Next Article in Journal
Sustainable Care and Factors Associated with Quality of Life among Older Beneficiaries of Social Services
Previous Article in Journal
Interaction Boundary Determination of Renewable Energy Sources to Estimate System Strength Using the Power Flow Tracing Strategy
Previous Article in Special Issue
Horticulture and Orchards as New Markets for Manure Valorisation with Less Environmental Impacts
 
 
Font Type:
Arial Georgia Verdana
Font Size:
Aa Aa Aa
Line Spacing:
Column Width:
Background:
Article

Agronomic and Environmental Performance of Lemnaminor Cultivated on Agricultural Wastewater Streams—A Practical Approach

1
Provincial Research and Advice Centre for Agriculture and Horticulture (Inagro vzw), Ieperseweg 87, 8800 Roeselare-Beitem, Belgium
2
Department of Green Chemistry and Technology, Ghent University, Coupure Links 653, 9000 Ghent, Belgium
3
Departamento de Química y Ciencias Exactas, Universidad Técnica Particular de Loja (UTPL), Loja 1101608, Ecuador
4
Department of Food Technology, Safety and Health, Ghent University, Valentin Vaerwyckweg 1, 9000 Ghent, Belgium
*
Author to whom correspondence should be addressed.
Sustainability 2021, 13(3), 1570; https://doi.org/10.3390/su13031570
Submission received: 23 December 2020 / Revised: 21 January 2021 / Accepted: 25 January 2021 / Published: 2 February 2021

Abstract

This study investigated the potential of Lemna minor to valorise agricultural wastewater in protein-rich feed material in order to meet the growing demand for animal feed protein and reduce the excess of nutrients in certain European regions. For this purpose, three pilot-scale systems were monitored for 175 days under outdoor conditions in Flanders. The systems were fed with the effluent of aquaculture (pikeperch production—PP), a mixture of diluted pig manure wastewater (PM), and a synthetic medium (SM). PM showed the highest productivity (6.1 ± 2.5 g DW m−2 d−1) and N uptake (327 ± 107 mg N m−2 d−1). PP yielded a similar productivity and both wastewaters resulted in higher productivities than SM. Furthermore, all media showed similar P uptake rates (65–70 P m−2 d−1). Finally, duckweed had a beneficial amino acid composition for humans (essential amino acid index = 1.1), broilers and pigs. This study also showed that the growing medium had more influence on the productivity of duckweed than on its amino acid composition or protein content, with the latter being only slightly affected by the different media studied. Overall, these results demonstrate that duckweed can effectively remove nutrients from agriculture wastewaters while producing quality protein.

1. Introduction

Intensive livestock production has led to a local surplus of nutrients in certain European regions [1,2]. These surpluses will potentially worsen with the increased demand for animal-derived protein resulting from the global population growth and the improvement of living standards [3,4]. Furthermore, these trends have considerable environmental implications [5]. Therefore, the treatment and re-use of waste streams have become an essential aspect in improving the sustainability and circularity of conventional agriculture.
Moreover, to sustain livestock production in Europe, a substantial amount of feed protein is imported in the form of soybean meal [6]. This low self-sufficiency exposes the EU to possible trade distortions, scarcity, and volatility to global protein market price [7]. However, more importantly, an increased feed protein demand causes the land-use change of rain forests and pastures into soybean fields, leading to enormous greenhouse gas (GHG) emissions [8]. More specifically, feed production and processing contributes up to 45% of the total GHG emissions of livestock production [9]. Therefore, substituting soybean by local and more land-use efficient feed protein sources becomes ever more important [5,8,9].
One potential protein alternative, which also helps reducing nutrient surpluses, is duckweed. This small floating macrophyte can both remove N and P from wastewaters while providing proteins for livestock production. The key aspect of duckweed is that these plants are the most rapidly growing Angiosperms in the world, following a quasi-exponential growth rate [10]. The estimated outdoor production rate in Europe ranges between 7 and 22 t dry weight (DW) ha−1 yr−1 [11], and even higher productivities have since been documented. To the authors’ knowledge, the maximal productivity of any duckweed species reached on a pilot scale study is 68 t DW ha−1 yr−1, which was achieved with Lemna punctate in the Santa Catarina State in southern Brazil [12]. In addition to high productivity, duckweed contains a high protein content of up to 45% [11] and a moderate amount of fiber, which makes the plant readily digestible for monogastric animals and many fish species [13]. For these reasons, duckweed has been grown by several commercial ventures and hundreds of thousands of small-scale farmers in Asia and Central America as an important source of protein for tilapia, ducks, chicken and pigs [14].
Duckweed’s environmental (such as N and P uptake) and agronomic (growth and protein productivity) performances have been tested on various agro-industrial waste streams like dairy wastewater [15,16,17], pig manure wastewater [12], [18] or aquaculture effluent [19]. Although promising, these studies were conducted mostly outside Europe and did not monitor a long period of growth. It is known that light intensity and photoperiod affect duckweed’s productivity, composition and nutrient uptake [20], which renders studies in outdoor conditions in Europe necessary for the large-scale implementation of this technology.
Moreover, several studies determined the protein content and amino acid (AA) composition of duckweed [21], but none, to the authors’ knowledge, have determined the effect of various growing media on this composition. Nevertheless, this parameter is essential for determining the nutritional quality of proteins [22,23,24]. Essential amino acids (EAA) are especially of worth since these cannot be assembled within an organism and need to be consumed from external sources [24,25].
To address the highlighted knowledge gaps, two agricultural wastewaters, i.e., the effluent of pikeperch production (PP) and the wastewater stream from a pig manure treatment facility (PM), were compared against a synthetic growing medium (SM) under identical meteorological conditions (a temperate maritime climate) for 175 days on a pilot-scale facility. N and P uptake and the amino acid composition of the produced biomass in these three media were determined. The chosen duckweed species was Lemna minor, which is indigenous to Europe and this plant has been repeatedly investigated for its feed and waste treatment purposes. The gathered data in this practical approach experiment give an estimation of the feasible performances of duckweed in an outdoor system in north-west Europe for simultaneous agricultural effluent treatment and feed production.

2. Materials and Methods

2.1. Experimental Setup

Three separate systems, consisting of five cubicontainers each (BE COMPOSITE IBC, Mauser, Brühl, Germany), were constructed in a sequential cascade, as shown in Figure A1 (Appendix A). In each cascade, the first and the last cubicontainer served as a storage tank for influent (A) and effluent (C), respectively. Duckweed was grown on the three middle cubicontainers (B.1; B.2; B.3). An area of 0.9 × 1.1 m was cut open from the upper container wall. Furthermore, the sidewalls were covered with a black plastic foil to exclude light interference and prevent an algal bloom.
At the start of the experiment, on 30 April 2018, all cubicontainers were filled with rainwater. From then onwards, only the first cultivation cubicontainer (B.1) received wastewater coming from the influent storage tank (A) using a flow pump (Etatron BT-MA/AD 50/3.0, Etatron, Italy). The two other cultivation cubicontainers received the effluent of the previous container in the cascade via overflow. The tube allowing overflow was positioned at a height that resulted in a volume of 0.967 m3 per container.
The first cascade was filled with effluent from an aquaculture facility producing pikeperch (PP) located at the site of Inagro vzw (Roeselare-Beitem, Belgium). The second cascade system was filled with a mix of effluents coming from a pig manure treatment facility (PM) located at the site of Ivaco (Ichtegem, Belgium). Ivaco is a pig farm that treats swine manure by a system of (i) mechanical separation, followed by (ii) the biological treatment (nitrification/denitrification) of the liquid fraction, which is subsequently treated by (iii) ferric chloride coagulation before being sent to a (iv) constructed wetland system that purifies the effluent to a (v) dischargeable water [26]. The Ivaco manure treatment facilities at Ichtegem allowed the sampling of wastewater from various points in the process, thereby allowing to compose a growing medium with an optimal nitrogen (10 mM) and phosphate (0.15 mM) content. The composition was determined by linear programming in Excel with data that was measured before the experiment. Before 10 September 2018, 110 L of the liquid fraction undergoing aerobic nitrification, 510 L of water from the first constructed wetland lagoon after sedimentation, and 380 L of rainwater were mixed into the influent cubicontainer of the cascade.
After 10 September 2018, a different recipe was used because a negative duckweed growth was observed in the cascade from 23 July 2018 onwards. In this second recipe, linear programming considered the electric conductivity (EC) and NH4 content. This resulted in a mixture of 220 L of the liquid fraction undergoing aerobic nitrification with 780 L of rainwater. The new recipe was applied to the cubicontainers with a similar composition regarding N and P, but a lower EC, re-establishing a positive duckweed growth. Apart from the recipe change, a weekly adjustment to the variation of biological effluent was considered infeasible due to the time lag between the analysis and preparation of the influent.
Both pilots were compared against a reference pilot which was fed with a synthetic growing medium (SM) containing an optimal mineral nutrient composition for duckweed cultivation, which is described as N-medium in the International Steering Committee on Duckweed Research and Application (ISCDRA) forum volume 3 [11,27]. In contrast to most experiments in the literature, the used salts were not laboratory-grade but commonly used salts in hydroculture. These commercial fertilizers are presented in Table A2 (Appendix A).
The influent flow was set up to ensure that all cubicontainers contained sufficient nutrients to prevent growth limitation. Therefore, a pump fed the cascade with a flow of 15 L h−1 for PP and 4.8 L h−1 for PM and SM. The residence time of the water in the whole system amounted to 8 days and 2 h for PP and 25 days and 9 h for PM and SM. The residence time in each cubicontainer was one third of that in the whole system. The flow of PP was set higher to compensate for the lower concentration of N and P in that medium. A constant flow was maintained during the experiment. PP, PM and SM had a respective N loading rate of 2.1 ± 0.8, 2.6 ± 1.2 and 4.5 ± 1.2 g N m−2 d−1, and a P loading rate of 1.3 ± 2.1, 0.82 ± 0.76 and 0.15 ± 0.06 g Pm−2 d−1.

2.2. Inoculation and Sampling

Duckweed was taken from a local pond (50°54′09″ N, 3°07′36″ E) and morphologically identified as Lemna minor [28]. The same duckweed strain was used for another experiment in which molecular barcoding confirmed this identification [29]. Each cultivation cubicontainer was inoculated with 500 g fresh weight (FWstart) of duckweed, yielding a density of 47 g DW m−2; This nearly allows maximal duckweed production at a harvest rate of 7 days [30]. Moreover, this density inhibits algal interference.
Throughout an entire growing season, between 30 April 2018 and 15 October 2018, the duckweed was weekly harvested (every Monday). Subsequently, the plants were dewatered by dripping from a net (15 min) and weighed (FWend). Then, 500 g was re-inoculated on the cultivation containers, and 300 g was dried for 3 days at 60 °C to determine a representative DW percentage (DW%). In this way, the dry weight was estimated before and after inoculation.
Biomass productivity (linear growth rate—LGR) and the relative growth rate (RGR) were calculated as follows:
LGR = DW % end * F W end - DW % start * F W start time * surface g   m - 2 d - 1
Relative growth rate (RGR) was calculated as follows:
RGR = ln ( DW % end * F W end ) - ln ( DW % start * F W start ) time d - 1

2.3. Meteorological Monitoring

Daily meteorological data, i.e., air temperature (°C), solar irradiance (kWh) and day length (h), were received from the Belgian Royal Meteorological Institute for the complete growing season (Table A1Appendix A).

