Reduction in Greenhouse Gas Emission from Seedless Lime Cultivation Using Organic Fertilizer in a Province in Vietnam Mekong Delta Region
Abstract
:1. Introduction
2. Materials and Methods
2.1. Goal, Scope Definition, and Functional Unit
2.2. Data Collection
2.3. GHG Emission from Agrochemicals and Fertilizer Production
2.4. GHG Emissions from Soil
2.5. GHG Emissions from Irrigation due to the Production and Combustion of Fossils Used
2.6. Data Analysis
2.6.1. GHG Emission Estimation
2.6.2. GHG Emission for Nutrients Gain (E-NG) Index Calculation
3. Results
3.1. Inputs of Seedless Lime Cultivation
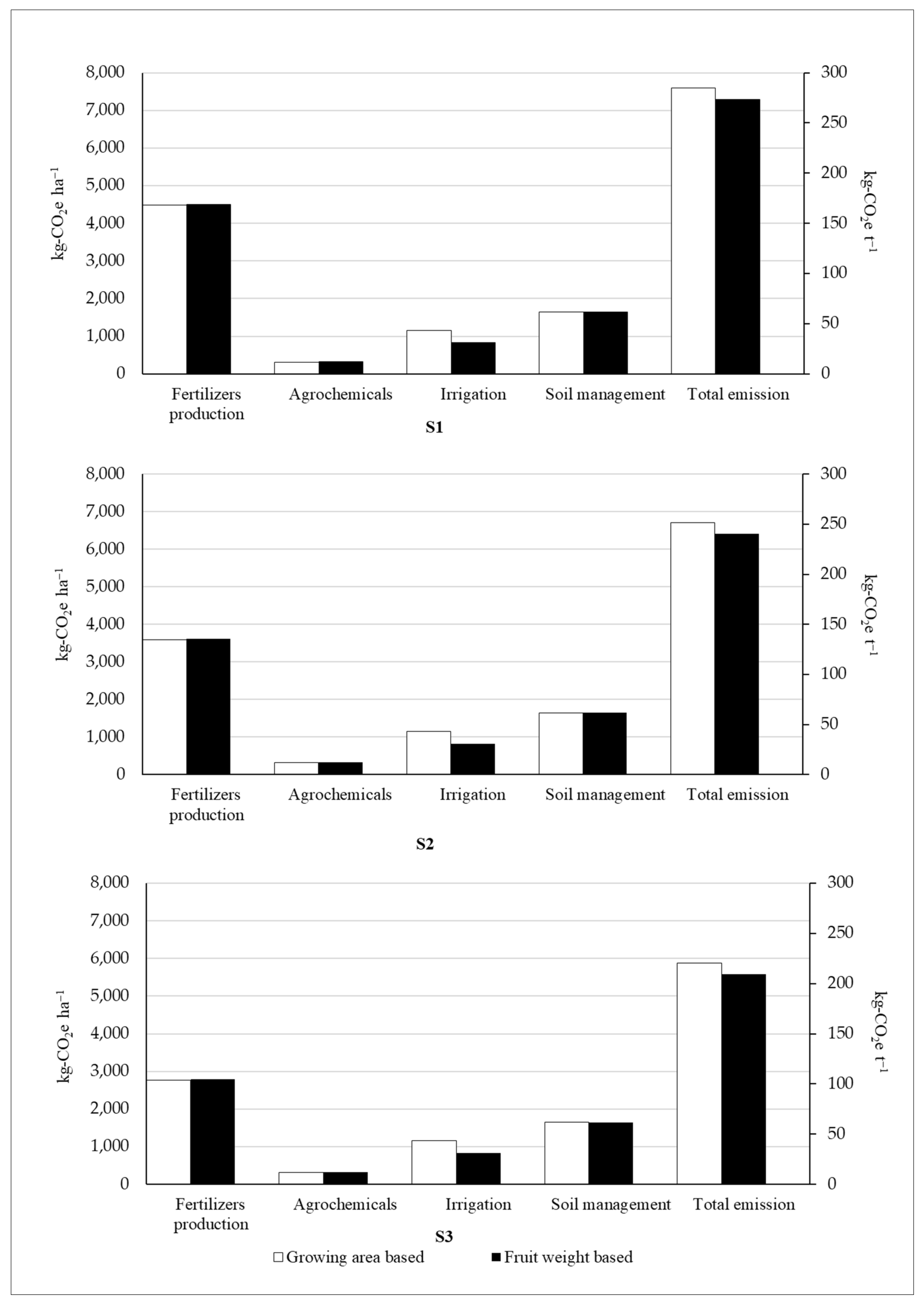
3.2. GHG Emissions from Conventional SL Cultivation
3.3. Comparison of GHG Emission from CF Replacement by OF Application and Conventional Cultivation Methods of SL
4. Discussion
5. Conclusions
Author Contributions
Funding
Institutional Review Board Statement
Informed Consent Statement
Data Availability Statement
Acknowledgments
Conflicts of Interest
Abbreviations
| CF | Chemical fertilizer |
| CC | Climate change |
| CO2e | CO2 equivalents |
| EF | Emission factor |
| E-NG | Emissions pay for nutrient gain |
| GHG | Greenhouse gas |
| LCA | Life cycle assessment |
| MiLCA | Multiple interface Life Cycle Assessment |
| OF | Organic fertilizer |
| SDGs | Sustainable Development Goals |
| SL | Seedless lime |
References
- United Nations. The Road to Dignity by 2030: Ending Poverty, Transforming All Lives and Protecting the Planet—Synthesis Report of the Secretary-General on the Post-2015 Agenda; United Nations: New York, NY, USA, 2014. [Google Scholar]
- Arora, N.K.; Fatima, T.; Mishra, I.; Verma, M.; Mishra, J.; Mishra, V. Environmental Sustainability: Challenges and Viable Solutions. Environ. Sustain. 2018, 1, 309–340. [Google Scholar] [CrossRef]
- Praveen, B.; Sharma, P. A Review of Literature on Climate Change and Its Impacts on Agriculture Productivity. J. Public Aff. 2019, 19, e1960. [Google Scholar] [CrossRef]
- IPCC. Climate Change 2013: The Physical Science Basis. Working Group I Contribution to the Fifth Assessment Report of the Intergovernmental Panel on Climate Change; Stocker, T.F., Qin, D., Plattner, G.-K., Tignor, M., Allen, S.K., Boschung, J., Nauels, A., Xia, Y., Bex, V., Midgley, P.M., Eds.; Cambridge University Press: Cambridge, UK, 2013. [Google Scholar] [CrossRef] [Green Version]
- Cui, X.; Guo, L.; Li, C.; Liu, M.; Wu, G.; Jiang, G. The Total Biomass Nitrogen Reservoir and Its Potential of Replacing Chemical Fertilizers in China. Renew. Sustain. Energy Rev. 2021, 135, 110215. [Google Scholar] [CrossRef]
- Styles, D.; Adams, P.; Thelin, G.; Vaneeckhaute, C.; Chadwick, D.; Withers, P.J.A. Life Cycle Assessment of Biofertilizer Production and Use Compared with Conventional Liquid Digestate Management. Environ. Sci. Technol. 2018, 52, 7468–7476. [Google Scholar] [CrossRef]
