Synergistic Effects between Carbonation and Cracks in the Hardened Cement Paste
Abstract
:1. Introduction
2. Experimental Program
2.1. Cement Paste Mixing, Casting and Curing
2.2. Artificial Crack Preparation
2.3. Sample Pre-Conditioning and Accelerated Carbonation Setup
2.4. Phenolphthalein Tests
2.5. Thermogravimetric Analysis
2.6. Mip and N2-Adsorption Measurements
3. Results and Discussion
3.1. Carbonation Depth Measured by Phenolphthalein Spraying
3.2. Portlandite and Calcium Carbonate Phase Changes
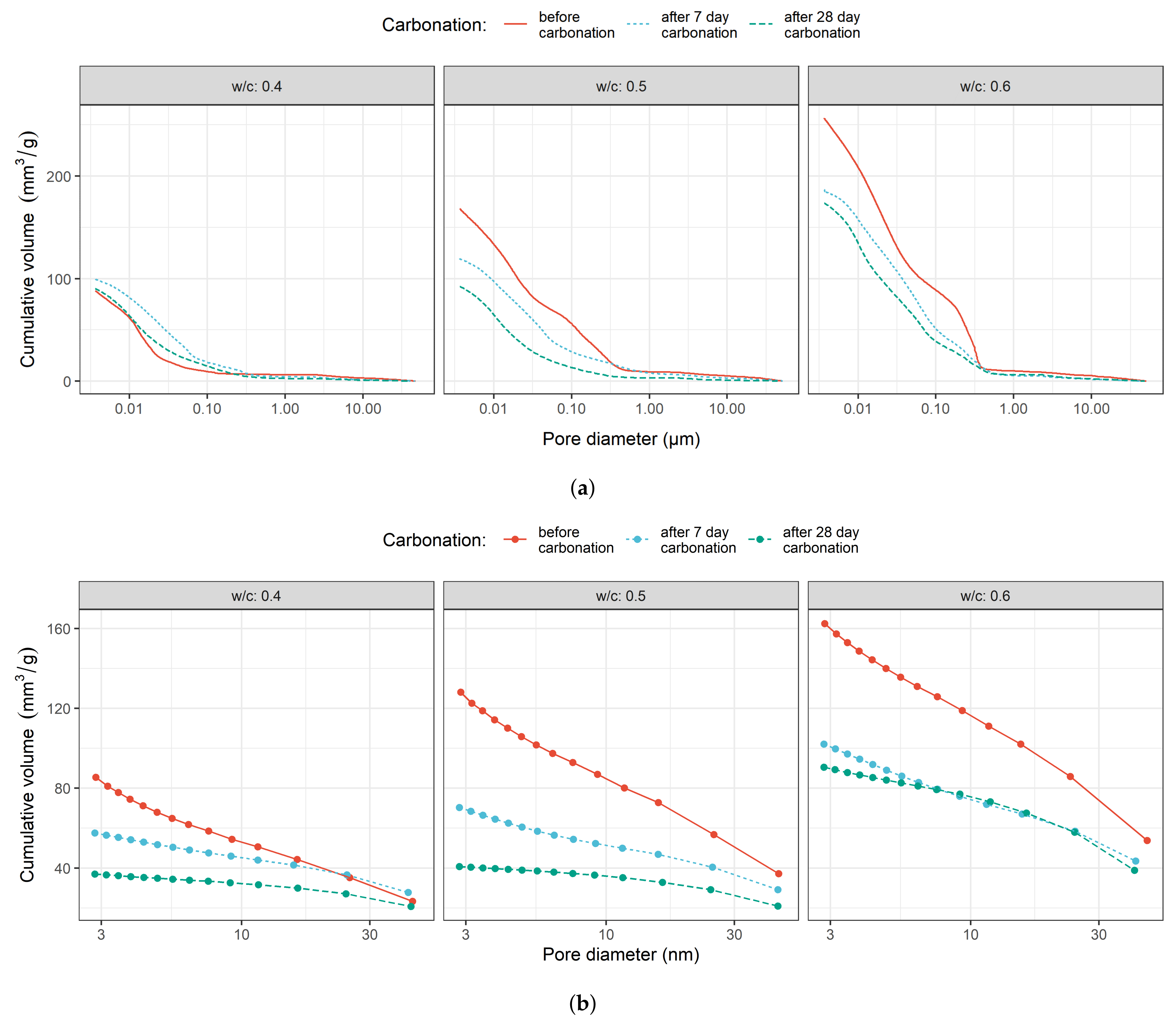
3.3. Effect of Carbonation on the Pore Structure
3.4. Effect of Carbonation on Crack Evolution
4. Conclusions
- 1.