2.4. Analyses

2.4.1. Mineral and Physiochemical Analysis

Dried samples of duckweed were ground and sieved to 0.5 mm (Retsch SM200, Retsch, Germany). Total N content was determined with the Kjeldahl method according to Van Ranst et al. [31] and the protein content was subsequently converted from Kjeldahl N using a factor of 6.25 [32]. The total P (T-P) content of duckweed was analysed by inductively coupled plasma-optical emission spectroscopy (ICP-OES; Optima 8300, PerkinElmer, Zaventem, Belgium) after microwave destruction (MARS6, CEM, Matthews, Burbank CA, USA) in an aqua regia (1 HNO3: 3 HCl) solution. The N and P content of the duckweed was determined weekly between 30 April 2018 and 25 June 2018, and an additional four randomly selected points in time. Protein productivity, N uptake, and P uptake were calculated similarly to Equation (1), except for using the protein content, N content and P content, respectively, instead of DW content.
For the whole experiment, the influent was sampled weekly and the following analyses were performed. Electrical conductivity (EC) and pH were measured on freshwater samples with a ProfiLine Cond 3110 WTW conductivity meter (Weilheim, Germany) and a ProfiLine pH 3110 WTW pH-meter (Weilheim, Germany), respectively. The concentrations of the N compounds (NH4-N, NO3-N, NO2-N) were determined with a continuous flow analyser (SFA type 4000, Skalar Analytical B.V., Breda, The Netherlands) following ISO 13395:1996 for NO3-N and NO2-N, and ISO 11732:2005 for NH4-N. The total inorganic dissolved N (T-DIN) was defined as the sum of NO3-N, NO2-N and NH4-N concentrations. Concentrations of P, Ca, Mg, Na, K, B, Mn, Fe, Cu, and Zn were measured by ICP-OES after microwave destruction (MARS6, CEM, Matthews, NC, USA) in an aqua regia solution. Cl and SO42− were analysed by liquid chromatography (850 Professional IC anion, Metrohm, Antwerpen, Belgium) with a 150 mm column (Metrosep A SUPP 5-150/4.0, Metrohm, Antwerpen, Belgium), following the ISO 10304-1:2007 method. H2CO3 was determined by titration following the ISO 9963-1:1994 method.
Total N and P removal were calculated based on the concentrations (T-DIN, T-P) measured weekly in each cubicontainer between 30 April 2018 and 25 June 2018. Removal was set to be the difference between the total amount of nutrients flowing in and out of the system, divided by the area of a cubicontainer (1.1 m2) and the number of days between measurements (7 days). To calculate the total N or P inflow, the average nutrient concentrations of the influent were multiplied by the flow of the pump and the time between measurements. For the total outflow, the calculation is similar, but the used nutrient content equalled the average between the start and end concentration in the cultivation cubicontainer during the selected period. It was assumed that the flow between cubicontainers was the same as the debit of the pump for all cubicontainers. All annual estimations considered a growing season of 175 days, as this was the length of the experiment.

2.4.2. Amino Acid (AA) Analysis

Duckweed’s AA composition was analysed five times during the growing season on each cubicontainer cascade, resulting in 15 samples. The sampling was done on 11 June, 18 June, 25 June, 30 July and 13 August. At harvest, samples were stored at −18 °C within an hour. Prior to AA analysis, duckweed samples were freeze-dried and ground with a pestle and mortar. The fat of a 50 mg sample was extracted with petroleum ether and the fat-free duckweed was resuspended in 10 mL Milli-Q water. Subsequently, 200 µL of this suspension was hydrolysed with 6 M HCl for 24 h at 110 °C in vacuum-sealed hydrolysis tubes (Wilmad Labglas). Amino acid oxidation was prevented by hydrolysis followed by acid evaporation under a vacuum atmosphere which was alternated with nitrogen gas flushing. The hydrolysate was dissolved in 1 mL Milli-Q water and subsequently, filtered through a 0.45 µm syringe filter (25 mm, Polytetrafluoroethylene (PTFE), VWR, Belgium) into a 2 mL amber glass vial and stored at −20 °C prior to HPLC analysis. Essential amino acid (EAA) analyses were performed applying the standard operating procedure (SOP) of Agilent Technologies (Santa Clara, CA, USA) using ortho-phtalaldehyde (OPA) online derivatization in an Agilent 1290 Infinity II LC system. The EAAs were first converted into OPA derivatives using the 1260 Infinity II Vial sampler (Agilent, Santa Clara, CA, USA), after which separation was performed on an Infinity Lab Poroshell 120 HPH-C18 column (4.6 mm × 100 mm × 2.7 μm; Agilent, Santa Clara, CA, USA). The mobile phases, at a flow rate of 2 mL/min, consisted of 10 mM Na2HPO4, 10 mM Na2B4O7, 0.5 mM NaN3 at pH 8.2 (eluent A) and acetonitrile/methanol/Milli-Q water in a ratio of 45/45/10 (v/v/v) (eluent B), and followed the gradient in the SOP. The absorbance was measured at 338 nm. Norvaline was used as an internal standard (0.5 mM) for quantification.
Bovine serum albumin (BSA) was used as a control to determine the amino acid recovery after hydrolysis. Tryptophan (Trp) was not determined. The measured AA content was multiplied with the recovery percentage that was found for BSA to reduce the underestimation caused by insufficient recovery efficiency during analysis. To evaluate the protein quality, the AA composition was compared to the nutritional requirements for humans [21,29], pigs [22], and broilers [22,30].
An essential amino acid index (EAAI) was calculated for humans and broilers using the following equation [33]:
EAAI = aa 1 AA 1 * aa 2 AA 2 * * aan AAn n
Here, aa1, aa2,… aan represent the percentage of the respective EAA content in the sample and AA1, AA2, … AAn represent the respective FAO/WHO established human reference content [24]. Trp was excluded from the calculation and, for the duos Met + Cys and Phe + Tyr, their respective sum was taken as the sum also used in the guidelines. Consequently, the ‘n’ in the previous equation equalled to seven.
Likewise, for broilers, Trp was excluded and the duo Met + Cys was combined. On top of that, Met was individually included. The established reference for broilers was taken for finisher As-Hatched Broilers with Target Live Weight 1.70–2.4 kg [34], resulting in an ‘n’ of eight.
For growing pigs and sows, the EAAI is not the standard method to evaluate protein quality. In most cases, proteins are considered qualitative if Lys is sufficiently available. Therefore, the division of an EAA by the Lys content should match with a proposed ideal ratio [22].

2.5. Statistics

All statistical analyses were performed with R [35]. All hypotheses were evaluated on a 5% significance level (p < 0.05). Normality was tested using the Shapiro–Wilk test, and the homogeneity of variances by Levene’s test. Post hoc analysis was performed with a Tukey test when the criteria were met. Otherwise, significant differences in means were determined with a non-parametric Dunn test using the Bonferroni criterium.
Linear regressions were performed for LGR (g m−2 d−1), RGR (d−1), N content (mg N g−1 DW), P content (mg P g−1 DW), N uptake (mg N m−2 d−1) and P uptake (mg P m−2 d−1). The regressions were performed over the complete growing season with:
  • The meteorological variables (weekly average air temperature (°C), weekly total solar irradiance (kWh), date);
  • The factorial variables (medium, cascade);
  • Their first-order interaction effects.
One by one, the effect with the highest significance level was discarded, following the Akaike information criterion (AIC). The regression with the lowest AIC-value was selected, and the multiple R-squared is presented. The normality of the residuals was tested using a Shapiro–Wilk test and homoscedasticity was visually verified.

3. Results

3.1. Composition of the Growing Media

During the entire growing season, the influent concentrations of the three cubicontainer cascades were determined. The results are summarized in Table 1, along with the optimal and maximal growing ranges found in the literature [11,36]. When a certain component is within the optimal ranges, the growth will be optimal; when it is outside the maximal growing range, then duckweed growth is theoretically impossible. In all other cases, duckweed growth is suboptimal.

3.1.1. Pikeperch Effluent

Almost all parameters of PP were situated within the maximal growing range, allowing duckweed growth. Only the K content was below, while Cl and pH were above the optimal range, making the medium suboptimal for duckweed cultivation. The NO3–N and NH4–N contents were below optimal levels for duckweed growth but within commonly found NO3–N levels in recirculating aquaculture systems of adult pikeperch [37].
A remarkably high variation was observed over the sampling time, which was reduced when separating the PP into the three categories used on Table 1. This variation can be explained by two underlying processes. First, NaCl is added during the growth cycle of pikeperch to reduce the stress caused by the grading of the animals. Grading is done by sorting fishes with similar sizes together to reduce cannibalism, which is primarily done in the early stages of the life cycle. For instance, fish with a size of 10–50 g are graded weekly, while fish of more than 50 g are graded every six weeks. Accordingly, NaCl is added every week or every six weeks. Additionally, pikeperch production is organised in a way that all eggs hatch within a short timeframe. As a result, all fish reach a certain life stage at a similar time, resulting in a visible NaCl pattern during the year. In the experiment, PP came from weekly graded fish until 14 May 2018, when the fish were graded every 6 weeks.
A second process that increases variation in PP is the presence of sediment. On 23 July 2018, 27 August 2018 and 17 September 2018, the concentrations of Ca, Mg, P, Fe, Zn, Cu and Mn were all significantly higher compared with all other datapoints. This sudden increase is not visible in the concentrations of easily soluble ions like K, Na, SO4, and Cl. This discrepancy could be attributed to sediment. This could be explained by technical incidents like the malfunction of a drum filter, or sporadically pumping deeper from the storage lagoon in which the effluent was captured. Although the increase in nutrients was considerable, only the P content exceeded the upper optimal growing level in these three data points.

3.1.2. Pig Manure Wastewaters

All parameters of both PM recipes were on average within the maximal growing ranges allowing duckweed growth. However, pH, EC, P, K, Na and Cl were above the optimal levels while NO3–N and NH4–N concentrations were slightly below the optimal levels. Notably, PM had the highest micronutrient concentrations of all media, but only Fe exceeded the optimal growing range for duckweed growth in the second recipe.
The considerable variation might be inherent to swine manure wastewaters and could be partly explained by the underlying processes such as the residence time of biological effluent in the reactor and subsequent effluent storage, evaporation and precipitation, microbial interferences and temperature.

3.1.3. Synthetic Medium

For the SM, most elements were within the optimal ranges, except for Na and NH4–N, which were below optimal ranges. The lack of NH4–N would not be lethal as there was sufficient N available in the form of NO3–N. Nevertheless, NH4–N addition could theoretically increase the protein content and biomass productivity [38]. The conductivity of SM was distributed around the upper optimal level. Hence, increasing the Na level would increase the EC and osmotic potential of the water even more, making the medium less suitable for duckweed growth. Next to conductivity, also pH is distributed around the upper optimal level. Adding an acid to the medium or using rainwater with a lower conductivity and pH would likely be beneficial to produce duckweed. Nevertheless, a growing medium with a quasi-optimal composition was obtained. The components and their respective brand name and cost are summarised in Table A2 (Appendix A). It was shown that using commercial salts can considerably reduce the synthetic medium cost, from EUR 53.7/m3 to EUR 1.12/m3.

