Evaluation of the Water Resource Carrying Capacity on the North Slope of the Tianshan Mountains, Northwest China
Abstract
1. Introduction
2. Study Area and Data
2.1. Study Area
2.2. Data Sources
2.3. Water Resources and Economic Conditions in the Study Area
3. Methods
3.1. Fuzzy Comprehensive Evaluation Model
3.2. Creation of the Evaluation Index System and Grading Standard
3.3. Determination of the Evaluation Index Weight
3.4. Model Calculation Subsection
4. Results
4.1. Analysis of the WRCC Evaluation Index Weight
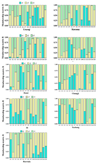
4.2. Analysis of the WRCC Evaluation Results
5. Discussion
6. Conclusions
- The carrying capacities of urban water resources on the northern slope of Tianshan Mountains were overall good, and these were all in a bearable state. Among these, Ili City produced a high WRCC, and thus, its potential for water resource development is great. Conversely, the WRCC for Turpan City was relatively low, which indicated a limited potential for the development of water resources. Despite the relatively low WRCCs for other regions, these areas retain some potential for the development of water resources.
- Regarding various subsystems, overall, the condition of the water resources and economic subsystems were better than those of the social and ecological subsystems. The highest evaluation value for the water resources subsystem was obtained from data for Ili City, while the lowest was linked to Turpan City. Conversely, the evaluation values for the economic subsystem were highest for Urumqi and least for Tacheng. In general, cities on the northern slope of the Tianshan Mountains produced low evaluation values for the ecological subsystem in 2018.
- The evaluation results can be used as a guide for the planning, sustainable development, and utilization of urban water resources on the northern slope of the Tianshan Mountains. Water resources are vital for urban development on the northern slope of the Tianshan Mountains. Therefore, henceforth, various cities in this region must adopt a rational development model based on local conditions. In Turpan and Hami, for example, which are areas characterized by low WRCCs, water associated with industrial and domestic sewage can be reclaimed for utilization in urban greening construction. In addition, industries can be located in areas with low water resources to reduce water consumption and pollution.
Author Contributions
Funding
Institutional Review Board Statement
Informed Consent Statement
Data Availability Statement
Acknowledgments
Conflicts of Interest
References
- Lv, A.; Han, Y.; Zhu, W.B.; Zhang, S.; Zhao, W. Risk assessment of water resources carrying capacity in China. Am. Water Resour. Assoc. 2021, 57, 539–551. [Google Scholar] [CrossRef]
- Yang, Y.H.; Liu, Y.; Cao, S.L.; Cheng, Y. A method of evaluating water resource assets and liabilities: A case study of Jinan City, Shandong Province. Water 2017, 9, 575. [Google Scholar] [CrossRef]
- Meng, L.Y.; Li, W.J. Fuzzy comprehensive evaluation model for water resources carrying capacity in Tarim River Basin, Xinjiang. Chin. Geogr. Sci. 2009, 19, 89–95. [Google Scholar] [CrossRef]
- Engelman, R.; Leroy, P.J. Population and the future of renewable water supplies. Sustain. Water 1993, 23, 296. [Google Scholar]
- Rijsberman, M.A.; van de Ven, F.H.M. Different approaches to assessment of design and management of sustainable urban water systems. Environ. Impact Assess. Rev. 2000, 20, 333–345. [Google Scholar] [CrossRef]
- Koop, S.; Leeuwen, C.J. Assessment of the sustainability of water resources management: A critical review of the city blueprint approach. Water Resour. Manag. 2015, 29, 5649–5670. [Google Scholar] [CrossRef]
- Duan, X.; Luan, F. Evaluation of water resources carrying capacity in Xinjiang based on fuzzy comprehensive model. J. China Popul. Resour. Environ. 2014, 24, 119–122. (In Chinese) [Google Scholar]
- Chi, M.B.; Zhang, D.S.; Fan, G.W.; Zhang, W.; Liu, H. Prediction of water resource carrying capacity by the analytic hierarchy process-fuzzy discrimination method in a mining area. Ecol. Indic. 2019, 96, 647–655. [Google Scholar] [CrossRef]
- Aman, R.; Fang, C. Research on development model sthatare suitable for water resources based on system dynamics model. Environ. Sci. Technol. 2020, 43, 205–215. (In Chinese) [Google Scholar] [CrossRef]