- Diacono, M.; Persiani, A.; Testani, E.; Montemurro, F.; Ciaccia, C. Recycling Agricultural Wastes and By-Products in Organic Farming: Biofertilizer Production, Yield Performance and Carbon Footprint Analysis. Sustainability 2019, 11, 3824. [Google Scholar] [CrossRef] [Green Version]
- Curran, M.A. Strengths and Limitations of Life Cycle Assessment. In Background and Future Prospects in Life Cycle Assessment; Springer: Berlin/Heidelberg, Germany, 2014; pp. 189–206. [Google Scholar] [CrossRef]
- Sieverding, H.; Kebreab, E.; Johnson, J.M.F.; Xu, H.; Wang, M.; Grosso, S.J.D.; Bruggeman, S.; Stewart, C.E.; Westhoff, S.; Ristau, J.; et al. A Life Cycle Analysis (LCA) Primer for the Agricultural Community. Agron. J. 2020, 112, 3788–3807. [Google Scholar] [CrossRef]
- Martin-Gorriz, B.; Gallego-Elvira, B.; Martínez-Alvarez, V.; Maestre-Valero, J.F. Life Cycle Assessment of Fruit and Vegetable Production in the Region of Murcia (South-East Spain) and Evaluation of Impact Mitigation Practices. J. Clean. Prod. 2020, 265, 121656. [Google Scholar] [CrossRef]
- Mazis, A.; Litskas, V.D.; Platis, D.P.; Menexes, G.C.; Anagnostopoulos, C.D.; Tsaboula, A.D.; Mamolos, A.P.; Kalburtji, K.L. Could Energy Equilibrium and Greenhouse Gas Emissions in Agroecosystems Play a Key Role in Crop Replacement? A Case Study in Orange and Kiwi Orchards. Environ. Sci. Pollut. Res. 2021, 28, 29421–29431. [Google Scholar] [CrossRef]
- Vatsanidou, A.; Fountas, S.; Liakos, V.; Nanos, G.; Katsoulas, N.; Gemtos, T. Life Cycle Assessment of Variable Rate Fertilizer Application in a Pear Orchard. Sustainability 2020, 12, 6893. [Google Scholar] [CrossRef]
- Hashimi, R.; Matsuura, E.; Komatsuzaki, M. Effects of Cultivating Rice and Wheat with and without Organic Fertilizer Application on Greenhouse Gas Emissions and Soil Quality in Khost, Afghanistan. Sustainability 2020, 12, 6508. [Google Scholar] [CrossRef]
- Küstermann, B.; Kainz, M.; Hülsbergen, K.J. Modeling Carbon Cycles and Estimation of Greenhouse Gas Emissions from Organic and Conventional Farming Systems. Renew. Agric. Food Syst. 2008, 23, 38–52. [Google Scholar] [CrossRef] [Green Version]
- Aguilera, E.; Guzmán, G.; Alonso, A. Greenhouse Gas Emissions from Conventional and Organic Cropping Systems in Spain. I. Herbaceous Crops. Agron. Sustain. Dev. 2015, 35, 713–724. [Google Scholar] [CrossRef] [Green Version]
- Aguilera, E.; Guzmán, G.; Alonso, A. Greenhouse Gas Emissions from Conventional and Organic Cropping Systems in Spain. II. Fruit Tree Orchards. Agron. Sustain. Dev. 2015, 35, 725–737. [Google Scholar] [CrossRef] [Green Version]
- Wei, Z.; Ying, H.; Guo, X.; Zhuang, M.; Cui, Z.; Zhang, F. Substitution of Mineral Fertilizer with Organic Fertilizer in Maize Systems: A Meta-Analysis of Reduced Nitrogen and Carbon Emissions. Agronomy 2020, 10, 1149. [Google Scholar] [CrossRef]