3.2. Agronomic and Environmental Performance

Duckweed performances on the different tested media are summarised in Table 2. Overall, the measured parameters were within similar ranges for the three media, indicating that the wastewaters did not have a negative impact on duckweed growth when compared to SM, but some statistically significant differences were observed. PM resulted in higher duckweed productivity than SM, while PP yielded similar productivity as both PM and SM. The same observation can be made for duckweed’s dry weight content. For the N content and therefore also protein content, SM and PM had the highest values. Since duckweed grown on PM had both the highest productivity and N content, it was expected that it would result in the highest N uptake, however, this was similar to the one obtained in SM. These data indicate that the lower concentration of T-DIN or lower N loading rate in PP may have caused the lower N content observed.
Remarkably, the medium with the lowest P loading rate (SM) stimulated duckweed’s P content the most. Further research should include an analysis for plant-available P in addition to the total P concentration to better elucidate the observed differences.
Although the P content of duckweed grown on SM was significantly higher than that on PP and PM, this did not result in significant differences in the P uptake of duckweed. Finally, the N and P uptake were much lower than the according loading rates, indicating that N and P were sufficiently present in the systems to prevent starvation (Table 2).
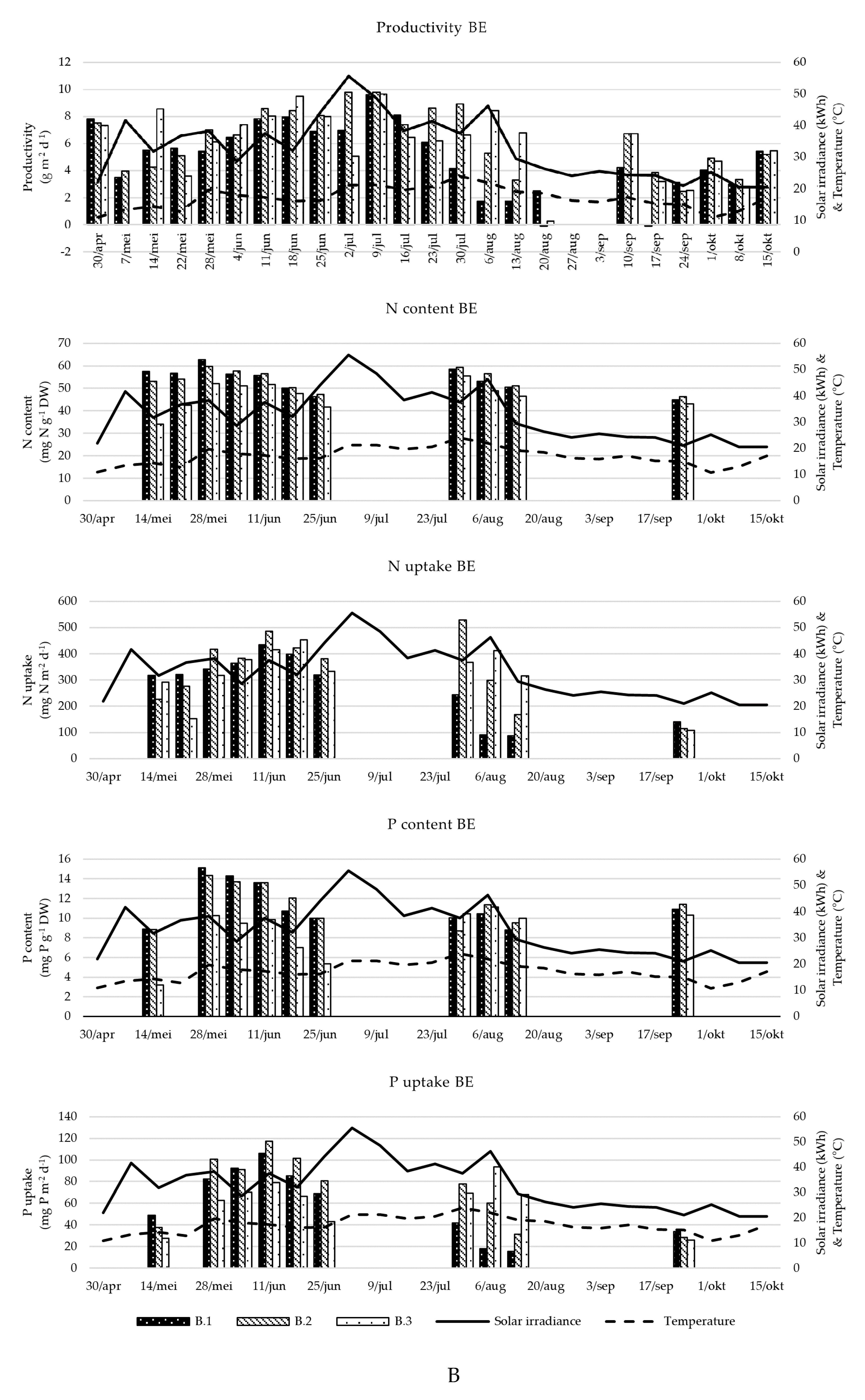
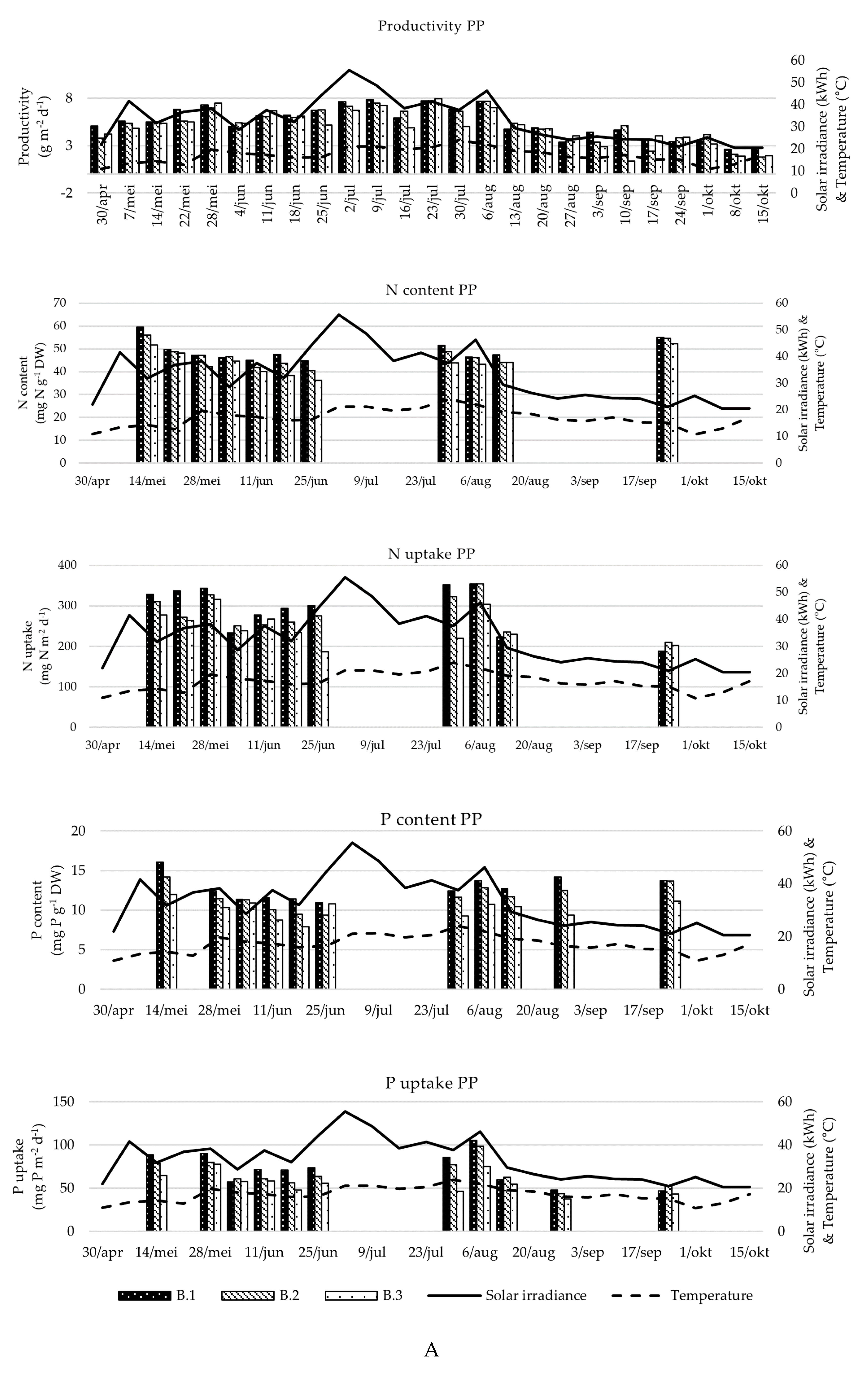
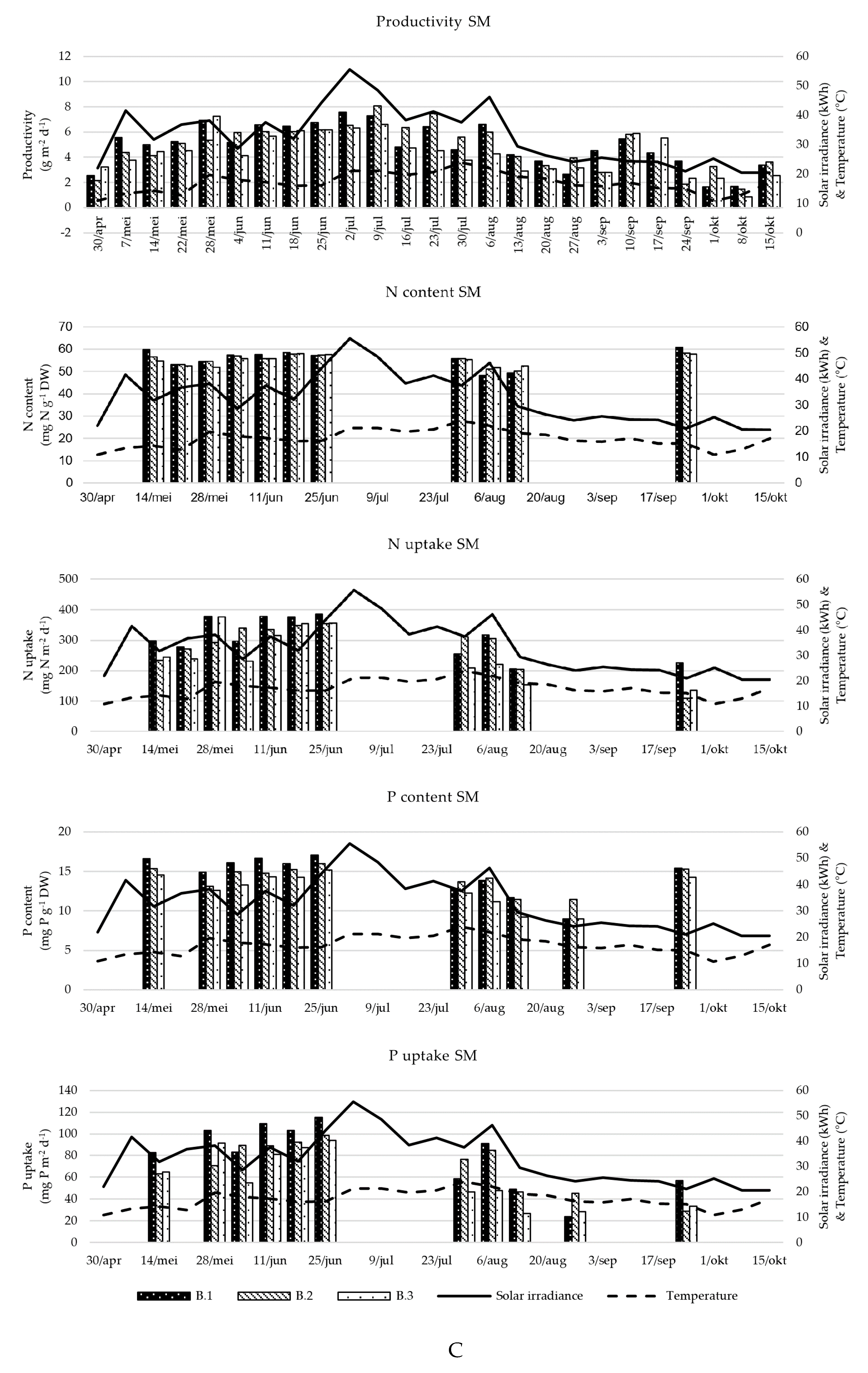
Duckweed’s productivity (LGR and RGR), N and P content, and N and P uptake were weekly observed throughout the growing season and linked to the climatic conditions and the growing medium. The results from the linear regression of the agronomic and environmental performances of duckweed on both wastewaters are provided in the appendices (Table A3, Table A4, Table A5, Table A6 and Table A7) and can be visualised in Figure A1 and Figure A2 (Appendix A). It should be noted that the period of die-off and medium adjustment (from 24 September to 1 October) was discarded from the regression dataset of PM, as these were not representative for the medium. This is expressed in Figure 1 by the lack of data at higher temperature and solar irradiance levels.
In this study, the average weekly solar irradiance and the average weekly temperature ranged between 20 and 56 kWh, and 11 and 24 °C (Table A2Appendix A), respectively. Overall, it can be observed that within this range, the (i) discrete variables for the growing medium, (ii) and continuous variables for solar irradiance and (iii) temperature have all a main or an interaction effect on the agronomic and environmental performances of duckweed. This indicates that both the chosen medium as well as the climate will have an impact on duckweed productivity, composition, and nutrient uptake. Furthermore, the regressions were also separately executed for each growing medium, repeating the importance of solar irradiance and temperature on duckweed’s productivity for each medium separately. Thus, as expected, seasonal variation occurs in outside conditions. Interestingly, temperature was negatively and solar irradiance was positively correlated with the N and P contents of duckweed in the linear regression. Therefore, as higher temperatures and solar irradiances occur mostly simultaneously, these effects will counteract each other. Hence, the temperature and solar irradiance effect was mostly recognisable in duckweed productivity, as can be seen in Figure 1.
In addition to the meteorological parameters and the medium, the cascade effect was also significant for duckweed’s N and P content, except for the duckweed grown on SM. This indicates that the N and P composition of the water is important for the N and P content in the plant. As a result, a reduced variation in the medium composition would most likely reduce variation in plant composition.