- Carbonation leads to a decrease in total pore volume (due to precipitation and consequent densification of HCP) and formation of new mesopores and capillary pores and (micro)cracking due to the carbonation of CH and C-S-H phases. Additionally, a decrease in the gel pores (<4.5 nm) fraction was observed for all studied w/c (0.4, 0.5, 0.6) after carbonation at RH 65 and 1%. The decrease in the gel pores is likely related to C-S-H carbonation leading to C precipitation, while further C-S-H decalcification increases the mesopore (>4.5 nm and < 50 nm) fractions. The fraction of capillary pores with sizes greater than 50 nm, which formed after 7 days of carbonation, decreased after 28 days of carbonation. The increase in mesopore fraction (<50 nm) and the decrease in capillary pores (>50 nm) also suggest that precipitation preferentially occurs in larger pores.
- 2.
- The depth of carbonation is highly sensitive to the crack size within the studied range, which increased several times with larger crack openings due to faster gas diffusion. Within the range of crack apertures in this study (10–150 m), the carbonation along the crack surface increased with larger crack openings complementing the previous studies [21,22]. The cracks with apertures below 50 m increase the carbonation depth at least by a factor of two. This observation was valid for all studied w/c and environmental conditions.
- 3.
- The crack monitoring showed that the crack openings at the surface grow during carbonation. The results indicate a synergistic relationship between the crack aperture increase and the degree of carbonation due to the mutual effect of these parameters on each other. Moreover, crack apertures reach a certain value and do not increase further due to the depletion of CH and decalcification of C-S-H close to the surface. We observed a linear relationship between both carbonated phases and the crack aperture increase. According to previous works [25,55], C-S-H carbonation is a primary reason for carbonation shrinkage and eventual cracking.
- 4.
- MIP pore size distributions suggest the formation of new large pores or microcracks in HCP with low w/c at the initial stages of carbonation and further clogging of these pores due to C precipitation. A higher fraction of newly formed large pores for 0.4 w/c would facilitate carbonation deeper into the structure and may increase the carbonation front variance. In addition, low diffusivity of the dense cement matrix of 0.4 w/c would restrict carbonation through the cement matrix and increase the carbonation depth along the microcracks.
Author Contributions
Funding
Institutional Review Board Statement
Informed Consent Statement
Data Availability Statement
Conflicts of Interest
Abbreviations
| HCP | Hardened Cement Paste |
| OPC | Ordinary Portland Cement |
| CH | Portlandite |
| C-S-H | Calcium Silicate Hydrate |
| C | Calcium Carbonate |
| MIP | Mercury Intrusion Porosimetry |
| TGA | Thermogravimetric Analysis |
Appendix A. Van Genuchten Model of Saturation Degree
Appendix B. Carbonation Depth Measurements
| w/c | Case A (RH 65%, 1 vol.%) | Case B (RH 75%, 1 vol.%) | Case C (RH 65%, 0.3 vol.%) |
|---|---|---|---|
| 0.4 | 7 | 10 | 18 |
| 0.5 | 13 | 9 | 13 |
