A Case Study of Initial Vegetation Restoration Affecting the Occurrence Characteristics of Phosphorus in Karst Geomorphology in Southwest China
Abstract
:1. Introduction
2. General Regional Characteristics and Research Methods
2.1. General Characteristics of the Research Area
2.2. Research Methods
- (1)
- Sample collection
- (2)
- Treatment and determination of samples
- (3)
- Data analysis and processing
3. Results
3.1. Distribution Characteristics of P Content in the Topsoil of Different Landforms
- (1)
- Distribution characteristics of TP with different particle sizes in topsoil
- (2)
- Distribution characteristics of AP in different soil particle sizes
3.2. Vertical Distribution Characteristics of Soil P Content in Different Landforms
- (1)
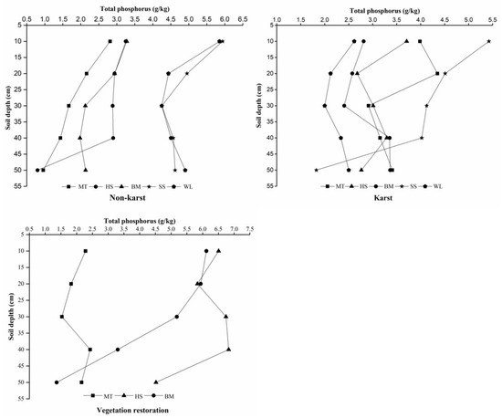
- Distribution characteristics of the TP content in soils of different landforms
- (2)
- Distribution characteristics of AP content in soils of different landforms
3.3. Correlation Analysis between P Content and Soil Physical and Chemical Properties
- (1)
- Principal coordinate analysis (PCA) of soil physical and chemical properties in different geomorphological landforms
- (2)
- Interpretation of soil P elements and soil physical and chemical factors in different landforms
4. Discussion
4.1. Effect of Karst Geomorphology on the Content of Soil P Components
4.2. Effect of Vegetation Restoration on Soil P Content
5. Conclusions
- (1)
- The content of soil phosphorus in the non-karst landform was significantly lower than that in the karst landform. In the vertical direction, the phosphorus content in the non-karst landform decreased gradually with increasing depth, showing the phenomenon of surface enrichment, while the karst landform did not show surface enrichment. The TP content in the topsoil of the geomorphology after vegetation restoration is generally higher than that of the karst landform and non-karst landform, and the AP content has no obvious distribution. After vegetation restoration, the contents of TP and AP in the surface soil of the karst landform are generally higher than those of karst landform and non-karst landform, indicating that the soil after vegetation restoration can intercept more phosphorus so that plants can absorb and utilize it.
- (2)
- In the process of vegetation restoration, soil TP content converges between geomorphology after vegetation restoration and non-karst landform, while the soil AP content fluctuates greatly. The analysis shows that the change in soil TP and AP contents is mainly affected by the vegetation community, while the change in soil TP and AP contents in mountain areas is also affected by soil organic matter, pH, soil particle size, and climatic conditions. This shows that vegetation restoration has played a certain role in the control of karst rocky desertification, and this is the first time the distribution of single phosphorus in karst landform has been evaluated through a vegetation restoration model, which has certain research significance.
- (3)
- After vegetation restoration under karst landform, the increase in vegetation coverage can promote the absorption of phosphorus in topsoil. Although the content of TP and AP is slightly higher than that of karst landform, the difference is small. Due to the short restoration years, further research is needed to further verify the effect mechanism of vegetation restoration on soil phosphorus.