3.3. Amino Acid Composition

The nutritional quality of proteins is determined by the amino acid (AA) composition. For the three cascades, these compositions are reported in Table 3. The data analysis showed that all AAs followed a normal distribution except for Met, which was probably due to the limited amount of this AA present. Only for Arg was there a significantly higher content observed in the duckweed grown on PM compared to the other two treatments. For all other AAs, no differences were found.
Moreover, the correlation between the total Crude Protein (CP) content and each individual AA was tested and only a significant negative correlation between the total CP and His content was found. This indicates that all AA were at a similar rate synthesized when the protein content increased, except His. As His is a semi-essential AA, this does not contribute to nutritional quality.
Protein content in plants can be calculated both directly based on the sum of individual AAs or from the plant’s Kjeldahl–N content with the use of a conversion factor. Table 3 shows the results obtained with the two calculations. The sum of AA is slightly yet significantly lower than the ‘N-content conversion value’ in each treatment. Nevertheless, Trp and free amino acids were undetermined and the Cys was below the quantification level, leading to an underestimation of the combined amount of AA. Determining these would increase the sum of AA and would probably approach the protein content calculated from the N content. Thus, as expected, both results display similar results, verifying each other.
For this sum of amino acids, the coefficient of variation (CoV) was also calculated by dividing the standard deviation of the whole dataset by its mean, which resulted in a CoV of 9%. The same was done for the respective plant productivity (LGR) in each point of the same dataset and a CoV of 19% was found. Moreover, the CoV of each AA is also lower than plant productivity with the exception of cysteine, which is higher due to the technical variation induced in the lab, as the concentrations were below the detection limits. Thus, variation within duckweed productivity is larger than within the protein content and AA composition. This indicates that the growing medium had more influence on the productivity of duckweed content than on the AA composition or protein content.
Although a bigger dataset could be more precise to detect correlations with a slight impact, both the lack of significant effects caused by the growing medium and reduction in CoV indicate that the composition is inherent to the plant and is not affected by growth conditions. This is of interest for the S binding AA methionine, as this is generally limiting in legumes [39]. Even with a considerable difference of SO4 between the growing medium of PP and PM, no trend is visible in the duckweed AA composition. Finally, Trp should be investigated in future research, as it could vary with the growing medium.

4. Discussion

4.1. Duckweed Productivity

Plant productivity increased with increasing solar irradiance until the harvest of 9 July. At that moment, the duckweed grown on PP, PM, and SM had a respective productivity of 7.5 ± 0.3, 9.7 ± 0.1, and 7.3 ± 0.7 g DW m−2 d−1. After 9 July, productivity decreased, resulting in total productivities of 5.2 ± 1.7, 6.1 ± 2.5 and 4.7 ± 1.7 g DW m−2 d−1 for PP, PM and SM, respectively (Table 2). These average productivities are comparable to productivities recorded on municipal treatment water under a sub-temperate climate, of 5.72 g DW m−2 d−1 [40].
Growth continued until the end of October (22 November) after which a sharp drop was observed. Based on this, we concluded that duckweed could have a viable growing season of approximately 175 days in a temperate maritime climate like Flanders. Nevertheless, the start and end of the growing season can vary from year to year. In general, Lemna minor growth stops at water temperatures below 8 °C, limiting the length of the duckweed growing season [11].
Duckweed can follow an exponential growth rate [10]. However, fitting an exponential model to the data of this study did not lead to satisfying predictions of duckweed’s productivity, even after parameter estimation. This indicates that growth was better described by a linear growth rate. The absence of an exponential growth can be attributed to the high initial plant density. In this experiment, the water surface area was fully covered, and a density of 47 g DW m−2 was inoculated. This is a higher density than the optimal density for a maximal RGR [30]. However, LGR is maximal at 45 g DW m−2 and these densities were preferred as they maximise the absolute amount of duckweed produced, given a harvest frequency of 7 days [30]. Additionally, high densities limit algal interferences. Nevertheless, RGRs of 0.172, 0.179, and 0.176 d−1 on PP, PM, and SM were found, respectively, which are within the range reported for duckweed in laboratory conditions, from 0.153 to 0.519 d−1 [10].
Remarkably, the SM medium (of which the parameters lie almost completely in the optimal ranges) had a significant lower production than the duckweed grown on PM. This is more surprising as PM also experienced toxic conditions at one point. In addition, PP exhibited a similar production than SM. Comparably, organic fertilisers have been shown to be more productive than inorganic fertilisers in outdoor large-scale experiments [41].
A potential element responsible for the better performance of PM could be humic substances. Humic substances have been reported in wastewater from piggery treatment facilities, such as the one investigated in the present study [42]. Dissolved organic material can also be present in PP, which is released by the physicochemical degradation of the fish feed and the fish excretions, or by microorganisms [43,44]. Past investigations have reported the potentially growth-promoting effects of such substances for higher plants [45,46]. These results imply that there could be bio-stimulating effects within the wastewater media, giving waste valorisation an added productivity value. Hence, future research should provide proof for this potential process.
Finally, duckweed productivity was equivalent to 9.1 ± 3.0, 10.7 ± 4.4 and 8.4 ± 3.0 t DW ha−1 yr−1 on PP, PM and SM, respectively. These numbers lie within the European productivity range predicted by Landolt and Kandeler (1987). Nevertheless, higher productivities might be achieved by monitoring periods longer than 175 days and optimising the density with the harvest frequency.

4.2. Driving Factors behind Die-Off of Duckweed on PM

During August, duckweed growth stopped on PM (Figure A1). A clear negative trend in the productivity occurred from 23 July 2018 onwards, and this was not observed on the other two media. In that week, the productivity in B.1 was below that of B.2. Two weeks later, also in B.2 the productivity was lower than in the following cubicontainer. Subsequently, the growth decreased two weeks later in B.3. This indicates that there was a toxic component present in the medium that slowly flowed throughout the system with a lag of two weeks per cubicontainer. This is approximately two thirds of the retention time in the PM system, which is also twice the retention time of one cubicontainer in the PM system.
Only the composition of the influent cubicontainer was monitored during the period of die-off; considering that it took two weeks for the toxicity to manifest, it was assumed that the toxic component should be visible in the influent cubicontainer (A) two weeks before the drop on 23 July 2018. Although the reason behind die-off is not really known, it was observed that pH, EC, and NH4–N approached and exceeded the theoretic toxicity levels in the cubicontainer A of PM during this period (Figure 2). In comparison, PP, which had a similar average NH4–N concentration to PM, never approached toxicity levels for these parameters. The toxic NH4–N level for duckweed is in general 1350 mg/L [11]; however, at high pH and NH4–N concentrations, the risk of NH3 toxicity is much higher, with the maximum level of NH3–N tolerated being 8 mg/L [47]. Therefore, we proposed a correction in the maximum permissible ammonium level considering both pH and NH3–N levels (Figure 2c). In PM, the calculated maximum level is lower than that of PP due to the high pH.
First, the pH reached a toxic level of 9 for two weeks with a subsequent decrease. This pH increase might have occurred too soon to cause the die-off of the plants, especially as the duckweed productivity had reached a maximal productivity two weeks after the medium with this pH peak was fed.
EC and NH4, however, exceeded their maximum growing level on 16/07/18. Therefore, both EC and NH4–N (in interaction with pH) are potential components restricting duckweed production on the biological effluent of the pig manure treatment. For a large scale operation, it is recommended to constantly monitor pH, EC and ammonium which allows the operator to dilute the influent depending on the value of these parameters. For future research, it is interesting to consider the recirculation of the effluent of the duckweed system to reduce the dilution water.

4.3. Environmental Performance

Considering a growing season of 175 days, the average annual N uptake of this study ranged between 48 and 57 g N m−2 yr−1, which was much higher than those reported for duckweed produced in a dairy wastewater lagoon, ranging between 22.4–32 g N m−2 yr−1 [15,16].
In addition to nutrient uptake, a duckweed system also removes nutrients by other processes. For example, microbial conversion is the dominant pathway of N removal, and sedimentation for P removal [44,45]. Indeed, for SM, PM, and PP, N uptake contributed on average 51, 27 and 26% to the N removal, while P uptake contributed 88, 17, and 31% to the total P removal, respectively. These findings are in line with other studies in which duckweed was directly responsible for only 16 to 47% of the N removal and 9 and 61% of the P removal [48]. For SM, the P uptake share is considerably higher, but this could be because synthetic media contain less particles to settle, reducing the effect of sedimentation.
Nevertheless, the environmental performance of duckweed is comparable to that of a study on a reed-based constructed wetland monitored on a large scale [26]. The comparability between these studies is high as both were performed on the biological effluent of piggery manure from the same farm and under the same meteorological conditions. In short, the average N uptake by reed was only 24% of the N uptake by duckweed in our findings [26]. Therefore, duckweed shows a much higher N uptake than a more traditional system. However, the removal of both N and P via the harvesting of aboveground biomass in constructed wetlands ranges generally between 100 and 200 g N m−2 yr−1 and 10 and 20 g P m−2 yr−1 [49], [50] respectively, which is higher than the values found for duckweed, especially for N. Nevertheless, duckweed can remove N and P from waste streams and add an extra value by producing proteins.

4.4. Nutritional Value of Protein

The nutritional quality of duckweed could be considered beneficial for human consumption. The EAAI of the duckweed was on average 1.1 ± 0.1. Soybean has the same EAAI when applying the same formula [51]. Furthermore, the quality was very similar to that of the commercial available algae Chlorella (1.05) but lower than Spirulina (1.25) [52]. More specifically, duckweed is a source of Thr, Leu, Val, Lys, and Phe + Tyr. Only the sulphur binding AA (Met + Cys) are below the human requirements [24], as shown in Figure 3. It should be noted that Cys was undetected, hence, Cys was set to zero in the sum of sulphur binding AA (Met + Cys), leading to an underestimation of the nutritional value. Overall, duckweed can be considered a nutritive plant-based protein source, as Lys, Try, Thr and Met are sufficiently available, which are generally low in plant protein and are therefore commonly limiting in the human diet [53].
For broilers, Met is almost fulfilling the nutritional requirements, but Cys is deficient (Figure 3). Therefore, Cys sources should also be provided in the feed to result in a balanced AA profile. The EAAI is 0.99 and can be considered beneficial. Remarkably, Arg is an EAA for broilers and it was found that duckweed grown on PM had a significantly high Arg content. Thus, duckweed grown on PM is more nutritious for broilers than duckweed grown on PE or SM.
Similar conclusions can be derived for the nutritional quality of protein for pig feed. Proteins are considered as qualitative when the Lys is sufficiently available. Therefore, the division of all EAA by the Lys content is an index of good quality, which is presented in Table 4. All ratios are the same or significantly higher than the ideal ratios with the exception of Thr, which was not determined, and Cys, which did not exceed the detection limit [22]. The combination Met + Cys is limiting. Hence, duckweed should be mixed with Met + Cys rich ingredients or with supplements of these AA to obtain optimal growth.
On an annual basis, the cumulative protein production amounted to 2.9 ± 0.7, 3.5 ± 1.3 and 3.0 ± 0.9 t ha−1 yr−1 for PP, PM and SM, respectively. The found protein contents (Table 1) are similar to those of soybean containing 36% of protein [54], but much less than the frequently used protein source in feed, soybean meal without hulls, containing 49% of proteins [54]. These products are frequently imported from Brazil, Argentina, and USA, but the average biomass and protein productivity of soy in are 3.0 t grains ha−1 y−1 and 1.0 t proteins ha−1 yr−1 [55,56]. Hence, this research achieves considerably higher productivities than those of soybean. Even though the further optimisation of the growing media and the thorough validation of feed/food safety requirements are still necessary, this research confirms that duckweed is a potential plant to be used as an alternative protein source and for treating agricultural waste streams.