| 0.6 | 15 | 15 | 19 |

| w/c | Crack | Case A (RH 65%, 1 vol.%) | Case B (RH 75%, 1 vol.%) | Case C (RH 65%, 0.3 vol.%) |
|---|---|---|---|---|
| 0.4 | I | 2 | 5 | 6 |
| II | 3 | 3 | 6 | |
| III | 2 | 2 | 6 | |
| 0.5 | I | 3 | 3 | 5 |
| II | 4 | 3 | 5 | |
| III | 6 | 3 | 3 | |
| 0.6 | I | 6 | 6 | 8 |
| II | 5 | 6 | 5 | |
| III | 4 | 3 | 6 |



Appendix C. Mass Change

Appendix D. Pore Structure and Phase Changes
Appendix D.1. Thermogravimetric Analysis Details
Appendix D.2. Pore Size Distribution Details


References
- Dyer, T. Concrete Durability; CRC Press: Boca Raton, FL, USA, 2014. [Google Scholar]
- Angst, U.M. Durable concrete structures: Cracks & corrosion and corrosion & cracks. In Proceedings of the 10th International Conference on Fracture Mechanics of Concrete and Concrete Structures, FraMCos-X, Bayonne, France, 24–26 June 2019. [Google Scholar]
- Von Greve-Dierfeld, S.; Lothenbach, B.; Vollpracht, A.; Wu, B.; Huet, B.; Andrade, C.; Medina, C.; Thiel, C.; Gruyaert, E.; Vanoutrive, H.; et al. Understanding the carbonation of concrete with supplementary cementitious materials: A critical review by RILEM TC 281-CCC. Mater. Struct. 2020, 53, 136. [Google Scholar] [CrossRef]
- Zajac, M.; Irbe, L.; Bullerjahn, F.; Hilbig, H.; Haha, M.B. Mechanisms of carbonation hydration hardening in Portland cements. Cem. Concr. Res. 2022, 152, 106687. [Google Scholar] [CrossRef]
- Jiang, P.; Chen, Y.; Wang, W.; Yang, J.; Wang, H.; Li, N.; Wang, W. Flexural behavior evaluation and energy dissipation mechanisms of modified iron tailings powder incorporating cement and fibers subjected to freeze-thaw cycles. J. Clean. Prod. 2022, 351, 131527. [Google Scholar] [CrossRef]
- Jiang, P.; Chen, Y.; Song, X.; Li, N.; Wang, W.; Wu, E. Study on Compressive Properties and Dynamic Characteristics of Polypropylene-Fiber-and-Cement-Modified Iron-Ore Tailing under Traffic Load. Polymers 2022, 14, 1995. [Google Scholar] [CrossRef]
- Papadakis, V.G.; Vayenas, C.G.; Fardis, M.N. Experimental investigation and mathematical modeling of the concrete carbonation problem. Chem. Eng. Sci. 1991, 46, 1333–1338. [Google Scholar] [CrossRef]
- Phung, Q.T.; Maes, N.; Jacques, D.; De Schutter, G.; Ye, G.; Perko, J. Modelling the carbonation of cement pastes under a CO2 pressure gradient considering both diffusive and convective transport. Constr. Build. Mater. 2016, 114, 333–351. [Google Scholar] [CrossRef]
- Hyvert, N.; Sellier, A.; Duprat, F.; Rougeau, P.; Francisco, P. Dependency of C-S-H carbonation rate on CO2 pressure to explain transition from accelerated tests to natural carbonation. Cem. Concr. Res. 2010, 40, 1582–1589. [Google Scholar] [CrossRef]
- Houst, Y.F.; Wittmann, F.H. Depth profiles of carbonates formed during natural carbonation. Cem. Concr. Res. 2002, 32, 1923–1930. [Google Scholar] [CrossRef]
- Cui, H.; Tang, W.; Liu, W.; Dong, Z.; Xing, F. Experimental study on effects of CO2 concentrations on concrete carbonation and diffusion mechanisms. Constr. Build. Mater. 2015, 93, 522–527. [Google Scholar] [CrossRef]
- Houst, Y.F. The role of moisture in the carbonation of cementitious materials. Int. Z. Für Bauinstandsetz. 1996, 2, 49–66. [Google Scholar]