Author Contributions
Funding
Institutional Review Board Statement
Informed Consent Statement
Data Availability Statement
Conflicts of Interest
References
- Wang, S.J. Karst Rocky Desertification—The most serious Eco-geological Environmental problem in Southwest China. Bull. Mineral. Petrol. Geochem. 2003, 22, 120–126. [Google Scholar]
- Liu, C.C.; Wei, Y.F.; Liu, Y.G.; Guo, K. Biomass of canopy and shrub layers of Karst forests in Puding, Guizhou, China. Chin. J. Plant Ecol. 2009, 33, 698–705. [Google Scholar]
- Sheng, M.Y.; Xiong, K.N.; Wang, L.J.; Li, R.; Tian, X.J. Response of soil physical and chemical properties to Rocky desertification succession in South China Karst. Carbonates Evaporites 2018, 33, 15–28. [Google Scholar] [CrossRef]
- Cao, J.H.; Yuan, D.X.; Tong, L.Q.; Azim, M.A.L.L.I.K.; Yang, H.; Huang, F. An Overview of Karst Ecosystem in Southwest China: Current State and Future Management. J. Resour. Ecol. 2015, 6, 247–256. [Google Scholar]
- Wang, K.L.; Yue, Y.M.; Ma, Z.L.; Lei, T.W.; Li, D.J.; Song, T.Q. Research and demonstration on technologies for rocky desertification treatment and ecosystem services enhancement in karst peak-cluster depression regions. Acta Ecol. Sin. 2016, 36, 7098–7102. [Google Scholar]
- Yan, X.J.; Yang, W.H.; Chen, X.H.; Wang, M.K.; Wang, W.Q.; Ye, D.L.; Wu, L.Q. Soil Phosphorus Pools, Bioavailability and Environmental Risk in Response to the Phosphorus Supply in the Red Soil of Southern China. Int. J. Environ. Res. Public Health 2020, 17, 7384. [Google Scholar] [CrossRef]
- Lu, X.Q.; Hiroto, T.; Ding, F.J.; Fang, S.G.; Yang, W.X.; Xu, H.G. Effect of vegetation types on chemical and biological properties of soils of karst ecosystems. Eur. J. Soil Biol. 2014, 61, 49–57. [Google Scholar] [CrossRef]
- Hu, P.L.; Xiao, J.; Zhang, W.; Xiao, L.M.; Yang, R.; Xiao, D.; Zhao, J.; Wang, K.L. Response of soil microbial communities to natural and managed vegetation restoration in a subtropical karst region. Catena 2020, 195, 104849. [Google Scholar] [CrossRef]
- Yang, S.F.; Wang, C.J.; Sun, Q.Z.; Wang, Y. Analysis on the effectiveness and Countermeasures of Comprehensive Control of Rocky Desertification in Guizhou Province. Soil Water Conserv. China 2021, 6, 8–11. [Google Scholar]
- Yu, P.; Zhang, X.; Gu, H.Y.; Pan, J.P.; Chen, X.W. Soil phosphorus fractions and their availability over natural succession from clear-cut of a mixed broadleaved and Korean pine forest in northeast China. J. For. Res. 2022, 33, 253–260. [Google Scholar] [CrossRef]
- Cheng, S.D.; Ke, G.G.; Li, Z.B.; Cheng, Y.T.; Wu, H. Soil Available Phosphorus Investigated for Spatial Distribution and Effect Indicators Resulting from Ecological Construction on the Loess Plateau, China. Sustainability 2021, 13, 12572. [Google Scholar] [CrossRef]
- Zhang, Y.N.; Zhou, X.G.; Wen, Y.G.; Zhu, H.G.; Wang, L.; Shao, W.Z.; Chen, Q.H. Characteristics of soil microbial community structure of three plantations in a karst region. Guihaia 2021, 42, 1–17. [Google Scholar]