- Ministry of Agriculture and Rural Development of The Socialist Republic of Vietnam. Report on the Implementation of the Agriculture and Rural Development Plan for the First Six Months, Tasks for the Last Six Months of 2020; Ministry of Agriculture and Rural Development of The Socialist Republic of Vietnam: Hanoi, Vietnam, 2020. (In Vietnamese) [Google Scholar]
- Huynh, T.H. Value Chain Approach to Developing Agricultural Products—Some Practical Issues in the Mekong Delta. J. Ethn. Monorities Res. 2019, 8, 1–7. [Google Scholar] [CrossRef] [Green Version]
- Ministry of Science and Technology of The Socialist Republic of Vietnam. Vietnamese Standards of Seedless Lime’s Fresh Fruit; Ministry of Science and Technology of The Socialist Republic of Vietnam: Hanoi, Vietnam, 2017. (In Vietnamese) [Google Scholar]
- Department of Agriculture and Rural Development of Hau Giang Province. Report on Agriculture and Rural Development of Hau Giang Province Sector—The Implementation in 2020 and Mission Direction in 2021; Department of Agriculture and Rural Development of Hau Giang Province: Vi Thanh, Vietnam, 2020. (In Vietnamese) [Google Scholar]
- Zhou, W.; Ma, Q.; Wu, L.; Hu, R.; Jones, D.L.; Chadwick, D.R.; Jiang, Y.; Wu, Y.; Xia, X.; Yang, L.; et al. The Effect of Organic Manure or Green Manure Incorporation with Reductions in Chemical Fertilizer on Yield-Scaled N2O Emissions in a Citrus Orchard. Agric. Ecosyst. Environ. 2022, 326, 107806. [Google Scholar] [CrossRef]
- Hasan, M.; Rahim, M.A.; Islam, A.K.M.S.; Rahman, M.A.; Naher, N. Effect of Management Practices on the Growth and Yield of Lime and Lemon. Int. J. Biosci. 2016, 8, 22–33. [Google Scholar] [CrossRef]
- Viana, D.S.; Carvalho, L.M.J.D.; Ribeiro, E.M.G.; Ortiz, G.M.D. Content of Total Polyphenols in Biodynamic Organic Acid Lime (Citrus Latifolia Tanaka) Clarified by Microfiltration. In Food Industrial Processes—Method and Equipment; Valdez, B., Ed.; InTech: London, UK, 2012; pp. 301–312. [Google Scholar]
- Budiarto, R.; Poerwanto, R.; Santosa, E.; Efendi, D.; Agusta, A. Production, Post-Harvest and Marketing of Kaffir Lime (Citrus Hystrix DC) In Tulungagung, Indonesia. J. Trop. Crop Sci. 2019, 6, 138–143. [Google Scholar] [CrossRef]
- Mahmoud, L.M.; Grosser, J.W.; Dutt, M. Silver Compounds Regulate Leaf Drop and Improve in Vitro Regeneration from Mature Tissues of Australian Finger Lime (Citrus Australasica). Plant Cell Tissue Organ Cult. 2020, 141, 455–464. [Google Scholar] [CrossRef]
- Hondebrink, M.A.; Cammeraat, L.H.; Cerdà, A. The Impact of Agricultural Management on Selected Soil Properties in Citrus Orchards in Eastern Spain: A Comparison between Conventional and Organic Citrus Orchards with Drip and Flood Irrigation. Sci. Total Environ. 2017, 581, 153–160. [Google Scholar] [CrossRef] [Green Version]