- Steiner, S.; Lothenbach, B.; Proske, T.; Borgschulte, A.; Winnefeld, F. Effect of relative humidity on the carbonation rate of portlandite, calcium silicate hydrates and ettringite. Cem. Concr. Res. 2020, 135, 106116. [Google Scholar] [CrossRef]
- Shah, V.; Bishnoi, S. Understanding the Process of Carbonation in Concrete using Numerical Modeling. J. Adv. Concr. Technol. 2021, 19, 1148–1161. [Google Scholar] [CrossRef]
- Morandeau, A.; Thiery, M.; Dangla, P. Investigation of the carbonation mechanism of CH and CSH in terms of kinetics, microstructure changes and moisture properties. Cem. Concr. Res. 2014, 56, 153–170. [Google Scholar] [CrossRef] [Green Version]
- Ngala, V.; Page, C. Effects of carbonation on pore structure and diffusional properties of hydrated cement pastes. Cem. Concr. Res. 1997, 27, 995–1007. [Google Scholar] [CrossRef]
- Phung, Q.T.; Maes, N.; Jacques, D.; Bruneel, E.; Van Driessche, I.; Ye, G.; De Schutter, G. Effect of limestone fillers on microstructure and permeability due to carbonation of cement pastes under controlled CO2 pressure conditions. Constr. Build. Mater. 2015, 82, 376–390. [Google Scholar] [CrossRef]
- Song, H.W.; Kwon, S.J.; Byun, K.J.; Park, C.K. Predicting carbonation in early-aged cracked concrete. Cem. Concr. Res. 2006, 36, 979–989. [Google Scholar] [CrossRef]
- Carević, V.; Ignjatović, I. Influence of loading cracks on the carbonation resistance of RC elements. Constr. Build. Mater. 2019, 227, 116583. [Google Scholar] [CrossRef]
- Han, J.; Liu, W.; Wang, S.; Du, D.; Xu, F.; Li, W.; De Schutter, G. Effects of crack and ITZ and aggregate on carbonation penetration based on 3D micro X-ray CT microstructure evolution. Constr. Build. Mater. 2016, 128, 256–271. [Google Scholar] [CrossRef]
- Alahmad, S.; Toumi, A.; Verdier, J.; François, R. Effect of crack opening on carbon dioxide penetration in cracked mortar samples. Mater. Struct. 2009, 42, 559–566. [Google Scholar] [CrossRef]
- Lee, D.K.; Lim, M.H.; Shin, K.J.; Lee, K.M. Crack Width Estimation of Mortar Specimen Using Gas Diffusion Experiment. Materials 2019, 12, 3003. [Google Scholar] [CrossRef] [Green Version]
- Sullivan-Green, L.E. Effect of Crack Width on Carbonation: Implications for Crack-Dating. Ph.D. Thesis, Northwestern University, Evanston, IL, USA, 2005. [Google Scholar]
- Cizer, Ö.; Rodriguez-Navarro, C.; Ruiz-Agudo, E.; Elsen, J.; Van Gemert, D.; Van Balen, K. Phase and morphology evolution of calcium carbonate precipitated by carbonation of hydrated lime. J. Mater. Sci. 2012, 47, 6151–6165. [Google Scholar] [CrossRef] [Green Version]
- Chen, J.J.; Thomas, J.J.; Jennings, H.M. Decalcification shrinkage of cement paste. Cem. Concr. Res. 2006, 36, 801–809. [Google Scholar] [CrossRef]
- Black, L.; Breen, C.; Yarwood, J.; Garbev, K.; Stemmermann, P.; Gasharova, B. Structural features of C-S-H (I) and its carbonation in air—A Raman spectroscopic study. Part II: Carbonated phases. J. Am. Ceram. Soc. 2007, 90, 908–917. [Google Scholar] [CrossRef]
- Auroy, M.; Poyet, S.; Le Bescop, P.; Torrenti, J.M.; Charpentier, T.; Moskura, M.; Bourbon, X. Comparison between natural and accelerated carbonation (3% CO2): Impact on mineralogy, microstructure, water retention and cracking. Cem. Concr. Res. 2018, 109, 64–80. [Google Scholar] [CrossRef]
