–62. [Google Scholar] [CrossRef]
- Giang, N.T.H.; Thinh, N.T.; Hai, N.D.; Loc, P.T.; Thu, T.N.A.; Loan, N.H.P.; Quang, D.M.; Anh, L.D.; Truong An, V.N.T.; Phong, M.T.; et al. Application of TiO2 Nanoparticles with Natural Chlorophyll as the Catalyst for Visible Light Photocatalytic Degradation of Methyl Orange and Antibacterial. Inorg. Chem. Commun. 2023, 150, 110513. [Google Scholar] [CrossRef]
- Zyoud, A.; Hilal, H. Investigation of Curcumin as Sensitizer for Anatase TiO2 Nanoparticles in Photodegradation of of Phenazopyridine with Visible Light. PhytoChem BioSub J. 2014, 8, 127–137. [Google Scholar]
- Goulart, S.; Jaramillo Nieves, L.J.; Dal Bó, A.G.; Bernardin, A.M. Sensitization of TiO2 Nanoparticles with Natural Dyes Extracts for Photocatalytic Activity under Visible Light. Dyes Pigments 2020, 182, 108654. [Google Scholar] [CrossRef]
- Yang, H.; Jiang, L.; Li, Y.; Li, G.; Yang, Y.; He, J.; Wang, J.; Yan, Z. Highly Efficient Red Cabbage Anthocyanin Inserted TiO2 Aerogel Nanocomposites for Photocatalytic Reduction of Cr(VI) under Visible Light. Nanomaterials 2018, 8, 937. [Google Scholar] [CrossRef]
- Mecha, A.C.; Chollom, M.N. Photocatalytic Ozonation of Wastewater: A Review. Environ. Chem. Lett. 2020, 18, 1491–1507. [Google Scholar] [CrossRef]
- Mahamud, M.; Taddesse, A.M.; Bogale, Y.; Bezu, Z. Zeolite Supported CdS/TiO2/CeO2 Composite: Synthesis, Characterization and Photocatalytic Activity for Methylene Blue Dye Degradation. Mater. Res. Bull. 2023, 161, 112176. [Google Scholar] [CrossRef]
- Gong, P.; Li, B.; Kong, X.; Shakeel, M.; Liu, J.; Zuo, S. Hybriding Hierarchical Zeolite with Pt Nanoparticles and Graphene: Ternary Nanocomposites for Efficient Visible-Light Photocatalytic Degradation of Methylene Blue. Microporous Mesoporous Mater. 2018, 260, 180–189. [Google Scholar] [CrossRef]
- Girma, S.; Taddesse, A.M.; Bogale, Y.; Bezu, Z. Zeolite-Supported g-C3N4/ZnO/CeO2 Nanocomposite: Synthesis, Characterization and Photocatalytic Activity Study for Methylene Blue Dye Degradation. J. Photochem. Photobiol. A Chem. 2023, 444, 114963. [Google Scholar] [CrossRef]
- Muttaqin, R.; Pratiwi, R.; Ratnawati; Dewi, E.L.; Ibadurrohman, M.; Slamet. Degradation of Methylene Blue-Ciprofloxacin and Hydrogen Production Simultaneously Using Combination of Electrocoagulation and Photocatalytic Process with Fe-TiNTAs. Int. J. Hydrogen Energy 2022, 47, 18272–18284. [Google Scholar] [CrossRef]
- Slamet, S.; Kurniawan, R. Degradation of Tartrazine and Hydrogen Production Simultaneously with Combination of Photocatalysis-Electrocoagulation. AIP Conf. Proc. 2018, 2024, 020064. [Google Scholar] [CrossRef]
- Slamet, N.S.; Shobri, A.; Anindria, F.A.; Mauricio, R.; Tafsili, M.A.B.; Slamet, S. Treatment of Batik Industry Waste with a Combination of Electrocoagulation and Photocatalysis. Chem. Eng. 2018, 9, 936–943. [Google Scholar] [CrossRef]
- Rangel-Peraza, J.G.; Prado, M.A.R.; Amabilis-Sosa, L.E.; Bustos-Terrones, Y.A.; Ramírez-Pereda, B. Malathion Removal through Peroxi-Electrocoagulation and Photocatalytic Treatments. Optimization by Statistical Analysis. Int. J. Electrochem. Sci. 2020, 15, 8253–8264. [Google Scholar] [CrossRef]
- Ates, H.; Dizge, N.; Yatmaz, H.C. Combined Process of Electrocoagulation and Photocatalytic Degradation for the Treatment of Olive Washing Wastewater. Water Sci. Technol. 2016, 75, 141–154. [Google Scholar] [CrossRef] [PubMed]
- Santos, L.M.; Amorim, K.P.D.; Andrade, L.S.; Batista, P.S.; Trovó, A.G.; Machado, A.E.H. Dye Degradation Enhanced by Coupling Electrochemical Process and Heterogeneous Photocatalysis. J. Braz. Chem. Soc. 2015, 26, 1817–1823. [Google Scholar] [CrossRef]
- Blanckenberg, A.; Malgas-Enus, R. Raspberry-like Gold-Decorated Silica (SSx–AMPS–Au) Nanoparticles for the Reductive Discoloration of Dyes. SN Appl. Sci. 2019, 787. [Google Scholar] [CrossRef]