- Okuda, H.; Noda, K.; Sawamoto, T.; Tsuruta, H.; Hirabayashi, T.; Yonemoto, J.Y.; Yagi, K. Emission of N2O and CO2 and Uptake of CH4 in Soil from a Satsuma Mandarin Orchard under Mulching Cultivation in Central Japan. J. Jpn. Soc. Hortic. Sci. 2007, 76, 279–287. [Google Scholar] [CrossRef] [Green Version]
- Maestre-Valero, J.F.; Martin-Gorriz, B.; Nicolas, E.; Martinez-Mate, M.A.; Martinez-Alvarez, V. Deficit Irrigation with Reclaimed Water in a Citrus Orchard. Energy and Greenhouse-Gas Emissions Analysis. Agric. Syst. 2018, 159, 93–102. [Google Scholar] [CrossRef]
- Leon, A.; Minamikawa, K.; Izumi, T.; Chiem, N.H. Estimating Impacts of Alternate Wetting and Drying on Greenhouse Gas Emissions from Early Wet Rice Production in a Full-Dike System in An Giang Province, Vietnam, through Life Cycle Assessment. J. Clean. Prod. 2021, 285, 125309. [Google Scholar] [CrossRef]
- Tran, T.; Da, G.; Moreno-Santander, M.A.; Vélez-Hernández, G.A.; Giraldo-Toro, A.; Piyachomkwan, K.; Sriroth, K.; Dufour, D. A Comparison of Energy Use, Water Use and Carbon Footprint of Cassava Starch Production in Thailand, Vietnam and Colombia. Resour. Conserv. Recycl. 2015, 100, 31–40. [Google Scholar] [CrossRef]
- Trinh, L.T.K.; Hu, A.H.; Lan, Y.C.; Chen, Z.H. Comparative Life Cycle Assessment for Conventional and Organic Coffee Cultivation in Vietnam. Int. J. Environ. Sci. Technol. 2020, 17, 1307–1324. [Google Scholar] [CrossRef]
- Tran, T.; Branca, G.; Arslan, A.; Van Mai, T. Value Chain Analysis of Climate-Smart Shan Tea Production in the Northern Mountainous Region of Vietnam. Ital. Rev. Agric. Econ. 2016, 71, 155–169. [Google Scholar] [CrossRef]
- Phong, L.T.; Loi, P.T. Environmental Impact Assessment of Pummelo (Citrus Maxima Merr.) and Mango (Mangifera Indica L.) Production in the Mekong Delta. Can Tho Univ. J. Sci.—Part B Agric. Aquac. Biotechnol. 2014, 31, 39–50. [Google Scholar]
- The British Standards Institution—BSI. Assessment of Life Cycle Greenhouse Gas Emissions from Horticultural Products: Supplementary Requirements for the Cradle to Gate Stages of GHG Assessments of Horticultural Products Undertaken in Accordance with PAS 2050, PAS 2050-1; BSI Standards Limited: London, UK, 2012. [Google Scholar]
- Maraseni, T.N.; Cockfield, G.; Maroulis, J.; Chen, G. An Assessment of Greenhouse Gas Emissions from the Australian Vegetables Industry. J. Environ. Sci. Health Part B Pestic. Food Contam. Agric. Wastes 2010, 45, 578–588. [Google Scholar] [CrossRef]
- IPCC. Guidelines for National Greenhouse Gas Inventories; Eggleston, S., Buendia, L., Miwa, K., Ngara, T., Tanabe, K., Eds.; The Institute for Global Environmental Strategies: Kanagawa, Japan, 2006. [Google Scholar]