- Houst, Y.F. Carbonation shrinkage of hydrated cement paste. In Proceedings of the 4th CANMET/ACI International Conference on Durability of Concrete, Sydney, Australia, 17–22 August 1997; Number CONF. CANMET: Ottawa, ON, Canada, 1997; pp. 481–491. [Google Scholar]
- Kangni-Foli, E.; Poyet, S.; Le Bescop, P.; Charpentier, T.; Bernachy-Barbé, F.; Dauzères, A.; L’Hôpital, E.; de Lacaillerie, J.B.d. Carbonation of model cement pastes: The mineralogical origin of microstructural changes and shrinkage. Cem. Concr. Res. 2021, 144, 106446. [Google Scholar] [CrossRef]
- Black, L.; Garbev, K.; Gee, I. Surface carbonation of synthetic CSH samples: A comparison between fresh and aged CSH using X-ray photoelectron spectroscopy. Cem. Concr. Res. 2008, 38, 745–750. [Google Scholar] [CrossRef] [Green Version]
- Phung, Q.T.; Ferreira, E.; Seetharam, S.; Govaerts, J.; Valcke, E. Understanding hydration heat of mortars containing supplementary cementitious materials with potential to immobilize heavy metal containing waste. Cem. Concr. Compos. 2021, 115, 103859. [Google Scholar] [CrossRef]
- Phung, Q.T. Effects of Carbonation and Calcium Leaching on Microstructure and Transport Properties of Cement Pastes. Ph.D. Thesis, Ghent University, Ghent, Belgium, 2015. [Google Scholar]
- Shin, K.J.; Bae, W.; Choi, S.W.; Son, M.W.; Lee, K.M. Parameters influencing water permeability coefficient of cracked concrete specimens. Constr. Build. Mater. 2017, 151, 907–915. [Google Scholar] [CrossRef]
- Van Genuchten, M.T. A closed-form equation for predicting the hydraulic conductivity of unsaturated soils. Soil Sci. Soc. Am. J. 1980, 44, 892–898. [Google Scholar] [CrossRef] [Green Version]
- Webb, S.W. A simple extension of two-phase characteristic curves to include the dry region. Water Resour. Res. 2000, 36, 1425–1430. [Google Scholar] [CrossRef]
- Papadakis, V.G.; Vayenas, C.G.; Fardis, M.N. Fundamental modeling and experimental investigation of concrete carbonation. Mater. J. 1991, 88, 363–373. [Google Scholar]
- Castellote, M.; Fernandez, L.; Andrade, C.; Alonso, C. Chemical changes and phase analysis of OPC pastes carbonated at different CO2 concentrations. Mater. Struct. 2009, 42, 515–525. [Google Scholar] [CrossRef]
- Phung, Q.T.; Maes, N.; Seetharam, S. Pitfalls in the use and interpretation of TGA and MIP techniques for Ca-leached cementitious materials. Mater. Des. 2019, 182, 108041. [Google Scholar] [CrossRef]
- Joseph, S.; Bishnoi, S.; Van Balen, K.; Cizer, Ö. Effect of the densification of C-S-H on hydration kinetics of tricalcium silicate. J. Am. Ceram. Soc. 2018, 101, 2438–2449. [Google Scholar] [CrossRef]
- Cook, R.A.; Hover, K.C. Mercury porosimetry of hardened cement pastes. Cem. Concr. Res. 1999, 29, 933–943. [Google Scholar] [CrossRef]
- Houst, Y.F.; Wittmann, F.H. Influence of porosity and water content on the diffusivity of CO2 and O2 through hydrated cement paste. Cem. Concr. Res. 1994, 24, 1165–1176. [Google Scholar] [CrossRef]
- Dutzer, V.; Dridi, W.; Poyet, S.; Le Bescop, P.; Bourbon, X. The link between gas diffusion and carbonation in hardened cement pastes. Cem. Concr. Res. 2019, 123, 105795. [Google Scholar] [CrossRef]