- Ratnawati; Gunlazuardi, J.; Slamet. Development of Titania Nanotube Arrays: The Roles of Water Content and Annealing Atmosphere. Mater. Chem. Phys. 2015, 160, 111–118. [Google Scholar] [CrossRef]
- Regonini, D.; Bowen, C.R.; Jaroenworaluck, A.; Stevens, R. A Review of Growth Mechanism, Structure and Crystallinity of Anodized TiO2 Nanotubes. Mater. Sci. Eng. R Rep. 2013, 74, 377–406. [Google Scholar] [CrossRef]
- Madhusudan Reddy, K.; Manorama, S.V.; Ramachandra Reddy, A. Bandgap Studies on Anatase Titanium Dioxide Nanoparticles. Mater. Chem. Phys. 2003, 78, 239–245. [Google Scholar] [CrossRef]
- Diaz-Uribe, C.; Vallejo, W.; Romero, E.; Villareal, M.; Padilla, M.; Hazbun, N.; Muñoz-Acevedo, A.; Schott, E.; Zarate, X. TiO2 Thin Films Sensitization with Natural Dyes Extracted from Bactris Guineensis for Photocatalytic Applications: Experimental and DFT Study. J. Saudi Chem. Soc. 2020, 24, 407–416. [Google Scholar] [CrossRef]
- Dariani, R.S.; Esmaeili, A.; Mortezaali, A.; Dehghanpour, S. Photocatalytic Reaction and Degradation of Methylene Blue on TiO2 Nano-Sized Particles. Optik 2016, 127, 7143–7154. [Google Scholar] [CrossRef]
- Liu, C.; Neale, Z.G.; Cao, G. Understanding Electrochemical Potentials of Cathode Materials in Rechargeable Batteries. Mater. Today 2016, 19, 109–123. [Google Scholar] [CrossRef]
- Muttaqin, R.; Ratnawati, R.; Slamet, S. Batch Electrocoagulation System Using Aluminum and Stainless Steel 316 Plates for Hospital Wastewater Treatment. IOP Conf. Ser. Earth Environ. Sci. 2022, 963, 012056. [Google Scholar] [CrossRef]
- Krishnan, S.; Shriwastav, A. Application of TiO2 Nanoparticles Sensitized with Natural Chlorophyll Pigments as Catalyst for Visible Light Photocatalytic Degradation of Methylene Blue. J. Environ. Chem. Eng. 2021, 9, 104699. [Google Scholar] [CrossRef]
- Liu, N.; Wu, Y. Removal of Methylene Blue by Electrocoagulation: A Study of the Effect of Operational Parameters and Mechanism. Ionics 2019, 25, 3953–3960. [Google Scholar] [CrossRef]
- Holt, P.; Barton, G.; Mitchell, C. Electrocoagulation as a Wastewater Treatment. In Proceedings of the Third Annual Australian Environmental Engineering Research Event, Castlemaine, VIC, Australia, 23–26 November 1999. [Google Scholar]
- Jegadeesan, C.; Somanathan, A.; Jeyakumar, R.B.; Godvin Sharmila, V. Combination of Electrocoagulation with Solar Photo Fenton Process for Treatment of Landfill Leachate. Environ. Technol. 2023, 44, 4441–4459. [Google Scholar] [CrossRef]




















| Water Content in Glycerol, v/v | Diameter of Tube (nm) |
|---|---|
| 2% | 24–29 |
| 25% | 130–168 |
| Water Content in Glycerol, v/v | Anatase Crystal Size (nm) |
|---|---|
| 2% | 26.6 |
| 25% | 23.6 |
| Catalyst | Anatase Crystal Size (nm) |
|---|---|
| TNTAs | 23.6 |
| TNTAs + anthocyanin 160 ppm | 28.7 |
| Initial pH of Electrocoagulation | Sludge Weight (g) |
|---|---|
| 5 | 2.42 |
| 7 | 2.83 |
| 10 | 3.85 |
| No | Methods | Photocatalyst | Power/Film | Sensitizer | Pollutant | Experiment | Results | References |
|---|---|---|---|---|---|---|---|---|
| 1 | E-P with a single reactor | TiO2 nanotubes array | Film | Anthocyanin | Methylene Blue (MB) | Volume of 1000 mL, MB of 10 ppm, ratio of MB/catalyst of 0.3125 mg/cm2 | The removal efficiency of MB was 64.5%. The MB removal per catalyst was 2.016%/cm2. | This study |
| 2 | E-P with a single reactor | Fe-TiO2 nanotubes arrays | Film | - | Methylene Blue–ciprofloxacin (MB-CIP) | Volume of 1000 mL, 10 ppm MB-10 ppm CIP, film surface of 64 cm2, ratio of MB/catalyst of 0.1562 mg/cm2, ratio of CIP/catalyst of 0.1562 mg/cm2 | The removal efficiencies of CIP and MB were 90% and 100%, respectively. The CIP removal per catalyst was 1.406%/cm2. The MB removal per catalyst was 1.5625%/cm2. | [51] |