- Wang, D.G.; Zhang, Q.Y.; Cao, W.C.; Zhou, G.F.; Wang, J.C. Effects of Different Land Use Types on Soil Phosphorous Availability and Phosphate-solubilizing Bacterial Community Structure. Cin. J. Trop. Crops 2021, 42, 3646–3654. [Google Scholar]
- He, Y.; Sheng, M.Y.; Wang, K.; Wang, L.J. Effect of Land Use Change to Constitution, Stability, and C, N, P Stoichiometric Characteristics of Soil Aggregates in Southwest China Karst. Environ. Sci. 2022, 43, 3752–3762. [Google Scholar]
- Zhang, J.; Chen, H.S.; Fu, Z.Y.; Wang, K. Effects of vegetation restoration on soil properties along an elevation gradient in the karst region of southwest China. Agric. Ecosyst. Environ. 2021, 320, 107572. [Google Scholar] [CrossRef]
- Zhou, X.G.; Wen, Y.G.; Wang, L.; Sun, D.Q.; Ming, A.G. Changes of vegetation and Plant Diversity under different remediation stands of Karst Rocky Desertification. Guangxi Sci. 2022, 29, 71–87. [Google Scholar]
- Ding, Q.W.; Bai, J.H.; Gao, H.F.; Xiao, R.; Cui, B.S. Soil Nutrient Contents in Yellow River Delta Wetlands with Different Plant Communities. J. Agro-Environ. Sci. 2009, 28, 2092–2097. [Google Scholar]
- Han, Y.; Byoungkoo Choi Chen, X.W. Adsorption and Desorption of Phosphorus in Biochar-Amended Black Soil as Affected by Freeze-Thaw Cycles in Northeast China. Sustainability 2018, 10, 1574. [Google Scholar] [CrossRef]
- Zhou, L.Q.; Wu, Y.H.; Cai, Y.; Min, S.X. Coupling Mechanism of Phosphorus and Nitrogen, Carbon Cycles in Critical Zone of Wetland. J. Earth Sci. Environ. 2022, 44, 91–101. [Google Scholar]
- Liu, C.Q.; Lang, Y.C.; Li, S.L.; Piao, H.C.; Tu, C.L.; Liu, T.Z.; Zhang, W.; Zhu, S.F. Researches on biogeochemical processes and nutrient cycling in karstic ecologi-cal systems southwest China: A review. Earth Sci. Front. 2009, 16, 1. [Google Scholar]
- Yin, X.X.; Hua, L.; Zhang, Z.X.; Hua, L.P.; Gao, J. Study on the Effectiveness of Phosphorus and Mechanism of its Circle in Soil. J. Cap. Norm. Univ. (Nat. Sci. Ed.) 2005, 26, 95–101. [Google Scholar]
- Lu, Y.M.; Wu, D.M.; Xu, E.L.; Lu, S.X.; Liu, X.F.; Liu, C.H.; Jiang, Z.K.; Guo, J.F. Effects of Chinese Fir Interplanting with Broadleaved Trees on Soil Phosphorus F ractions. J. Soil Water Conserv. 2020, 34, 275–282. [Google Scholar]
- Wang, Y.P.; Law, R.M.; Pak, B. A global model of carbonnitrogen, and phosphorus cycles for the terrestrial biosphere. Biogeosciences 2010, 7, 2261–2282. [Google Scholar] [CrossRef]
- Zhou, Q.; Jiang, Y.B.; Hao, J.H.; Ji, J.F.; Li, W. Advances in the Study of Biogeochemical Cycles of Phosphorus. Geol. J. China Univ. 2021, 27, 183–199. [Google Scholar]
- Chen, M.L.; Chen, H.; Mao, Q.G.; Zhu, X.M.; Mo, J.M. Effect of nitrogen deposition on the soil phosphorus cycle in forest ecosystems: A review. Acta Ecol. Sin. 2016, 36, 4965–4976. [Google Scholar]
- Zhang, H.; Wu, L.N.; Ouyang, K.C.; Feng, Z.W. Responses of riparian soil carbon and phosphorus to land use evolution in karst area. Yangtze River. 2022, 53, 50–57. [Google Scholar]
- Xue, X.H.; Xiong, J.S.; Wang, Y.L. Distribution and Residue of Soil Total P and Available P under Different Land Use Types in Northwest Guizhou. J. Henan Agric. Sci. 2017, 46, 44–48. [Google Scholar]