- Muhammad, W.; Vaughan, S.M.; Dalal, R.C.; Menzies, N.W. Crop Residues and Fertilizer Nitrogen Influence Residue Decomposition and Nitrous Oxide Emission from a Vertisol. Biol. Fertil. Soils 2011, 47, 15–23. [Google Scholar] [CrossRef]
- Jarecki, M.K.; Parkin, T.B.; Chan, A.S.K.; Hatfield, J.L.; Jones, R. Greenhouse Gas Emissions from Two Soils Receiving Nitrogen Fertilizer and Swine Manure Slurry. J. Environ. Qual. 2008, 37, 1432–1438. [Google Scholar] [CrossRef] [Green Version]
- Akiyama, H.; McTaggart, I.P.; Ball, B.C.; Scott, A. N2O, NO, and NH3 Emissions from Soil after the Application of Organic Fertilizers, Urea and Water. Water. Air. Soil Pollut. 2004, 156, 113–129. [Google Scholar] [CrossRef]
- Jones, S.K.; Rees, R.M.; Skiba, U.M.; Ball, B.C. Greenhouse Gas Emissions from a Managed Grassland. Glob. Planet. Change 2005, 47, 201–211. [Google Scholar] [CrossRef]
- Stalenga, J.; Kawalec, A. Emission of Greenhouse Gases and Soil Organic Matter Balance in Different Farming Systems. Int. Agrophysics 2008, 22, 287–290. [Google Scholar]
- Escanhoela, A.S.B.; Pitombo, L.M.; Brandani, C.B.; Navarrete, A.A.; Bento, C.B.; Do Carmo, J.B. Organic Management Increases Soil Nitrogen but Not Carbon Content in a Tropical Citrus Orchard with Pronounced N2O Emissions. J. Environ. Manag. 2019, 234, 326–335. [Google Scholar] [CrossRef]
- Stockwell, C.E.; Christian, T.J.; Goetz, J.D.; Jayarathne, T.; Bhave, P.V.; Praveen, P.S.; Adhikari, S.; Maharjan, R.; Decarlo, P.F.; Stone, E.A.; et al. Nepal Ambient Monitoring and Source Testing Experiment (NAMaSTE): Emissions of Trace Gases and Light-Absorbing Carbon from Wood and Dung Cooking Fires, Garbage and Crop Residue Burning, Brick Kilns, and Other Sources. Atmos. Chem. Phys. 2016, 16, 11043–11081. [Google Scholar] [CrossRef] [Green Version]
- Adhikari, S.; Mahapatra, P.S.; Sapkota, V.; Puppala, S.P. Characterizing Emissions from Agricultural Diesel Pumps in the Terai Region of Nepal. Atmosphere 2019, 10, 56. [Google Scholar] [CrossRef] [Green Version]
- Sustainable Management Promotion Organization. MiLCA Guidebook (Tentative); Sustainable Management Promotion Organization: Tokyo, Japan, 2014. [Google Scholar]
- Pergola, M.; D’Amico, M.; Celano, G.; Palese, A.M.; Scuderi, A.; Di Vita, G.; Pappalardo, G.; Inglese, P. Sustainability Evaluation of Sicily’s Lemon and Orange Production: An Energy, Economic and Environmental Analysis. J. Environ. Manag. 2013, 128, 674–682. [Google Scholar] [CrossRef] [Green Version]
- Venkat, K. Comparison of Twelve Organic and Conventional Farming Systems: A Life Cycle Greenhouse Gas Emissions Perspective. J. Sustain. Agric. 2012, 36, 620–649. [Google Scholar] [CrossRef]
- Ministry of Science and Technology of Vietnam. Decision on Announcing Vietnam National Standard on Organic Agriculture—Part 1: Products from Organic Agriculture (TCVN 11041-1:2017); Part 2: Organic Crops (TCVN 11041-2:2017); Part 3: Organic Livestock (TCVN 11041-3:2017); No.3883/QĐ-BKHCN dated on 29 December 2017; Ministry of Science and Technology of Vietnam: Hanoi, Vietnam, 2017. [Google Scholar]