| 3 | E-P with separated reactors | Ag-TiO2 P25 | Powder | - | Tartrazine (TTZ) | Volume of 3 L, TTZ of 50 mg/L, 100 mg/L Ag-TiO2 P25, ratio of TTZ/catalyst of 0.5 mg/mg | The mineralization of TTZ was 74%. The TTZ removal per catalyst was 0.2467%/mg. | [56] |
| 4 | E-P with separated reactor | Immobilized ZnO | Film | - | Petroleum | Initial COD of 1000 mg/L, ratio of petroleum/catalyst of 0.2711 mg/mg | The removal efficiency of COD was 94% after 60 min. The petroleum removal per catalyst was 0.0255%/mg | [9] |
| 5 | E-P with separated reactors | TiO2 and ZnO | Powder | - | Olive washing wastewater | Initial pH of 6.9, voltage of 12.5 V, ZnO of 1 g/L | The removal efficiencies of COD and color were 88% and 100%, respectively. | [55] |
| 6 | E-P with a single reactor | ZnO | Powder | - | Malathion | Initial malathion concentration of 45 mg/L, ZNO of 1.6 mg/L, volume of 500 mL, ratio of malathion/catalyst of 28.125 mg/mg | The removal efficiency of malathion was 68.33%. The malathion removal per catalyst was 85.41%/mg. | [54] |
| 7 | P | TiO2 nanoparticles | Powder | Anthocyanin | Methylene Blue (MB) | Anthocyanin from blackberry, hibiscus, Urucum, Curcuma | The decolorization efficiency was 51–73%. | [45] |
| 8 | P | TiO2 P25 | Thin Film | Anthocyanin | Methylene Blue (MB) | Volume of 25 mL, MB of 10 ppm, surface area of 2 cm2, ratio of MB/catalyst of 0.125 mg/cm2 | The decolorization efficiency was 25.6%. The MB removal per catalyst was 12.8%/cm2. | [61] |
| 9 | P | TiO2 nanoparticles | Powder | Chlorophyll | Methylene Blue (MB) | Volume of 100 mL, MB of 20 ppm, catalyst of 1 g/L, ratio of MB/catalyst of 20 mg/mg | The removal efficiency of MB was 85%. The MB removal per catalyst was 8.5%/mg. | [65] |
| 10 | P | TiO2 aerogel | Powder | Anthocyanin | Cr (VI) | Volume of 50 mL, Cr(VI) concentration of 15 ppm, ratio of Cr(VI)/catalyst of 0.75 mg/mg | The removal efficiency of Cr(VI) was 100%. The Cr(VI) removal per catalyst was 2%/mg. | [46] |
| Method | Sludge Weight (g) |
|---|---|
| Electrocoagulation | 3.85 |
| Combination without Sensitizer | 2.15 |
| Combination with Sensitizer | 1.6 |
Disclaimer/Publisher’s Note: The statements, opinions and data contained in all publications are solely those of the individual author(s) and contributor(s) and not of MDPI and/or the editor(s). MDPI and/or the editor(s) disclaim responsibility for any injury to people or property resulting from any ideas, methods, instructions or products referred to in the content. |
© 2023 by the authors. Licensee MDPI, Basel, Switzerland. This article is an open access article distributed under the terms and conditions of the Creative Commons Attribution (CC BY) license (https://creativecommons.org/licenses/by/4.0/).
Share and Cite
Kustiningsih, I.; Pujiastuti, H.; Sari, D.K.; Rochmat, A.; Slamet. The Addition of Anthocyanin as a Sensitizer for TiO2 Nanotubes in a Combined Process of Electrocoagulation and Photocatalysis for Methylene Blue Removal. Sustainability 2023, 15, 15384. https://doi.org/10.3390/su152115384
Kustiningsih I, Pujiastuti H, Sari DK, Rochmat A, Slamet. The Addition of Anthocyanin as a Sensitizer for TiO2 Nanotubes in a Combined Process of Electrocoagulation and Photocatalysis for Methylene Blue Removal. Sustainability. 2023; 15(21):15384. https://doi.org/10.3390/su152115384
Chicago/Turabian StyleKustiningsih, Indar, Hendrini Pujiastuti, Denni Kartika Sari, Agus Rochmat, and Slamet. 2023. "The Addition of Anthocyanin as a Sensitizer for TiO2 Nanotubes in a Combined Process of Electrocoagulation and Photocatalysis for Methylene Blue Removal" Sustainability 15, no. 21: 15384. https://doi.org/10.3390/su152115384
APA StyleKustiningsih, I., Pujiastuti, H., Sari, D. K., Rochmat, A., & Slamet. (2023). The Addition of Anthocyanin as a Sensitizer for TiO2 Nanotubes in a Combined Process of Electrocoagulation and Photocatalysis for Methylene Blue Removal. Sustainability, 15(21), 15384. https://doi.org/10.3390/su152115384