- Yang, X.T.; Fan, J.; Ge, J.M.; Du, M.G.; Jin, M. Soil physical and chemical properties and vegetation characteristics of different types of grassland in Qilian Mountains, China. Chin. J. Appl. Ecol. 2022, 33, 878–886. [Google Scholar]
- Christine, H.; Alfons, W.; Marie, S. Soil microbial biomass C:N:P stoichiometry and microbial use of organic phosphorus. Soil Biol. Biochem. 2015, 85, 119–129. [Google Scholar]
- Li, D.W.; Wang, Z.Q.; Tian, H.X.; He, W.X.; Geng, Z.C. Carbon, Nitrogen and Phosphorus Contents in Soils on Taibai Mountain and Their Ecological Stoichiometry relative to Elevation. Acta Pedol. Sin. 2017, 54, 160–170. [Google Scholar]
- Chavarro-Bermeo, J.P.; Arruda, B.; Mora-Motta, D.A.; Bejarano-Herrera, W.; Ortiz-Morea, F.A.; Somenahally, A.; Silva-Olaya, A.M. Responses of Soil Phosphorus Fractions to Land-Use Change in Colombian Amazon. Sustainability 2022, 14, 2285. [Google Scholar] [CrossRef]
- Sun, C.L.; Wang, Y.W.; Wang, C.J.; Li, Q.J.; Wu, Z.H.; Yuan, D.S.; Zhang, J.L. Effects of land use conversion on soil extracellular enzyme activity and its stoichiometric characteristics in karst mountainous areas. Acta Ecol. Sin. 2021, 41, 4140–4149. [Google Scholar]
- Qi, J.W.; Li, K.M.; Li, Y.C.; Lei, J.H. Restoration Strategies of Caohai Wetland in Guizhou Province. Cent. South For. Inventory Plan. 2012, 31, 39–40. [Google Scholar]
- Wang, X.F.; Huang, X.F.; Hu, J.W.; Zhang, Z.M. Relationship Among Soil Organic Carbon and Small Environment and Lithology in the Rocky Desertification Process in Different Karst Landforms. J. Soil Water Conserv. 2020, 34, 295–303. [Google Scholar]
- Wu, H.; Zhang, J.L.; Fan, Y.W.; Yu, L.F.; Yan, L.B.; Yuan, C.J. Numerical classification and ordination of forest communities in Caohai basin. J. Nanjing For. Univ. (Nat. Sci. Ed.) 2013, 37, 47–52. [Google Scholar]
- Zhang, J.L.; Wu, H.; Yu, L.F.; Yan, L.B.; Yuan, C.J.; Cai, G.J. Grass sea wetland basin is a typical karst forest community α, β diversity analysis. For. Sci. Technol. 2013, 9, 7–11. [Google Scholar]
- Murphy, J.; Riley, J.P. A modified single solution method for the determination of phosphate in natural waters. Anal. Chim. Acta 1962, 27, 31–36. [Google Scholar] [CrossRef]
- Olsen, S.R.; Sommers, L.E. Phosphorous. In Methods of Soil Analysis: Chemical andMicrobial Properties, Part 2; Page, A.L., Miller, R.H., Keeney, D.R., Eds.; Agronomy Society of America: Madison, WI, USA, 1982; pp. 403–430. [Google Scholar]
- Wu, Y.J.; Tian, X.; Zhang, M.Y.; Wang, S. Influence of vegetation restoration on carbon in the lakeside zone of Karst Wetland in Guizhou Plateau. Acta Ecol. Simica 2022, 42, 1–11. [Google Scholar]
- Zhao, W.J.; Liu, X.D.; Jin, M.; Zhang, X.L. Ecological Stoichiometric Characteristics of Carbon, Nitrogen and Phosphorus in Leaf-Litter-Soil System of Picea Crassifolia Forest in the Qilian Mountains. Acta Pedol. Sin. 2016, 53, 477–489. [Google Scholar]