- Hou, G.Y.; Tang, D.S. Fuzzy Comprehensive Evaluation of Water Resources Carrying Capacity Based on Vague Method. In Proceedings of the 3rd International Conference on Civil Engineering and Transportation (ICCET 2013), Kunming, China, 14–15 December 2013. [Google Scholar] [CrossRef]
- Gao, Y.; Zhang, H.M.; Xu, G.W.; Su, H. Fuzzy Comprehensive Evaluation of Water Resources Carrying Capacity in Suzhou City of Anhui Province. In Proceedings of the 3rd International Symposium On Multi-Field Coupling Theory of Rock and Soil Media and Its Applications, China Three Gorges University, Yichang, China, 20–21 October 2012. [Google Scholar] [CrossRef]
- Wang, H. Fuzzy Comprehensive Evaluation model for eco-environmental carrying capacity related to water in Tie Ling section of Liao River Basins, China. In Proceedings of the International Conference on Chemical, Material and Food Engineering (CMFE), Kunming, China, 25–26 July 2015. [Google Scholar]
- Zhang, W.P.; Li, B.; Liu, Z.J.; Zhang, B. Application of improved fuzzy comprehensive evaluation method in Karst groundwater quality evaluation: A case study of Cengong county. Earth Sci. Inform. 2021, 14, 1101–1109. [Google Scholar] [CrossRef]
- Wang, G.; Xiao, C.L.; Qi, Z.W.; Meng, F.; Liang, X. Development tendency analysis for the water resource carrying capacity based on system dynamics model and the improved fuzzy comprehensive evaluation method in the Changchun City, China. Ecol. Indic. 2021, 122, 107232. [Google Scholar] [CrossRef]
- Fang, C.L.; Gao, Q.; Zhang, X.L.; Cheng, W. Spatiotemporal characteristics of the expansion of an urban agglomeration and its effect on the eco-environment: Case study on the northern slope of the Tianshan mountains. Sci. China-Earth Sci. 2019, 62, 1461–1472. [Google Scholar] [CrossRef]
- Gong, L.; Jin, C.L. Fuzzy comprehensive evaluation for carrying capacity of regional water resources. Water Resour. Manag. 2009, 23, 2505–2513. [Google Scholar] [CrossRef]
- Jia, Y.Z.; Shen, J.Q.; Wang, H. Calculation of water resource value in Nanjing based on a fuzzy mathematical model. Water 2018, 10, 920. [Google Scholar] [CrossRef]
- Tian, H.; Liu, L.; Zhang, Z.; Ning, S.; Kang, Z.W.; Wang, T.X. Evaluation on the critical ecological space of the economic belt of Tianshan north slope. Acta Ecol. Sin. 2021, 41, 401–414. (In Chinese) [Google Scholar]
- Wu, Y.; Ma, Z.Y.; Li, X.; Sun, L.; Sun, S.; Jia, R. Assessment of water resources carrying capacity based on fuzzy comprehensive evaluation—Case study of Jinan, China. Water Supply 2021, 21, 513–524. [Google Scholar] [CrossRef]
- Wu, X.L.; Hu, F. Analysis of ecological carrying capacity using a fuzzy comprehensive evaluation method. Ecol. Indic. 2020, 113, 106243. [Google Scholar] [CrossRef]
- Zhang, J.D.; Fu, J.T.; Liu, C.Y.; Qu, Z.; Li, Y.; Li, F.; Yang, Z.; Jiang, L. Evaluating water resource assets based on fuzzy comprehensive evaluation model: A case study of Wuhan city, China. Sustainability 2019, 11, 4627. [Google Scholar] [CrossRef]
- Wang, Y.; Shi, R.; Qiao, C. Evaluation of water resources carrying capacity based on fuzzy comprehensive evaluation method in northern slope economic belt of Tianshan mountains. Bull. Soil Water Conserv. 2018, 38, 206–212. (In Chinese) [Google Scholar] [CrossRef]
- Zhang, Q.; Li, S.; Xia, H. A study on water resources carrying capacity of three provinces in northeast China based on fuzzy comprehensive evaluation model. Bull. Soil Water Conserv. 2019, 39, 179–188. (In Chinese) [Google Scholar] [CrossRef]
- Yin, J.J.; Cui, Y.L.; Liu, F.P. Study on water resources carrying capacity in Ganfu plain irrigation district based on fuzzy comprehensive evaluation. Water Sav. Irrig. 2016, 140, 131–134. [Google Scholar]
- An, Q.; Wei, C.; He, H.; Cui, Y.; Nie, Q. Evaluation of water resources carrying capacity of central plains urban agglomeration in Henan province based on fuzzy comprehensive evaluation method. Water Sav. Irrig. 2019, 12, 65–71. (In Chinese) [Google Scholar]
- Gao, C.; Mei, Y.D.; Sun-Yun, L.V.; Wang, Y.; Yuan, J.-B. Assessment and prediction of water resources carrying capacity based on AHP-fuzzy method: A case study on Hanjiang river basin. J. Tangtze River Entific Res. Inst. 2014, 31, 21–28. [Google Scholar] [CrossRef]