- Akiyama, H.; Tsuruta, H. Effect of Organic Matter Application on N2O, NO, and NO2 Fluxes from an Andisol Field. Global Biogeochem. Cycles 2003, 17. [Google Scholar] [CrossRef]
- Shi, Y.; Liu, X.; Zhang, Q. Effects of Combined Biochar and Organic Fertilizer on Nitrous Oxide Fluxes and the Related Nitrifier and Denitrifier Communities in a Saline-Alkali Soil. Sci. Total Environ. 2019, 686, 199–211. [Google Scholar] [CrossRef]
- Cayuela, M.L.; Aguilera, E.; Sanz-Cobena, A.; Adams, D.C.; Abalos, D.; Barton, L.; Ryals, R.; Silver, W.L.; Alfaro, M.A.; Pappa, V.A.; et al. Direct Nitrous Oxide Emissions in Mediterranean Climate Cropping Systems: Emission Factors Based on a Meta-Analysis of Available Measurement Data. Agric. Ecosyst. Environ. 2017, 238, 25–35. [Google Scholar] [CrossRef] [Green Version]
- Raza, A.; Warraich, I.A.; Nawaz, M.A.; Asim, M.; Aziz, A.; Shireen, F.; Rehman, M.A. Does Furrow Irrigation System Improve Yield and Water Use Efficiency of Kinnow Mandarin (Citrus Reticulata Blanco)? Int. J. Agric. Ext. 2020, 8, 199–206. [Google Scholar] [CrossRef]
- Panigrahi, P.; Srivastava, A.K. Effective Management of Irrigation Water in Citrus Orchards under a Water Scarce Hot Sub-Humid Region. Sci. Hortic. 2016, 210, 6–13. [Google Scholar] [CrossRef]
- Bons, H.K.; Kaur, N.; Rattanpal, H.S. Quality and Quantity Improvement of Citrus: Role of Plant Growth Regulators. Int. J. Agric. Environ. Biotechnol. 2015, 8, 433. [Google Scholar] [CrossRef]
- Martínez-Alcántara, B.; Quiñones, A.; Polo, C.; Primo-Millo, E.; Legaz, F. Use of Nitrification Inhibitor DMPP to Improve Nitrogen Uptake Efficiency in Citrus Trees. J. Agric. Sci. 2013, 5, 1–18. [Google Scholar] [CrossRef]
- Shamseldin, A.; El-sheikh, M.H.; Hassan, H.S.A.; Kabeil, S.S.; Borg-elarab, N. Microbial Bio-Fertilization Approaches to Improve Yield and Quality of Washington Navel Orange and Reducing the Survival of Nematode in the Soil. J. Am. Sci. 2010, 6, 264–271. [Google Scholar]
- Munjonji, L.; Ayisi, K.K.; Mafeo, T.P.; Maphanga, T.; Mabitsela, K.E. Seasonal Variation in Soil CO2 Emission and Leaf Gas Exchange of Well-managed Commercial Citrus sinensis (L.) Orchards. Plant Soil 2021, 465, 65–81. [Google Scholar] [CrossRef]






| Scenarios | N-CF kg-N | P-CF kg-P2O5 | K-CF kg-K2O | OF kg-OF |
|---|---|---|---|---|
| S1 | N-CFS1 | P-CFS1 | K-CFS1 | 0 |
| S2 | 0.75 × N-CFS1 | P-CFS2 | K-CFS2 | OFS2 |
| S3 | 0.5 × N-CFS1 | P-CFS3 | K-CFS3 | OFS3 |
| Inputs | Unit | Current Seedless Lime Cultivation Practice |
|---|---|---|
| Research cultivation area | ha | 64.3 |
| Density of cultivation | trees ha−1 | 684.0 ± 165.6 |
| Total yield | t | 1938.1 |