- Xi, M.; Sun, X.L.; Kong, F.L.; Li, R. Spatial Distribution Characteristics of Phosphorus in Soil and Availability Analysis in Mudflat and Salt Marshes in the Jiaozhou Bay. Wetl. Sci. 2018, 16, 17–23. [Google Scholar]
- Zhou, C.Y.; Chen, X.; Yang, P.; Peng, X.; Wu, K.H.; Tang, J.G. Soil Nutrient Content of Different Land-use Types in Karst Rocky Desertification Area in Central Guizhou Province. J. Anhui Agric. Sci. 2008, 36, 15071–15073. [Google Scholar]
- Liu, F.; Wang, S.J.; Liu, Y.S.; He, T.B.; Luo, H.B.; Long, J. Changes of soil quality in the process of karst rocky desertification and evaluation of impact on ecological environment. Acta Ecol. Simica 2005, 25, 639–644. [Google Scholar]
- Gao, Y.; He, N.P.; Yu, G.R.; Chen, W.L.; Wang, Q.F. Long-term effects of different land use types on C, N, and P stoichiometry and storage in, subtropical ecosystems: A case study in China. Ecol. Eng. 2014, 67, 171–181. [Google Scholar] [CrossRef]
- Zhang, Q.; Han, G.L.; Liu, M.; Yang, K.Y.; Liu, Q. Spatial distribution of soil phosphorus and controlling factors from Puding karst critical zone, Guizhou Province, Southwest China. Chin. J. Ecol. 2019, 38, 321–328. [Google Scholar]
- Zhao, Q.; Zeng, D.H. Phosphorus Cycling in Terrestrial Ecosystems and its Controlling Factors. Chin. J. Plant Ecol. 2005, 29, 153–163. [Google Scholar]
- Kong, J.J.; Zhang, H.Y.; Jing, S. Dynamic characteristics of forest soil phosphorus in the early succession after fire in Great Xing’an Mountains. Chin. J. Ecol. 2017, 36, 1515–1523. [Google Scholar]
- Zhou, S.G.; Li, N.; Margenot, A.J. Soil meets stream: Vertical distribution of soil phosphorus in streambanks. Geoderma 2022, 424, 115989. [Google Scholar] [CrossRef]
- Fang, X.; Chen, J.L.; Wang, L.F.; Li, S.N.; Lei, P.F. Research progress on soil phosphorus availability and its influential factors in subtropical forests. J. Cent. South Univ. For. Technol. 2018, 38, 1–12. [Google Scholar]
- Zhang, J.; Zheng, T.H.; Xiao, S.S.; Liao, K.T. Effects of different vegetative restoration patterns on soil chemical properties and corrosion resistance of soils derived from red sandstone. Trans. Chin. Soc. Agric. Eng. (Trans. CSAE) 2018, 34, 115–122. [Google Scholar]
- Han, F.; Wang, B.Q.; Zhang, S.P.; Yu, L.J. Driving Effects of Vegetation on the Distributions of Soil Aggregates and Phosphorus in Ziwuling Mountain. Res. Soil Water Conserv. 2019, 26, 118–122. [Google Scholar]
- Allison, S.D.; Peter, M. Vitousek Responses of extracellular enzymes to simple and complex nutrient inputs. Soil Biol. Biochem. 2005, 37, 937–944. [Google Scholar] [CrossRef]
- Chai, Y.X.; Diao, S.Q. The characters and effects of available phosphorus in dahurian larch-Manchurica ash mixed seedling stand. J. Northeast. For. Univ. 1996, 6, 109–113. [Google Scholar]
- Zhou, F.Y.; Zhang, X.Y.; Zhao, Z.H.; Wu, Y.L.; Lei, Z.Y. Effects of sand-fixing forest growth of Mongolian pine on soil phosphorus change. Acta Ecol. Sin. 2022, 42, 635–645. [Google Scholar]
- Chen, Y.R.; Yang, Y.; Zhang, X.T.; Yang, Y.B.; Wang, H.H.; Wang, W.J. Effects of after-burning rehabilitation times on soil phosphorus and its availability in the Daxing’anling forests. Acta Ecol. Sin. 2019, 39, 7977–7986. [Google Scholar]