- Ren, C.F.; Li, Z.H.; Zhang, H.B. Integrated multi-objective stochastic fuzzy programming and ahp method for agricultural water and land optimization allocation under multiple uncertainties. J. Clean. Prod. 2019, 210, 12–24. [Google Scholar] [CrossRef]
- Wang, H.Y.; Liu, C.Y.; Zhao, Z.H.; Zhang, J.; Li, Z.; Li, F.; Liu, M. Efficiency evaluation of an internet plus university student affairs system based on fuzzy theory and the analytic hierarchy process. J. Intell. Fuzzy Syst. 2016, 31, 3121–3130. [Google Scholar] [CrossRef]
- Dai, M.; Wang, L.; Wei, X. Spatial Difference of water resources carrying capacity of Guangxi using fuzzy comprehensive evaluation model based on entropy weight method. Res. Soil Water Conserv. 2016, 23, 193–199. (In Chinese) [Google Scholar] [CrossRef]
- Wang, T.; Chen, J.S.; Li, L. Entropy analysis of stable isotopes in precipitation: Tracing the monsoon systems in China. Sci. Rep. 2016, 6, 30389. [Google Scholar] [CrossRef][Green Version]
- Wang, X.; Pan, H.J. Fuzzy Comprehensive evaluation of water quality management information system. Adv. Mater. Res. 2014, 1044, 486–489. [Google Scholar] [CrossRef]
- Ge, Y.X.; Wu, J.; Zhang, D.S.; Jia, R.; Yang, H. Uncertain analysis of fuzzy evaluation model for water resources carrying capacity: A case study in Zanhuang county, north China plain. Water 2021, 13, 3804. [Google Scholar] [CrossRef]









| Criterion Layer | Index Layer | |||
|---|---|---|---|---|
| water resources subsystem | per capita water resources | >4000 | 500–4000 | <500 |
| annual precipitation | >450 | 300–450 | <300 | |
| development and utilization rate of water resources | <30 | 30–80 | >80 | |
| water production modulus | >45 | 10–45 | <10 | |
| water supply modulus | <5 | 5–7 | >7 | |
| social subsystem | population density | <25 | 25–100 | >100 |
| natural population growth rate | <0.8 | 0.8–1.6 | >1.6 | |
| urbanization rate | >80 | 40–80 | <40 | |
| domestic water quota | <70 | 70–130 | >130 | |
| economic subsystem | GDP growth | >8 | 2–8 | <2 |
| per capita GDP | >7 | 2–7 | <2 | |
| water consumption per 10,000 yuan GDP | <200 | 200–300 | >300 | |
| proportion of water for primary industry | <45 | 45–75 | >75 | |
| ecosystem subsystem | water consumption rate of ecological environment | >5 | 2–5 | <2 |
| forest coverage | >30 | 10–30 | <10 |
| Region Name | ||||
|---|---|---|---|---|
| Ili | 0.3106 | 0.3895 | 0.3009 | 0.5049 |
| Boertala | 0.1746 | 0.6168 | 0.2086 | 0.4847 |
| Urumqi | 0.2368 | 0.4567 | 0.3064 | 0.4687 |
| Tacheng | 0.2628 | 0.3945 | 0.3428 | 0.4641 |
| Changji | 0.2016 | 0.4373 | 0.3611 | 0.4282 |
| Hami | 0.2217 | 0.3755 | 0.4028 | 0.4185 |
| Karamay | 0.1576 | 0.4725 | 0.370 | 0.4045 |
| Shihezi | 0.138 | 0.5097 | 0.3523 | 0.4036 |
| Turpan | 0.1525 | 0.350 | 0.4969 | 0.3447 |
Publisher’s Note: MDPI stays neutral with regard to jurisdictional claims in published maps and institutional affiliations. |
© 2022 by the authors. Licensee MDPI, Basel, Switzerland. This article is an open access article distributed under the terms and conditions of the Creative Commons Attribution (CC BY) license (https://creativecommons.org/licenses/by/4.0/).
Share and Cite
Zhi, X.; Anfuding, G.; Yang, G.; Gong, P.; Wang, C.; Li, Y.; Li, X.; Li, P.; Liu, C.; Qiao, C.; et al. Evaluation of the Water Resource Carrying Capacity on the North Slope of the Tianshan Mountains, Northwest China. Sustainability 2022, 14, 1905. https://doi.org/10.3390/su14031905
Zhi X, Anfuding G, Yang G, Gong P, Wang C, Li Y, Li X, Li P, Liu C, Qiao C, et al. Evaluation of the Water Resource Carrying Capacity on the North Slope of the Tianshan Mountains, Northwest China. Sustainability. 2022; 14(3):1905. https://doi.org/10.3390/su14031905
Chicago/Turabian StyleZhi, Xiaojun, Gulishengmu Anfuding, Guang Yang, Ping Gong, Chunxia Wang, Yi Li, Xiaolong Li, Pengfei Li, Chenxi Liu, Changlu Qiao, and et al. 2022. "Evaluation of the Water Resource Carrying Capacity on the North Slope of the Tianshan Mountains, Northwest China" Sustainability 14, no. 3: 1905. https://doi.org/10.3390/su14031905
APA StyleZhi, X., Anfuding, G., Yang, G., Gong, P., Wang, C., Li, Y., Li, X., Li, P., Liu, C., Qiao, C., & Gao, Y. (2022). Evaluation of the Water Resource Carrying Capacity on the North Slope of the Tianshan Mountains, Northwest China. Sustainability, 14(3), 1905. https://doi.org/10.3390/su14031905