5. Conclusions

This study confirms that duckweed can efficiently produce 8.1 to 10.7 t ha−1 yr−1 of dry biomass under a temperate maritime climate. Duckweed had an average uptake between 274 and 327 mg N m−2 d−1, and between 65 and 70 mg P m−2 d−1. These environmental performances are promising, allowing duckweed to be integrated in a constructed wetland in Europe. However, outside conditions and variability between and within the wastewaters cause a variability of both agronomic and environmental performances and should be monitored.
Moreover, duckweed can produce 2.9 to 3.5 t proteins ha−1 yr−1 in the two tested wastewaters, which outperform soybean productivity. Additionally, the protein is of high quality for humans, pigs, and broilers, but sulphur binding AAs are limited.
As a result, duckweed can potentially treat pikeperch and pig manure wastewater in a temperate maritime climate and simultaneously produce a protein-rich biomass of quality.

Author Contributions

R.D.: conceptualization, investigation, writing—draft preparation, project administration. M.F.d.S.: writing—review and editing. E.M. (Evi Michels): writing—review and editing. I.S.: writing—review and editing. N.D.: writing—review and editing. C.C.: conceptualization, investigation. J.L.: writing—review and editing, supervision, project administration, funding acquisition. M.E.: writing—review and editing, funding acquisition, supervision. P.V.: writing—draft preparation, methodology. E.M. (Erik Meers): writing—review and editing, supervision, project administration, funding acquisition. All authors have read and agreed to the published version of the manuscript.

Funding

This research was funded by the Flemish government within the framework of Circular Flanders project: “Waardeketen Eendenkroos”, grant number: OC-SO-2018 201, and the H2020 project Nutri2Cycle, grant number: 773682.

Institutional Review Board Statement

Not applicable.

Informed Consent Statement

Not applicable.

Data Availability Statement

Data is contained within the article and supplementary material.

Conflicts of Interest

The authors declare no conflict of interest. The funders had no role in the design of the study; in the collection, analyses, or interpretation of data; in the writing of the manuscript, or in the decision to publish the results.

Appendix A

Figure A1. Above, a schematic representation of the cubicontainer cascade. From left to right, the medium was pumped with a flow pump (D) from the influent storage cubicontainer (A) into the second cubicontainer (B.1). By gravitational forces, the water flowed down the cubicontainers cascade and was stored in the effluent storage cubicontainer (C). The duckweed was grown on the cultivation cubicontainers (B.1; B.2; B.3). Picture of the running cascade containing the reference medium is shown below.
Figure A1. Above, a schematic representation of the cubicontainer cascade. From left to right, the medium was pumped with a flow pump (D) from the influent storage cubicontainer (A) into the second cubicontainer (B.1). By gravitational forces, the water flowed down the cubicontainers cascade and was stored in the effluent storage cubicontainer (C). The duckweed was grown on the cultivation cubicontainers (B.1; B.2; B.3). Picture of the running cascade containing the reference medium is shown below.
Sustainability 13 01570 g0a1
Table A1. Weekly average of the meteorological data retrieved from the Belgian Royal Meteorological Institute on demand (www.meteo.be).
Table A1. Weekly average of the meteorological data retrieved from the Belgian Royal Meteorological Institute on demand (www.meteo.be).
DateAir TemperatureAverage PhotoperiodAverage Solar Radiation
(°C)(h)(W m−2)
30 April 2018136.9845
7 May 20181211.7527
14 May 20181611.4523
21 May 2018129.3701
28 May 2018197.5844
4 June 2018186.1862
11 June 2018176.81037
18 June 2018166.2874
25 June 20181611.4673
2 July 20182115545
9 July 20182113.2532
16 July 20181911.3564
23 July 20182010.3598
30 July 2018249.7580
6 August 20182213516
13 August 2018198.7567
20 August 2018185.4771
27 August 2018165.1861
3 September 2018168.7775
10 September 2018175951
17 September 2018158.1475
24 September 2018167.9452
1 October 2018118.9434
8 October 2018148.1413
15 October 2018179.1331
Mean ± Stdv.17 ± 48.9 ± 4.0667 ± 337
Table A2. Composition and cost of the synthetic medium as described as N-medium in the duckweed ISCDRA forum volume 3 [11,27], prepared with lab grade salts and commercial fertilisers. The prices were supplied by Merck (Branchburg, NJ, USA) for the lab grade brands and Sanac (Wervik, Belgium) for the commercial brands.
Table A2. Composition and cost of the synthetic medium as described as N-medium in the duckweed ISCDRA forum volume 3 [11,27], prepared with lab grade salts and commercial fertilisers. The prices were supplied by Merck (Branchburg, NJ, USA) for the lab grade brands and Sanac (Wervik, Belgium) for the commercial brands.
Chemical CompoundConcentrationBrand Lab GradePriceCostCommercial BrandPriceCost
mMmg/L EUR
/kg
EUR
/m3
EUR
/kg
EUR
/m3
KNO38809EMSURE®4234Multi-K GG Haifa0.830.67
MgSO4.7H2O1246EMPROVE®102.6Bittersalz EpsoTop0.330.08
Ca(NO3)2.4H2O1236EMPLURA®409.4YaraLiva0.470.11
KH2PO41136ReagentPlus®405.4NovaPeaK1.300.18
FeNaEDTA0.0259.2Titriplex® II1861.7YaraVita7.860.072
MnCl2.4H2O0.0132.6Bioreagent1830.47 2.390.0061
H3BO30.0050.31EMSURE®200.006Borax1.880.00058
Na2MoO4.2H2O0.00040.097EMSURE®6060.059Sanac40.400.0039
Total 53.7 1.12
Table A3. Output from the linear regression of the linear growth rate of duckweed (LGR) and relative growth rate (RGR) with the medium parameters (a mixture of diluted pig manure wastewater: PM; pikeperch effluent: PP; and the synthetic medium: SM), temperature, solar irradiance, and cascade effect. The intercept medium is PM (significance codes: 0 ‘***’, 0.001 ‘**’, 0.01 ‘*’, 0.05 ‘.’, 0.1 ‘ ’).
Table A3. Output from the linear regression of the linear growth rate of duckweed (LGR) and relative growth rate (RGR) with the medium parameters (a mixture of diluted pig manure wastewater: PM; pikeperch effluent: PP; and the synthetic medium: SM), temperature, solar irradiance, and cascade effect. The intercept medium is PM (significance codes: 0 ‘***’, 0.001 ‘**’, 0.01 ‘*’, 0.05 ‘.’, 0.1 ‘ ’).
LGR Overall (R2 = 0.65; Akaike Information Criterion (AIC) = 501)
VariableEstimateStd. ErrorT-ValueSignificance Level
Intercept180463.90.00012***
Date−0.010.0026−3.90.00012***
Medium PP−0.930.22−4.32.6*10−5***
Medium SM−1.40.22−6.58.3*10−10***
Temperature0.180.0306.16.8*10−9***
Solar irradiance0.50.0895.68.6*10−8***
Cascade effect−0.240.10−2.40.019*
RGR Overall (R2 = 0.47; AIC = −865)
VariableEstimateStd. ErrorT-ValueSignificance Level
Intercept0.0400.0113.80.00018***
Medium PP0.00310.00430.720.47
Medium SM−0.00440.0043−1.00.30
Temperature0.00240.00064.15.2*10−5***
Solar irradiance0.0100.0018.41.8*10−14***
Cascade effect−0.00580.0020−2.90.0037**
Table A4. Output from the linear regression of N content of duckweed with the parameters medium (a mixture of diluted pig manure wastewater: PM; pikeperch effluent: PP; and the synthetic medium: SM), temperature, solar irradiance en the cascade effect. The “intercept” medium is PM (significance codes: 0 ‘***’, 0.001 ‘**’, 0.01 ‘*’, 0.05 ‘.’, 0.1 ‘ ’). The regression was first executed on the whole dataset, and subsequently separately performed on each individual growing medium.
Table A4. Output from the linear regression of N content of duckweed with the parameters medium (a mixture of diluted pig manure wastewater: PM; pikeperch effluent: PP; and the synthetic medium: SM), temperature, solar irradiance en the cascade effect. The “intercept” medium is PM (significance codes: 0 ‘***’, 0.001 ‘**’, 0.01 ‘*’, 0.05 ‘.’, 0.1 ‘ ’). The regression was first executed on the whole dataset, and subsequently separately performed on each individual growing medium.
Overall (R2 = 0.65; Akaike Information Criterion (AIC) = 501)
VariableEstimateStd. ErrorT-ValueSignificance Level
Intercept3129.23.50.00079***
Medium PP249.02.70.0096**
Medium SM289.03.10.0029**
Temperature−13664−2.20.037*
Solar irradiance6232202.80.0059**
Cascade effect−2.61.0−2.60.011*
Temp—date0.00780.00362.10.035*
Solar irradiance—date−0.040.01−2.80.0058**
Medium PP—temp−1.70.50−3.40.0012**
Medium SM—temp−1.70.50−3.40.0012**
Medium PP—Cubicontainer (CC)−0.031.30−0.0250.98
Medium SM—CC2.31.301.70.084.
PM (R2 = 0.79; AIC = 117)
VariableEstimateStd. ErrorT-ValueSignificance Level
Intercept397.45.305.8*10−5***
Temperature1.40.354.000.0010**
Solar irradiance430855.109.5*10−5***
Cascade effect−2.60.81−3.200.0049**
Solar irradiance—date−0.0240.0048−5.109.73*10−5***
PP (R2 = 0.74; AIC = 177)
VariableEstimateStd. ErrorT-ValueSignificance Level
Intercept140236.02.4*10−6***
Temperature−46688−5.31.3*10−5***
Solar irradiance17403045.74.4*10−6***
Cascade effect−2.50.61−4.10.00032***
Solar irradiance—date−0.100.02−5.74.4*10−6***
Temp—date0.030.015.31.3*10−5***
Temp—solar irradiance0.900.263.40.0019**
SM (R2 = 0.32; AIC = 163)
VariableEstimateStd. ErrorT-ValueSignificance Level
Intercept−43291403−3.10.0044**
Date0.250.083.10.0040**
Temperature259833.10.0041**
Date—temp−0.0150.005−3.10.0040**
Table A5. Output from the linear regression of the P content of duckweed with the medium parameters (a mixture of diluted pig manure wastewater: PM; pikeperch effluent: PP; and the synthetic medium: SM), temperature, solar irradiance, and cascade effect. The “intercept” medium is PM (significance codes: 0 ‘***’, 0.001 ‘**’, 0.01 ‘*’, 0.05 ‘.’, 0.1 ‘ ’). The regression was first executed on the whole dataset, and subsequently separately performed on each individual growing medium.
Table A5. Output from the linear regression of the P content of duckweed with the medium parameters (a mixture of diluted pig manure wastewater: PM; pikeperch effluent: PP; and the synthetic medium: SM), temperature, solar irradiance, and cascade effect. The “intercept” medium is PM (significance codes: 0 ‘***’, 0.001 ‘**’, 0.01 ‘*’, 0.05 ‘.’, 0.1 ‘ ’). The regression was first executed on the whole dataset, and subsequently separately performed on each individual growing medium.
Overall (R2 = 0.70; Akaike Information Criterion (AIC) = 311)
VariableEstimateStd. ErrorT-ValueSignificance Level
Intercept159.81.60.12
Medium PP214.94.34.9*10−5***
Medium SM30566.0*10−8***
Temperature−6430−2.10.037*
Solar irradiance2331032.30.027*
Cascade effect−1.30.2−6.91.7*10−9***
Temp—date0.00360.00172.10.037*
Solar irradiance—date−0.0130.0058−2.30.025*
Medium PP—temp−1.20.29−4.27.4*10−5***
Medium SM—temp−1.50.29−5.31.0*10−6***
Temp—solar irradiance0.240.0862.80.0065**
PM (R2 = 0.82; AIC = 75)
VariableEstimateStd. ErrorT-ValueSignificance Level
Intercept32300135602.40.03*
Date−1.80.77−2.40.03*
Temperature−2042852−2.40.03*
Solar irradiance−157.2−2.10.06.
Cascade effect−1.80.37−5.00.00023***
Date—temp0.120.052.40.03*
Temp—solar irradiance0.910.432.090.057.
PP (R2 = 0.58; AIC = 122)
VariableEstimateStd. ErrorT-ValueSignificance Level
Intercept411040.00049***
Temperature−9143−2.10.043*
Solar irradiance3201462.20.036*
Cascade effect−1.30.3−4.84.8*10−5***
Temp—date0.0050.0022.10.045*
Temp—solar irradiance0.270.112.40.02*
Solar irradiance—date−0.0180.008−2.20.03*
SM (R2 = 0.56; AIC = 112) * No normal distribution of residuals
VariableEstimateStd. ErrorT-ValueSignificance Level
Intercept1929.47.0*10−10***
Temperature−0.370.09−4.20.0003***
Solar irradiance0.510.212.40.022*
Cubicontainer (CC) B.2−0.980.58−1.70.1
CC B.3−20.59−3.40.0023**
Table A6. Output from the linear regression of the N uptake of duckweed with the medium parameters (a mixture of diluted pig manure wastewater: PM; pikeperch effluent: PP; and the synthetic medium: SM), solar irradiance, temperature, and cascade effect. The “intercept” medium is PM (significance codes: 0 ‘***’, 0.001 ‘**’, 0.01 ‘*’, 0.05 ‘.’, 0.1 ‘ ’). The regression was first executed on the whole dataset, and subsequently separately performed on each individual growing medium.
Table A6. Output from the linear regression of the N uptake of duckweed with the medium parameters (a mixture of diluted pig manure wastewater: PM; pikeperch effluent: PP; and the synthetic medium: SM), solar irradiance, temperature, and cascade effect. The “intercept” medium is PM (significance codes: 0 ‘***’, 0.001 ‘**’, 0.01 ‘*’, 0.05 ‘.’, 0.1 ‘ ’). The regression was first executed on the whole dataset, and subsequently separately performed on each individual growing medium.
Overall (R2 = 0.58; Akaike Information Criterion (AIC) = 977)
VariableEstimateStd. ErrorT-ValueSignificance Level
Intercept47302182362.60.011*
Date−2.71.02−2.60.011*
Medium PP2521182.10.036*
Medium SM35712130.0042**
Temperature226.43.40.001**
Solar irradiance−75833702−20.044*
Cascade effect−197.2−2.70.0089**
Date—solar irradiance0.430.212.10.043*
Medium PP—temp−197.1−2.60.0098**
Medium SM—temp−247.2−3.40.0012**
PM (R2 = 0.77; AIC = 250)
VariableEstimateStd. ErrorT-ValueSignificance Level
Intercept396619172.10.06.
Temperature1240029844.20.0007***
Solar irradiance−3954010270−3.80.0014**
Solar irradiance—date2.20.573.80.0015**
Temp—solar irradiance34181.90.073.
Temp—date−0.710.17−4.20.00075***
PP (R2 = 0.82; AIC = 324)
VariableEstimateStd. ErrorT-ValueSignificance Level
Intercept66010175803.80.00088***
Date−3.70.98−3.70.00099***
Temperature−4999965−5.22.1*10−5***
Solar irradiance640329562.20.040*
Date—solar irradiance−0.370.17−2.20.035*
Date—temp0.280.0545.22.2*10−5***
Temp—solar irradiance132.55.03.0*10−5***
Solar irradiance—
cascade effect
−3.90.88−4.41.7*10−4***
SM (R2 = 0.72; AIC = 351)
VariableEstimateStd. ErrorT-ValueSignificance Level
Intercept264883.00.0059**
Temperature462913683.40.0022**
Solar irradiance−138004818−2.90.0080**
Cascade effect−269.4−2.70.011*
Temp—date−0.260.08−3.40.0022**
Solar irradiance—date0.780.272.90.0079**
Table A7. Output from linear regression of P uptake of duckweed with the medium (a mixture of diluted pig manure wastewater: PM; pikeperch effluent: PP; and the synthetic medium: SM), temperature, solar irradiance, and cascade effect. The “intercept” medium is the pikeperch effluent (significance codes: 0 ‘***’, 0.001 ‘**’, 0.01 ‘*’, 0.05 ‘.’, 0.1 ‘ ’). The regression was first executed on the whole dataset, and subsequently separately performed on each individual growing medium.
Table A7. Output from linear regression of P uptake of duckweed with the medium (a mixture of diluted pig manure wastewater: PM; pikeperch effluent: PP; and the synthetic medium: SM), temperature, solar irradiance, and cascade effect. The “intercept” medium is the pikeperch effluent (significance codes: 0 ‘***’, 0.001 ‘**’, 0.01 ‘*’, 0.05 ‘.’, 0.1 ‘ ’). The regression was first executed on the whole dataset, and subsequently separately performed on each individual growing medium.
Overall (R2 = 0.62; Akaike Information Criterion (AIC) = 707)
VariableEstimateStd. ErrorT-ValueSignificance Level
Intercept25489002.80.0059**
Date−0.140.05−2.80.0064**
Medium PP85402.10.039*
Medium SM170443.90.0002***
Solar irradiance−156.8−2.30.025*
Cascade effect−9.62−4.95.1*10−6***
Temp—solar irradiance1.40.43.50.00077***
Medium PP—temp−5.32.4−2.20.028*
Medium SM—temp−9.62.5−3.80.00028***
PM (R2 = 1.00; AIC = 95)
VariableEstimateStd. ErrorT-ValueSignificance Level
Intercept57320024720232.8*10−6***
Date−321.4−232.8*10−6***
Temperature−316801545−215.1*10−6***
Solar irradiance−14890635−232.6*10−6***
Cubicontainer (CC) B.2−3697814−4.50.0062**
CC B.3−43481106−3.90.011*
Date—temp1.80.087205.2*10−6***
Date -solar irradiance0.820.035232.8*10−6***
Temp—solar irradiance241.0242.5*10−6***
Date—CC B.20.200.04540.0069**
Date—CC B.30.240.0613.90.011*
Temp—CC B.26.401.25.50.0026**
Temp—CC B.34.601.43.20.024*
Solar irradiance—CC B.28.601.36.40.0013**
Solar irradiance—CC B.30.551.50.360.73
PP (R2 = 0.80; AIC = 251)
VariableEstimateStd. ErrorT-ValueSignificance Level
Intercept1832073692.50.019*
Date−1.00.41−2.50.02*
Temperature−883420−2.10.045*
Solar irradiance−5815−4.00.00050***
Cascade effect−8.41.8−4.68.7*10−5***
Temp—solar irradiance3.60.834.40.00017***
Date—temp0.0490.0232.10.048*
SM (R2 = 0.71; AIC = 259)
VariableEstimateStd. ErrorT-ValueSignificance Level
Intercept369213902.70.013*
Date−0.210.078−2.70.013*
Solar irradiance112.83.90.00061***
CC B.2−126.2−1.90.074.
CC B.3−236.4−3.50.0015**
Figure A2. Average biomass productivity, N content, N uptake, P content, and P uptake of the duckweed grown on (A) PP (= pikeperch effluent), (B) PM (= a mixture of dilute pig manure wastewater) and (C) a synthetic medium (SM) for the full experiment period (175 days). On the secondary axis, the weekly average air temperature (°C) and total solar irradiance per week (kWh) are shown.
Figure A2. Average biomass productivity, N content, N uptake, P content, and P uptake of the duckweed grown on (A) PP (= pikeperch effluent), (B) PM (= a mixture of dilute pig manure wastewater) and (C) a synthetic medium (SM) for the full experiment period (175 days). On the secondary axis, the weekly average air temperature (°C) and total solar irradiance per week (kWh) are shown.
Sustainability 13 01570 g0a2aSustainability 13 01570 g0a2bSustainability 13 01570 g0a2c