- Chen, Y.L.; Han, S.J.; Zou, C.J.; Zhou, Y.M.; Yu, X. The pH change in rhizosphere ofPinus koraiensis seedlings as affected by different nitrogen sources and its effect on phosphorus availability. J. For. Res. 2001, 12, 247–249. [Google Scholar]
- Jiang, H.H.; Li, J.Q.; Chen, G.; Wang, T.; Chi, X.Y.; Qi, P.S. Phosphate Solubilizing Microorganisms and Application Progress in Saline-alkaline Soil. Soils 2021, 53, 1125–1131. [Google Scholar]
- Charles, A.A. Comparison of the Contributions of Clay, Silt, and Organic Matter to the Effective Cec of Soils of Subsaharan Africa. Soil Sci. 1998, 163, 508. [Google Scholar]










| Transect | Latitude Longitude | Phytocoenosium | Altitude/m | Vegetation Coverage/ % | Soil Type | Average Plant Heigh/m | Plant Density Plant/m2 |
|---|---|---|---|---|---|---|---|
| Non-karst | 104°12′1.82″–104°13′1.82″ E 26°52′3.10″–26°52′20.60″ N | Arbor community: With Locust tree (Sophora japonica L.), Cypress (Sabina chinensis (L.), fir (Cunninghamia lanceolata (Lamb.) Hook) and so on primarily; | 2174–2196 | 85 | Yellow soil | Arbor community: 8 | Arbor community: 0.02 |
| Shrub community: With Juniperus rigida (Juniperus rigida S. et Z) and firethorn (Pyracantha fortuneana (Maxim.) Li) primarily; | Shrub community: 2.5 | Shrub community: 0.07 | |||||
| Herb community: With artemisia argyi (Eleusine indica (L.) Gaertn), water celery (Oenanthe javanica (Bl.) DC.) and rushes primarily (Juncus effusus). | Herb community: 0.5 | Herb community:12 | |||||
| Karst | 104°14′0.33″–104°14′2.81″ E 26°51′51.11″–26°52′0.38″ N | Herb community: Take Trifolium (Trifolium Linn), rushes (Juncus effusus) and Artemisia the dominant factor. | 2179–2202 | 40 | Calcareous soil | community: 0.7 | community: 40 |
| Vegetation restoration | 104°13′53.40″–104°13′7.0″ E 26°51′56.86″–26°52′0.81″ N | Arbor community: Take elm tree (Ulmus pumila L.) the dominant factor; | 2179–2202 | 60 | Calcareous soil | Arbor community: 5 | Arbor community: 0.04 |
| Shrub community: Take pepper wood (Zanthoxylum piperitum Benn) the dominant factor; | Shrub community: 1.5 | Shrub community: 0.06 | |||||
| Herb community: Golden Rooster Chrysanthemum (Coreopsis drummondii Torr. et Gray) and Artemisia (Artemisia carvifolia) the dominant factor. | Herb community: 0.6 | Herb community: 25 |
| Transect | Point | pH | SWC/% | BD | EC(μs/cm) | NO3−-N (mg/kg) | NH4+-N (mg/kg) | SOC (g/kg) | ROC (mg/kg) | DOC (mg/kg) |
|---|---|---|---|---|---|---|---|---|---|---|
| MT | 4.19 ± 0.11 b | 25.15 ± 6.57 b | 1.41 ± 0.11 a | 42.77 ± 12.23 c | 3.04 ± 2.17 a | 14.81 ± 2.2 a | 16.59 ± 2.66 | 2.30 ± 0.26 a | 2.61 ± 0.42 a | |
| Non - | HS | 4.41 ± 0.29 b | 27.56 ± 3.65 b | 1.39 ± 0.02 a | 38.87 ± 15.42 c | 3.20 ± 3.35 a | 11.61 ± 1.1 c | 18.07 ± 4.0 bc | 2.26 ± 0.26 ab | 2.16 ± 0.35 a |
| karst | BM | 4.44 ± 0.23 b | 30.8 ± 4.27 ab | 1.36 ± 0.14 a | 36.03 ± 11.44 c | 4.51 ± 4.32 a | 10.9 ± 1.1 bc | 11.16 ± 5.29 c | 2.38 ± 0.43 a | 2.18 ± 0.29 a |