| Average productivity | t ha−1 | 30.1 ± 10.8 |
| Diesel | L ha−1 | 449.3 ± 159.0 |
| L t−1 | 12.0 ± 14.6 | |
| Pesticide | kg ha−1 | 14.1 ± 10.4 |
| kg t−1 | 0.58 ± 0.63 | |
| Fungicide | kg ha−1 | 5.3 ± 7.01 |
| kg t−1 | 0.18 ± 0.25 | |
| N-CF | kg-N ha−1 | 621.6 ± 295.9 |
| kg-N t−1 | 23.2 ± 12.1 | |
| P-CF | kg-P2O5 ha−1 | 289.9 ± 116.0 |
| kg-P2O5 t−1 | 11.2 ± 6.1 | |
| K-CF | kg-K2O ha−1 | 282.1 ± 71.1 |
| kg-K2O t−1 | 10.6 ± 3.3 |
| Inputs | Unit | S1 | S2 | S3 |
|---|---|---|---|---|
| OF | kg-OF ha−1 | 0 | 5180 ± 2465 | 10,360 ± 4930 |
| kg-OF t−1 | 0 | 193.6 ± 101.1 | 387.3 ± 202.2 | |
| N-CF | kg-N ha−1 | 621.6 ± 295.9 | 466.2 ± 221.9 | 310.8 ± 147.9 |
| kg-N t−1 | 23.2 ± 12.1 | 17.4 ± 9.1 | 11.6 ± 6.1 | |
| P-CF | kg-P2O5 ha−1 | 289.9 ± 116.0 | 188.3 ± 114.9 | 104.6 ± 106.9 |
| kg-P2O5 t−1 | 11.2 ± 6.1 | 7.4 ± 5.5 | 4.3 ± 4.8 | |
| K-CF | kg-K2O ha−1 | 282.1 ± 71.1 | 178.5 ± 63.4 | 85.5 ± 67.1 |
| kg-K2O t−1 | 10.6 ± 3.3 | 6.7 ± 2.7 | 3.3 ± 2.6 | |
| Fertilizer’s mitigation: S2–S1 | kg-P2O5 ha−1 | - | 101.6 ± 45.9 | - |
| % P used | - | 39.6 ± 21.9 | - | |
| kg-K2O ha−1 | - | 103.6 ± 49.3 | - | |
| % K used | - | 36.8 ± 14.8 | - | |
| Fertilizer’s mitigation: S3–S1 | kg-P2O5 ha−1 | - | - | 185.3 ± 72.5 |
| % P used | - | - | 69.4 ± 26.9 | |
| kg-K2O ha−1 | - | - | 196.7 ± 78.1 | |
| % K used | - | - | 69.9 ± 21.3 |
Publisher’s Note: MDPI stays neutral with regard to jurisdictional claims in published maps and institutional affiliations. |
© 2022 by the authors. Licensee MDPI, Basel, Switzerland. This article is an open access article distributed under the terms and conditions of the Creative Commons Attribution (CC BY) license (https://creativecommons.org/licenses/by/4.0/).
Share and Cite
Liem, L.T.T.; Tashiro, Y.; Tinh, P.V.T.; Sakai, K. Reduction in Greenhouse Gas Emission from Seedless Lime Cultivation Using Organic Fertilizer in a Province in Vietnam Mekong Delta Region. Sustainability 2022, 14, 6102. https://doi.org/10.3390/su14106102
Liem LTT, Tashiro Y, Tinh PVT, Sakai K. Reduction in Greenhouse Gas Emission from Seedless Lime Cultivation Using Organic Fertilizer in a Province in Vietnam Mekong Delta Region. Sustainability. 2022; 14(10):6102. https://doi.org/10.3390/su14106102
Chicago/Turabian StyleLiem, Le Tran Thanh, Yukihiro Tashiro, Pham Van Trong Tinh, and Kenji Sakai. 2022. "Reduction in Greenhouse Gas Emission from Seedless Lime Cultivation Using Organic Fertilizer in a Province in Vietnam Mekong Delta Region" Sustainability 14, no. 10: 6102. https://doi.org/10.3390/su14106102
APA StyleLiem, L. T. T., Tashiro, Y., Tinh, P. V. T., & Sakai, K. (2022). Reduction in Greenhouse Gas Emission from Seedless Lime Cultivation Using Organic Fertilizer in a Province in Vietnam Mekong Delta Region. Sustainability, 14(10), 6102. https://doi.org/10.3390/su14106102