References

  1. Snauwaert, E.; Vannecke, T. Vcm-Enquete Operationele Stand van zaken Mestverwerking in Vlaanderen; VCM: Brugge, Belgium, 2017. [Google Scholar]
  2. OECD. Nutrient Balance (Indicator). Available online: https://www.oecd-ilibrary.org/agriculture-and-food/oecd-compendium-of-agri-environmental-indicators_9789264186217-en (accessed on 14 May 2019).
  3. Boland, M.J.; Rae, A.N.; Vereijken, J.M.; Meuwissen, M.P.M.; Fischer, A.R.H.; van Boekel, M.A.J.S.; Rutherfurd, S.M.; Gruppen, H.; Moughan, P.J.; Hendriks, W.H. The future supply of animal-derived protein for human consumption. Trends Food Sci. Technol. 2013, 29, 62–73. [Google Scholar] [CrossRef]
  4. United Nations. World Population Prospects: The 2015 Revision, Key Findings and Advance Tables; Working Paper no. ESA/P/WP.241; UN: New York, NY, USA, 2015. [Google Scholar]
  5. De Beukelaar, M.F.A.; Zeinstra, G.G.; Mes, J.J.; Fischer, A.R.H. Duckweed as human food. The influence of meal context and information on duckweed acceptability of Dutch consumers. Food Qual. Prefer. 2019, 71, 76–86. [Google Scholar] [CrossRef]
  6. FEFAC. Statistical Yearbook Feed & Food; FEFAC: Brussels, Belgium, 2017. [Google Scholar]
  7. De Visser, C.L.M.; Schreuder, R.; Stoddard, F. The EU’s dependency on soya bean import for the animal feed industry and potential for EU produced alternatives. OCL 2014, 21, D407. [Google Scholar] [CrossRef]
  8. Reckmann, K.; Blank, R.; Traulsen, I.; Krieter, J. Comparative life cycle assessment (LCA) of pork using different protein sources in pig feed. Arch. Fuer Tierzucht 2016, 59, 27. [Google Scholar] [CrossRef]
  9. Gerber, P.J.; Steinfeld, H.; Henderson, B.; Mottet, A.; Opio, C.; Dijkman, J.; Falcucci, A.; Tempio, G. Tackling Climate Change through Livestock—A Global Assessment of Emissions and Mitigation Opportunities; FAO: Rome, Italy, 2013. [Google Scholar]
  10. Ziegler, P.; Adelmann, K.; Zimmer, S.; Schmidt, C.; Appenroth, K.-J. Relative in vitro growth rates of duckweeds (Lemnaceae)—The most rapidly growing higher plants. Plant 2015, 17, 33–41. [Google Scholar]
  11. Landolt, E.; Kandeler, R. Biosystematic Investigations in the Family of Duckweeds (Lemnaceae), Vol. 4: The Family of Lemnaceae-a Monographic Study, Vol. 2 (Phytochemistry, Physiology; Geobotanische Institut ETH: Zürich, Switzerland, 1987. [Google Scholar]
  12. Mohedano, R.A.; Costa, R.H.R.; Tavares, F.A.; Belli Filho, P. High nutrient removal rate from swine wastes and protein biomass production by full-scale duckweed ponds. Bioresour. Technol. 2012, 112, 98–104. [Google Scholar] [CrossRef]
  13. Aslam, S.; Zuberi, A.; Nazir, A. Effect of duckweed by replacing soybean in fish feed on growth performance of Grass carp (Ctenopharyngodon idella) and Silver carp (Hypophthalmichthys. Int. J. Fish. Aquat. Stud. 2017, 5, 278–282. [Google Scholar]
  14. Fourounjian, P.; Fakhoorian, T.; Cao, X.H. Importance of Duckweeds in Basic Research and Their Industrial Applications; Springer: Cham, Switzerland, 2020; pp. 1–17. [Google Scholar]
  15. Adhikari, U.; Harrigan, T.; Reinhold, D.M. Use of duckweed-based constructed wetlands for nutrient recovery and pollutant reduction from dairy wastewater. Ecol. Eng. 2015, 78, 6–14. [Google Scholar] [CrossRef]
  16. Debusk, T.A.; Peterson, J.E.; Reddy, K.R. Use of aquatic and terrestrial plants for removing phosphorus from dairy wastewaters. Ecol. Eng. 1995, 5, 371–390. [Google Scholar] [CrossRef]
  17. Walsh, É.; Paolacci, S.; Burnell, G.; Jansen, M.A.K. The importance of the calcium-to-magnesium ratio for phytoremediation of dairy industry wastewater using the aquatic plant Lemna minor L. Int. J. Phytoremed. 2020, 22, 694–702. [Google Scholar] [CrossRef]
  18. Culley, D.D.J.; Epps, E.A. Use of duckweed for waste treatment and animal feed. Water Pollut. Control Fed. 1973, 45, 337–347. [Google Scholar]
  19. Skillicorn, P.; Spira, W.; Journey, W. Duckweed Aquaculture; The World Bank: Washington, DC, USA, 1993. [Google Scholar]
  20. Yin, Y.; Yu, C.; Yu, L.; Zhao, J.; Sun, C.; Ma, Y.; Zhou, G. The influence of light intensity and photoperiod on duckweed biomass and starch accumulation for bioethanol production. Bioresour. Technol. 2015, 187, 84–90. [Google Scholar] [CrossRef]
  21. Appenroth, K.-J.K.-J.; Sree, K.S.; Böhm, V.; Hammann, S.; Vetter, W.; Leiterer, M.; Jahreis, G. Nutritional value of duckweeds (Lemnaceae) as human food. Food Chem. 2017, 217, 266–273. [Google Scholar] [CrossRef]
  22. Mc Donald, P.; Edwards, R.A.; Greenhalgh, J.F.D.; Morgan, C.A.; Sinclair, L.A.; Wilkinson, R.G.; Greenhalgh, M.E.; Wilkinson, M.S. Animal Nutrition, 7th ed.; Pearson Education Limited: Harlow, UK, 2010. [Google Scholar]
  23. Schaafsma, G. The Protein Digestibility–Corrected Amino Acid Score. J. Nutr. 2000, 130, 1865S–1867S. [Google Scholar] [CrossRef]
  24. World Health Organization; United Nations University. Protein and Amino Acid Requirements in Human Nutrition; FAO: Geneva, Switzerland, 2007; p. 265. [Google Scholar]
  25. Stødkilde, L.; Damborg, V.K.; Jørgensen, H.; Laerke, H.N.; Jensen, S.K. White clover fractions as protein source for monogastrics: Dry matter digestibility and protein digestibility-corrected amino acid scores. J. Sci. Food Agric. 2018, 98, 2557–2563. [Google Scholar] [CrossRef]
  26. Meers, E.; Tack, F.M.G.; Tolpe, I.; Michels, E. Application of a Full-scale Constructed Wetland for Tertiary Treatment of Piggery Manure: Monitoring Results. Water. Air. Soil Pollut. 2008, 193, 15–24. [Google Scholar] [CrossRef]
  27. Appenroth, K.-J.; Sree, K.S. Useful methods 3: Media for in vitro-cultivation of duckweed. In ISCDRA Duckweed Forum; Rutgers Duckweed Stock Cooperative: New Brunswick, NJ, USA, 2015; pp. 180–186. [Google Scholar]
  28. Van Landuyt, W. Herkenning van de vier in België voorkomende drijvende Lemna-soorten. Dumortiera 2007, 91, 16–20. [Google Scholar]
  29. Devlamynck, R.; Fernandes de Souza, M.; Bog, M.; Leenknegt, J.; Eeckhout, M.; Meers, E. Effect of the growth medium composition on nitrate accumulation in the novel protein crop Lemna minor. Ecotoxicol. Environ. Saf. 2020, 206, 111380. [Google Scholar] [CrossRef]
  30. Monette, F.; Lasfar, S.; Millette, L.; Azzouz, A. Comprehensive modeling of mat density effect on duckweed (Lemna minor) growth under controlled eutrophication. Water Res. 2006, 40, 2901–2910. [Google Scholar]
  31. Van Ranst, E.; Verloo, M.; Demeyer, A.; Pauwesl, J.M. Manual for the Soil Chemistry and Fertility Laboratory: Analytical Methods for Soils and Plants Equipment and Management of Consumables; NUGI 835; University of Ghent: Ghent, Belgium, 1999. [Google Scholar]
  32. Casal, J.A.; Vermaat, J.E.; Wiegman, F. A test of two methods for plant protein determination using duckweed. Aquat. Bot. 2000, 67, 61–67. [Google Scholar] [CrossRef]
  33. Oser, B.L. An Integrated Essential Amino Acid Index for Predicting the Biological Value of Proteins. In Protein and Amino Acid Nutrition; Academic Press Inc.: New York, NY, USA, 1959; pp. 281–291. [Google Scholar]
  34. Aviagen Group. Ross 308: Broiler Nutrition Specification; Huntsville: Scotland, UK, 2014. [Google Scholar]
  35. Team, R.C. R: A Language and Environment for Statistical Computing; R Foundation for Statistical Computing: Vienna, Austria, 2014. [Google Scholar]
  36. Frick, H. Micronutrient tolerance and accumulation in the duckweed, Lemna. J. Plant Nutr. 1985, 8, 1131–1145. [Google Scholar] [CrossRef]
  37. Steinberg, K.; Zimmermann, J.; Stiller, K.T.; Nwanna, L.; Meyer, S.; Schulz, C. Elevated nitrate levels affect the energy metabolism of pikeperch (Sander lucioperca) in RAS. Aquaculture 2018, 497, 405–413. [Google Scholar] [CrossRef]
  38. Iatrou, E.I.; Kora, E.; Stasinakis, A.S. Investigation of biomass production, crude protein and starch content in laboratory wastewater treatment systems planted with Lemna minor and Lemna gibba. Environ. Technol. 2019, 40, 2649–2656. [Google Scholar] [CrossRef]
  39. Tien Lea, D.; Duc Chua, H.; Quynh Lea, N. Improving Nutritional Quality of Plant Proteins Through Genetic Engineering. Curr. Genomics 2016, 17, 220–229. [Google Scholar] [CrossRef]
  40. Tonon, G.; Magnus, B.S.; Mohedano, R.A.; Leite, W.R.M.; da Costa, R.H.R.; Filho, P.B. Pre treatment of Duckweed Biomass, Obtained from Wastewater Treatment Ponds, for Biogas Production. Waste Biomass Valorization 2017, 8, 2363–2369. [Google Scholar] [CrossRef]
  41. Chakrabarti, R.; Clark, W.D.; Sharma, J.G.; Goswami, R.K.; Shrivastav, A.K.; Tocher, D.R. Mass Production of Lemna minor and Its Amino Acid and Fatty Acid Profiles. Front. Chem. 2018, 6, 479. [Google Scholar] [CrossRef]
  42. Donoso, N.; Gobeyn, S.; Villa-Cox, G.; Boets, P.; Meers, E.; Goethals, P.L.M. Assessing the ecological relevance of organic discharge limits for constructed wetlands by means of a model-based analysis. Water 2018, 10, 63. [Google Scholar] [CrossRef]
  43. Nardi, S.; Pizzeghello, D.; Muscolo, A.; Vianello, A. Physiological effects of humic substances on higher plants Relationships between soil microbial biomass determined by chloroform fumigation-extraction and phospholipid fatty acid analysis View project Flavonoids View project Physiological effects of humic. Artic. Soil Biol. Biochem. 2002, 34, 1527–1536. [Google Scholar] [CrossRef]
  44. Du Jardin, P. Plant biostimulants: Definition, concept, main categories and regulation. In Scientia Horticulturae; Elsevier: Amsterdam, The Netherlands, 2015; Volume 196, pp. 3–14. [Google Scholar]
  45. Delaide, B.; Teerlinck, S.; Decombel, A.; Bleyaert, P. Effect of wastewater from a pikeperch (Sander lucioperca L.) recirculated aquaculture system on hydroponic tomato production and quality. Agric. Water Manag. 2019, 226, 105814. [Google Scholar] [CrossRef]
  46. Hambly, A.C.; Arvin, E.; Pedersen, L.F.; Pedersen, P.B.; Seredyńska-Sobecka, B.; Stedmon, C.A. Characterising organic matter in recirculating aquaculture systems with fluorescence EEM spectroscopy. Water Res. 2015, 83, 112–120. [Google Scholar] [CrossRef]
  47. Körner, S.; Vermaat, J. The capacity of duckweed to treat wastewater. J. Environ. Qual. 2003, 32, 1583–1590. [Google Scholar] [CrossRef]
  48. Gao, L.; Zhou, W.; Huang, J.; He, S.; Yan, Y.; Zhu, W.; Wu, S.; Zhang, X. Nitrogen removal by the enhanced floating treatment wetlands from the secondary effluent. Bioresour. Technol. 2017, 234, 243–252. [Google Scholar] [CrossRef]
  49. Reinhardt, M.; Müller, B.; Gächter, R.; Wehrli, B. Nitrogen Removal in a Small Constructed Wetland: An Isotope Mass Balance Approach. Environ. Sci. Technol. 2006, 40, 3313–3319. [Google Scholar] [CrossRef]
  50. Vymazal, J. Removal of nutrients in various types of constructed wetlands. Sci. Total Environ. 2007, 380, 48–65. [Google Scholar] [CrossRef]