| SS | 7.40 ± 0.30 a | 26.62 ± 1.57 b | 1.51 ± 0.02 a | 75.90 ± 15.40 b | 3.76 ± 1.49 a | 11.21 ± 1.1 b | 18.57 ± 1.83 b | 2.35 ± 0.30 b | 2.03 ± 0.39 b | |
| WL | 7.16 ± 0.43 a | 36.95 ± 0.93 a | 1.32 ± 0.02 a | 125.63 ± 17.25 a | 2.67 ± 1.26 a | 10.62 ± 1.3 b | 19.47 ± 1.54 b | 2.16 ± 0.19 a | 2.64 ± 0.37 ab | |
| MT | 8.26 ± 0.10 a | 31.66 ± 0.06 a | 1.37 ± 0.06 a | 137.37 ± 13.69 a | 1.08 ± 1.43 c | 2.81 ± 2.05 b | 12.36 ± 1.75 c | 1.60 ± 0.34 a | 1.62 ± 0.33 a | |
| HS | 8.22 ± 0.09 a | 37.61 ± 0.09 a | 1.30 ± 0.09 a | 81.10 ± 24.47 b | 1.34 ± 1.05 c | 3.19 ± 2.25 b | 9.37 ± 6.23 b | 1.74 ± 0.41 a | 1.73 ± 0.17 a | |
| Karst | BM | 7.77 ± 0.08 a | 38.67 ± 0.09 a | 1.26 ± 0.09 a | 59.70 ± 18.93 b | 1.44 ± 1.05 c | 4.73 ± 0.1 ab | 4.52 ± 2.19 c | 1.16 ± 0.43 a | 1.25 ± 0.21 a |
| SS | 7.81 ± 0.13 ab | 30.67 ± 0.18 a | 1.49 ± 0.18 a | 116.67 ± 8.61 b | 7.09 ± 2.26 a | 8.44 ± 0.09 a | 19.81 ± 0.77 b | 2.38 ± 0.51 b | 1.33 ± 0.40 ab | |
| WL | 7.82 ± 0.13 ab | 29.28 ± 0.17 a | 1.48 ± 0.17 a | 214.03 ± 34.70 a | 4.54 ± 0.88 b | 8.58 ± 0.10 a | 26.52 ± 4.37 a | 1.46 ± 0.40 b | 1.96 ± 0.49 b | |
| MT | 7.99 ± 0.10 a | 22.02 ± 0.19 a | 1.59 ± 0.19 a | 99.20 ± 32.72 bc | 2.61 ± 0.67 a | 6.77 ± 0.33 a | 8.77 ± 2.15 c | 1.58 ± 0.57 a | 2.00 ± 0.49 a | |
| Vegetation restoration | HS | 6.47 ± 0.33 b | 29.06 ± 0.06 a | 1.22 ± 0.06 a | 36.63 ± 11.87 c | 3.17 ± 1.45 a | 5.21 ± 0.61 a | 5.83 ± 1.57 b | 1.40 ± 0.37 a | 1.74 ± 0.27 a |
| BM | 7.38 ± 0.61 ab | 25.42 ± 0.16 a | 1.41 ± 0.16 a | 89.83 ± 47.55 bc | 2.70 ± 0.45 a | 6.43 ± 0.06 a | 7.24 ± 2.81 a | 1.23 ± 0.32 a | 1.25 ± 0.12 ab |
Publisher’s Note: MDPI stays neutral with regard to jurisdictional claims in published maps and institutional affiliations. |
© 2022 by the authors. Licensee MDPI, Basel, Switzerland. This article is an open access article distributed under the terms and conditions of the Creative Commons Attribution (CC BY) license (https://creativecommons.org/licenses/by/4.0/).
Share and Cite
Wu, Y.; Tian, X.; Zhang, M.; Wang, R.; Wang, S. A Case Study of Initial Vegetation Restoration Affecting the Occurrence Characteristics of Phosphorus in Karst Geomorphology in Southwest China. Sustainability 2022, 14, 12277. https://doi.org/10.3390/su141912277
Wu Y, Tian X, Zhang M, Wang R, Wang S. A Case Study of Initial Vegetation Restoration Affecting the Occurrence Characteristics of Phosphorus in Karst Geomorphology in Southwest China. Sustainability. 2022; 14(19):12277. https://doi.org/10.3390/su141912277
Chicago/Turabian StyleWu, Yunjie, Xin Tian, Mingyi Zhang, Runze Wang, and Shuo Wang. 2022. "A Case Study of Initial Vegetation Restoration Affecting the Occurrence Characteristics of Phosphorus in Karst Geomorphology in Southwest China" Sustainability 14, no. 19: 12277. https://doi.org/10.3390/su141912277
APA StyleWu, Y., Tian, X., Zhang, M., Wang, R., & Wang, S. (2022). A Case Study of Initial Vegetation Restoration Affecting the Occurrence Characteristics of Phosphorus in Karst Geomorphology in Southwest China. Sustainability, 14(19), 12277. https://doi.org/10.3390/su141912277