- Villain, G.; Thiery, M.; Platret, G. Measurement methods of carbonation profiles in concrete: Thermogravimetry, chemical analysis and gammadensimetry. Cem. Concr. Res. 2007, 37, 1182–1192. [Google Scholar] [CrossRef]
- Ruiz-Agudo, E.; Kudłacz, K.; Putnis, C.V.; Putnis, A.; Rodriguez-Navarro, C. Dissolution and carbonation of portlandite [Ca(OH)2] single crystals. Environ. Sci. Technol. 2013, 47, 11342–11349. [Google Scholar] [CrossRef]
- Galan, I.; Glasser, F.; Baza, D.; Andrade, C. Assessment of the protective effect of carbonation on portlandite crystals. Cem. Concr. Res. 2015, 74, 68–77. [Google Scholar] [CrossRef]
- Tracz, T.; Zdeb, T. Effect of hydration and carbonation progress on the porosity and permeability of cement pastes. Materials 2019, 12, 192. [Google Scholar] [CrossRef] [PubMed] [Green Version]
- Chen, X.; Wu, S.; Zhou, J. Experimental study and analytical model for pore structure of hydrated cement paste. Appl. Clay Sci. 2014, 101, 159–167. [Google Scholar] [CrossRef]
- Thomas, J.J.; Hsieh, J.; Jennings, H.M. Effect of carbonation on the nitrogen BET surface area of hardened Portland cement paste. Adv. Cem. Based Mater. 1996, 3, 76–80. [Google Scholar] [CrossRef]
- Thiéry, M.; Faure, P.; Morandeau, A.; Platret, G.; Bouteloup, J.F.; Dangla, P.; Baroghel-Bouny, V. Effect of carbonation on the microstructure and moisture properties of cement-based materials. In Proceedings of the XII DBMC (12th International Conference on Building Materials and Components, Porto, Portugal, 12–15 April 2011; Volume 3, pp. 1–8. [Google Scholar]
- Garbev, K.; Stemmermann, P.; Black, L.; Breen, C.; Yarwood, J.; Gasharova, B. Structural features of C-S-H (I) and its carbonation in air—A Raman spectroscopic study. Part I: Fresh phases. J. Am. Ceram. Soc. 2007, 90, 900–907. [Google Scholar] [CrossRef]
- Sevelsted, T.F.; Skibsted, J. Carbonation of C-S-H and C–A–S–H samples studied by 13C, 27Al and 29Si MAS NMR spectroscopy. Cem. Concr. Res. 2015, 71, 56–65. [Google Scholar] [CrossRef]
- Pham, S.T.; Prince, W. Effects of carbonation on the microstructure of cement materials: Influence of measuring methods and of types of cement. Int. J. Concr. Struct. Mater. 2014, 8, 327–333. [Google Scholar] [CrossRef] [Green Version]
- Auroy, M.; Poyet, S.; Le Bescop, P.; Torrenti, J.M.; Charpentier, T.; Moskura, M.; Bourbon, X. Impact of carbonation on unsaturated water transport properties of cement-based materials. Cem. Concr. Res. 2015, 74, 44–58. [Google Scholar] [CrossRef]
- Scrivener, K.; Snellings, R.; Lothenbach, B. A Practical Guide to Microstructural Analysis of Cementitious Materials; CRC Press: Boca Raton, FL, USA, 2018. [Google Scholar]
- Swenson, E.G.; Sereda, P.J. Mechanism of the carbonatation shrinkage of lime and hydrated cement. J. Appl. Chem. 1968, 18, 111–117. [Google Scholar] [CrossRef] [Green Version]
- Polettini, A.; Pomi, R.; Stramazzo, A. CO2 sequestration through aqueous accelerated carbonation of BOF slag: A factorial study of parameters effects. J. Environ. Manag. 2016, 167, 185–195. [Google Scholar] [CrossRef]
- Perko, J.; Laroy, E.; Zarzuela, R.; Couckuyt, I.; Garcia, R. Optimisation Procedure of Impregnation Products’ Composition for Cementitious Materials. SSRN, 2022; under review. [Google Scholar]