  51. Chardigny, J.-M.; Walrand, S. Plant protein for food: Opportunities and bottlenecks. OCL 2016, 23, D404. [Google Scholar] [CrossRef]
  52. Muys, M.; Sui, Y.; Schwaiger, B.; Lesueur, C.; Vandenheuvel, D.; Vermeir, P.; Vlaeminck, S.E. High variability in nutritional value and safety of commercially available Chlorella and Spirulina biomass indicates the need for smart production strategies. Bioresour. Technol. 2019, 275, 247–257. [Google Scholar] [CrossRef]
  53. Pieniaąźek, D.; Rakowska, M.; Szkiluadziowa, W.; Grabarek, Z. Estimation of available methionine and cysteine in proteins of food products by in vivo and in vitro methods. Br. J. Nutr. 1975, 34, 175–190. [Google Scholar] [CrossRef]
  54. USDA. Food Composition Databases Show Foods—Soy Meal, Defatted, Raw. 2018. Available online: https://ndb.nal.usda.gov/ndb/foods/show/16119?fgcd=&manu=&format=&count=&max=25&offset=&sort=default&order=asc&qlookup=16119&ds=&qt=&qp=&qa=&qn=&q=&ing= (accessed on 7 December 2018).
  55. FAOSTAT. FAOSTAT: Statistical Databases. 2019. Available online: http://www.fao.org/ (accessed on 24 January 2019).
  56. SOPA. World Soybean Productivity|SOPA. 2017. Available online: http://www.sopa.org/statistics/world-soybean-productivity/ (accessed on 12 December 2017).
Figure 1. Main effects plots of the variables (temperature, solar irradiance, and cascade effect) and the outputs (duckweed’s productivity, N content, P content, N uptake, and P uptake) on the three different media (a mixture of diluted pig manure wastewater: PM; pikeperch effluent: PP; and synthetic medium: SM).
Figure 1. Main effects plots of the variables (temperature, solar irradiance, and cascade effect) and the outputs (duckweed’s productivity, N content, P content, N uptake, and P uptake) on the three different media (a mixture of diluted pig manure wastewater: PM; pikeperch effluent: PP; and synthetic medium: SM).
Sustainability 13 01570 g001
Figure 2. (a,b) pH and electrical conductivity (EC) measured in the influent of a duckweed growing system using a mixture of diluted pig manure wastewater (PM) and pikeperch effluent (PE) throughout the growing season; (c,d) the NH4–N content of PM and PP, respectively, throughout the growing season. These figures are compared with their according maximum level that allows duckweed growth. * The maximum ammonium level was theoretically estimated using the formula of a chemical equilibrium ( 10 p K a = [ N H 3 ] * [ H + ] [ N H 4 + ] ) , in which pKa equals 9.26, and the ammonia concentration equals the toxicity level of 8 mg NH3–N l−1 [47]. Based on the measured pH, a different maximal ammonium level was calculated.
Figure 2. (a,b) pH and electrical conductivity (EC) measured in the influent of a duckweed growing system using a mixture of diluted pig manure wastewater (PM) and pikeperch effluent (PE) throughout the growing season; (c,d) the NH4–N content of PM and PP, respectively, throughout the growing season. These figures are compared with their according maximum level that allows duckweed growth. * The maximum ammonium level was theoretically estimated using the formula of a chemical equilibrium ( 10 p K a = [ N H 3 ] * [ H + ] [ N H 4 + ] ) , in which pKa equals 9.26, and the ammonia concentration equals the toxicity level of 8 mg NH3–N l−1 [47]. Based on the measured pH, a different maximal ammonium level was calculated.
Sustainability 13 01570 g002aSustainability 13 01570 g002b
Figure 3. Comparison of the average amino acid content of duckweed with (a) the human requirements of essential amino acids [22] and (b) broiler requirements [32].
Figure 3. Comparison of the average amino acid content of duckweed with (a) the human requirements of essential amino acids [22] and (b) broiler requirements [32].
Sustainability 13 01570 g003
Table 1. Mean ± standard deviation of the weekly analysed parameters of the influent cubicontainer (A) of the three cubicontainer cascades: synthetic medium (SM), effluent of pikeperch production (PP), and a mixture of diluted pig manure wastewater (PM). The significance letters (a, b, c) coincide with a descending order and these were determined by a parametric Tukey test for the N loading rate, and a non-parametric Dunn test for the P loading rate.
Table 1. Mean ± standard deviation of the weekly analysed parameters of the influent cubicontainer (A) of the three cubicontainer cascades: synthetic medium (SM), effluent of pikeperch production (PP), and a mixture of diluted pig manure wastewater (PM). The significance letters (a, b, c) coincide with a descending order and these were determined by a parametric Tukey test for the N loading rate, and a non-parametric Dunn test for the P loading rate.
SMPPPMOptimal Growing RangesMaximal Growing Ranges
Grading
10–50 g
Grading
>50 g
SedimentRecipe 1
before 16 July
Recipe 2
after 10 September
pH7.5 ± 0.57.9 ± 0.27.7 ± 0.17.6 ± 0.18.4 ± 0.48.4 ± 0.26.5–7.5 α5.0–9.0 α
EC1.6 ± 0.42.3 ± 0.21.0 ± 0.11.0 ± 0.07.2 ± 0.24.8 ± 1.10.6–1.4 α0–10.9 αmS/cm
NO3–N122 ± 320.61 ± 0.6614 ± 627 ± 960 ± 1440 ± 4470–700 α0–1400 αmg/L
NO2–N0.8 ± 0.750.28 ± 0.300.63 ± 0.310.87 ± 0.097.7 ± 5.32.3 ± 3.0 mg/L
NH4–N0.71 ± 0.6917 ± 42 ± 24 ± 113 ± 154 ± 345–90 α9–1350 αmg/L
T-DIN124 ± 3217 ± 516 ± 632 ± 981 ± 2146 ± 42 mg/L
P4.2 ± 1.73.7 ± 0.74.6 ± 3.560 ± 1013 ± 5.337 ± 140.4–11 α0–55 αmg/L
K318 ± 10412 ± 110 ± 213 ± 21317 ± 1561003 ± 31139–780 α0–2000 αmg/L
Cl5.4 ± 2.7467 ± 5990 ± 2878 ± 17945 ± 77460 ± 810.4–36 α0–3500 αmg/L
SO42−116 ± 4795 ± 19115 ± 9131 ± 151264 ± 85453 ± 9048–1900 α0–4800 αmg/L
Ca74 ± 48145 ± 4138 ± 23360 ± 10174 ± 1471 ± 1320–400 α0–2000 αmg/L
Mg26 ± 916 ± 118 ± 224 ± 175 ± 255 ± 125.0–97 α0–1200 αmg/L
Na4.3 ± 1.8302 ± 3262 ± 1760 ± 16582 ± 31417 ± 93120–230 α0–3400 αmg/L
H2CO361 ± 35448 ± 16282 ± 40248 ± 19663 ± 651173 ± 315 mg/L
B0.12 ± 0.060.040 ± 0.0230.056 ± 0.0520.22 ± 0.031.8± 0.11.1 ± 0.3<17.3 β<86.5 βmg/L
Fe0.83 ± 0.530.10 ± 0.040.22 ± 0.356.9 ± 1.117 ± 1237 ± 16<27.9 β<100 βmg/L
Mn0.60 ± 0.610.020 ± 0.0070.034 ± 0.0260.43 ± 0.190.83 ± 0.430.58 ± 0.28<54.9 β<274.5 βmg/L
Cu0.015 ± 0.0110.0013 ± 0.01130.008 ± 0.01670.26 ± 0.040.49 ± 0.250.80 ± 0.35<3.2 β<6.3 βmg/L
Zn0.041 ± 0.0310.015 ± 0.0200.137 ± 0.2133.6 ± 0.50.78 ± 0.552.2 ± 1.0<6.5 β<65.3 βmg/L
N load4.5 ± 1.2 a2.2 ± 0.6 b2.1 ± 0.7 b4.0 ± 1.1 abc3.4 ± 0.9 ac1.9 ± 1.7 b g m−2 d−1
P load0.15 ± 0.0 a0.42 ± 0.07 ab0.52 ± 0.40 b6.6 ± 1.1 b0.47 ± 0.26 b1.3 ± 0.5 b g m−2 d−1
n234163124
Sources: α [11], β [36].
Table 2. Agronomic and environmental performance of duckweed grown on PP (= pikeperch effluent), PM (= a mixture of dilute pig manure wastewater) and SM (synthetic medium) for a full growing season. The significance was determined by a Dunn test and “Bonferroni” criterium was applied. Significant differences are indicated with the characters a and b.
Table 2. Agronomic and environmental performance of duckweed grown on PP (= pikeperch effluent), PM (= a mixture of dilute pig manure wastewater) and SM (synthetic medium) for a full growing season. The significance was determined by a Dunn test and “Bonferroni” criterium was applied. Significant differences are indicated with the characters a and b.
ParameterPPPMSMUnit
Biomass productivity5.2 ± 1.7 ab6.1 ± 2.5 b4.7 ± 1.7 ag Dry weight (DW) m−2 d−1
Dry weight9.4 ± 3.1 ab10.3 ± 4.5 b8.4 ± 3 ag/100 g Fresh weight (FW)
Annual biomass production9.1 ± 3 ab10.7 ± 4.4 b8.1 ± 2.9 bt ha−1 yr−1
Protein content0.29 ± 0.03 a0.32 ± 0.04 b0.35 ± 0.02 bg g−1 DW
Annual protein production2.9 ± 0.7 a3.5 ± 1.3 b3.0 ± 0.9 abt ha−1 yr−1
N content47 ± 5 a51 ± 6 b55 ± 3 bmg N g−1 DW
N uptake274 ± 50 a327 ± 107 b283 ± 75 abmg N m−2 d−1
Annual N uptake48 ± 9 a57 ± 20 b49 ± 13 abg N m−2 yr−1
P content11 ± 2 a10 ± 3 a13 ± 3 bmg P g−1 DW
P uptake65 ± 18 a67 ± 26 a70 ± 26 amg P m−2 d−1
Annual P uptake11 ± 3 a12 ± 5 a12 ± 5 ag P m−2 yr−1
N loading rate2.1 ± 0.9 a2.6 ± 1.2 a4.5 ± 1.2 bg N m−2 d−1
P loading rate1.3 ± 2.1 a0.82 ± 0.76 a0.15 ± 0.06 bg P m−2 d−1
Table 3. Mean amino acid (AA) composition (% protein) over the three tested growing media: synthetic medium (SM), effluent of pikeperch production (PP), and a mixture of diluted pig manure wastewater (PM). The total protein content (g kg−1 dry weight) is also shown as the sum of individual amino acids (AAs) and as the value obtained after Kjeldahl analysis. Finally, the coefficient of variation (CoV) of the according AA data is listed. Significant differences among the amino acids between the media are indicated with the characters a and b.
Table 3. Mean amino acid (AA) composition (% protein) over the three tested growing media: synthetic medium (SM), effluent of pikeperch production (PP), and a mixture of diluted pig manure wastewater (PM). The total protein content (g kg−1 dry weight) is also shown as the sum of individual amino acids (AAs) and as the value obtained after Kjeldahl analysis. Finally, the coefficient of variation (CoV) of the according AA data is listed. Significant differences among the amino acids between the media are indicated with the characters a and b.
AAPPPMSMOverall
Average
CoV
Asp16 ± 116 ± 116 ± 116 ± 17%
Glu11 ± 112 ± 110 ± 111 ± 110%
Ser4.8 ± 0.15.2 ± 0.34.8 ± 0.44.9 ± 0.37%
His2.4 ± 0.12.3 ± 0.22.2 ± 0.12.3 ± 0.27%
Gly4.1 ± 0.14.4 ± 0.54.0 ± 0.54.1 ± 0.49%
Thr4.4 ± 0.14.6 ± 0.34.4 ± 0.34.5 ± 0.36%
Arg6.3 ± 0.5 b7.6 ± 0.3 a6.4 ± 0.5 b6.7 ± 0.711%
Ala6.2 ± 0.16.6 ± 0.56.2 ± 0.56.3 ± 0.47%
Tyr3.8 ± 0.43.7 ± 0.33.7 ± 0.33.7 ± 0.39%
Val5.5 ± 0.45.6 ± 0.45.3 ± 0.45.5 ± 0.47%
Met1.8 ± 0.81.7 ± 0.72.4 ± 0.42.0 ± 0.735%
Phe5.1 ± 0.35.3 ± 0.25.1 ± 0.25.2 ± 0.35%
Iso4.3 ± 0.24.4 ± 0.24.2 ± 0.34.3 ± 0.25%
Leu8.7 ± 0.38.9 ± 0.68.6 ± 0.68.7 ± 0.56%
Lys6.1 ± 0.26.2 ± 0.46.0 ± 0.46.1 ± 0.35%
TrypNDNDNDND
Cys<LOD<LOD<LOD<LOD
Hydr<LOD<LOD<LOD<LOD
Pro<LOD<LOD<LOD<LOD
Sum Amino Acids269 ± 17312 ± 27311 ± 12296 ± 279%
Crude protein (Kjeldahl)295 ± 17330 ± 36345 ± 22323 ± 3210%
EAAI1.0 ± 0.11.1 ± 0.11.1 ± 0.11.1 ± 0.18%
ND: not determined; <LOD: below the lower limit of detection.
Table 4. Recommended balance of amino acids in relation to lysine (= 1.00) for different swine types; together with the ratio and standard deviation of the amino acid analysis of duckweed.
Table 4. Recommended balance of amino acids in relation to lysine (= 1.00) for different swine types; together with the ratio and standard deviation of the amino acid analysis of duckweed.
Growing Pigs
(10–120) α
Pregnant Sows αLactating Sows αDuckweed
Lys1111 ± 0
Met0.30.370.30.33 ± 0.12
Met + Cys0.590.650.550.33 ± 0.12
Thr0.650.710.660.74 ± 0.02
Try0.190.20.180 ± 0
Ile0.580.70.60.79 ± 0.02
Leu111.121.42 ± 0.03
His0.340.330.40.41 ± 0.03
Phe0.570.550.460.91 ±0.04
Phe + Tyr111.141.55 ± 0.09
Val0.70.740.761.00 ± 0.04
α Source [22].
Publisher’s Note: MDPI stays neutral with regard to jurisdictional claims in published maps and institutional affiliations.