- Stora, E.; Conrardy, C.; Barbarulo, R.; Chen, J.; Thoué, F. A reactive transport model based on thermodynamic computations to estimate the atmospheric carbonation of cementitious materials. In Proceedings of the NUCPERF 2009—Long Term Performance of Cementitious Barriers and Reinforced Concrete in Nuclear Power Plants and Waste Management, RILEM Publications SARL, Cadarache, France, 30 March–2 April 2009; pp. 193–2002. [Google Scholar]











| Component | wt.% |
|---|---|
| 63.56 | |
| 19.86 | |
| 4.87 | |
| 3.14 | |
| 3.06 | |
| 1.81 | |
| 0.49 | |
| 0.35 | |
| 0.31 | |
| Loss of ignition | 1.4 |
| Case A | Case B | Case C | |
|---|---|---|---|
| RH = 65% | RH = 75% | RH = 65% | |
| = 1% | = 1% | = 0.3% | |
| w/c 0.4 | 1 and 4 | 1 and 4 | 4, 8 and 14 |
| w/c 0.5 | weeks of | weeks of | weeks of |
| w/c 0.6 | carbonation | carbonation | carbonation |
| w/c 0.4 | w/c 0.5 | w/c 0.6 | |
|---|---|---|---|
| CH content, wt. % | |||
| content, wt. % | |||
| CH volume fraction, vol. % |
| Carbonation Duration | w/c 0.4 | w/c 0.5 | w/c 0.6 | |
|---|---|---|---|---|
| Accessible pore volume, % | - | 15.03 | 25.05 | 32.89 |
| 7 days | 18.26 | 20.42 | 29.68 | |
| 28 days | 17.19 | 17.42 | 29.16 | |
| Bulk density, g/cm | - | 1.71 | 1.48 | 1.28 |
| 7 days | 1.83 | 1.71 | 1.59 | |
| 28 days | 1.91 | 1.89 | 1.68 | |
| Threshold pore size, m | - | 0.048 | 0.386 | 0.409 |
| 7 days | 0.281 | 0.668 | 0.512 | |
| 28 days | 0.143 | 0.254 | 0.446 | |
| Critical pore size, m | - | 0.446 | 0.017 | 0.017 |
| 7 days | 0.055 | 0.041 | 0.057 | |
| 28 days | 0.011 | 0.01 | 0.01 |
| Carbonation Duration | w/c 0.4 | w/c 0.5 | w/c 0.6 | |
|---|---|---|---|---|
| Accessible pore volume, % | - | 14.62 | 19.08 | 20.81 |
| 7 days | 10.58 | 12.04 | 16.23 | |
| 28 days | 7.06 | 7.71 | 15.2 | |
| BET surface area, (m/g) | - | 67.32 | 85.81 | 110.54 |
| 7 days | 12.31 | 21.02 | 29.95 | |
| 28 days | 10.22 | 10.68 | 10.68 |
Publisher’s Note: MDPI stays neutral with regard to jurisdictional claims in published maps and institutional affiliations. |
© 2022 by the authors. Licensee MDPI, Basel, Switzerland. This article is an open access article distributed under the terms and conditions of the Creative Commons Attribution (CC BY) license (https://creativecommons.org/licenses/by/4.0/).
Share and Cite
Varzina, A.; Phung, Q.T.; Perko, J.; Jacques, D.; Maes, N.; Cizer, Ö. Synergistic Effects between Carbonation and Cracks in the Hardened Cement Paste. Sustainability 2022, 14, 8572. https://doi.org/10.3390/su14148572
Varzina A, Phung QT, Perko J, Jacques D, Maes N, Cizer Ö. Synergistic Effects between Carbonation and Cracks in the Hardened Cement Paste. Sustainability. 2022; 14(14):8572. https://doi.org/10.3390/su14148572
Chicago/Turabian StyleVarzina, Anna, Quoc Tri Phung, Janez Perko, Diederik Jacques, Norbert Maes, and Özlem Cizer. 2022. "Synergistic Effects between Carbonation and Cracks in the Hardened Cement Paste" Sustainability 14, no. 14: 8572. https://doi.org/10.3390/su14148572
APA StyleVarzina, A., Phung, Q. T., Perko, J., Jacques, D., Maes, N., & Cizer, Ö. (2022). Synergistic Effects between Carbonation and Cracks in the Hardened Cement Paste. Sustainability, 14(14), 8572. https://doi.org/10.3390/su14148572