Share and Cite

MDPI and ACS Style

Devlamynck, R.; de Souza, M.F.; Michels, E.; Sigurnjak, I.; Donoso, N.; Coudron, C.; Leenknegt, J.; Vermeir, P.; Eeckhout, M.; Meers, E. Agronomic and Environmental Performance of Lemnaminor Cultivated on Agricultural Wastewater Streams—A Practical Approach. Sustainability 2021, 13, 1570. https://doi.org/10.3390/su13031570

AMA Style

Devlamynck R, de Souza MF, Michels E, Sigurnjak I, Donoso N, Coudron C, Leenknegt J, Vermeir P, Eeckhout M, Meers E. Agronomic and Environmental Performance of Lemnaminor Cultivated on Agricultural Wastewater Streams—A Practical Approach. Sustainability. 2021; 13(3):1570. https://doi.org/10.3390/su13031570

Chicago/Turabian Style

Devlamynck, Reindert, Marcella Fernandes de Souza, Evi Michels, Ivona Sigurnjak, Natalia Donoso, Carl Coudron, Jan Leenknegt, Pieter Vermeir, Mia Eeckhout, and Erik Meers. 2021. "Agronomic and Environmental Performance of Lemnaminor Cultivated on Agricultural Wastewater Streams—A Practical Approach" Sustainability 13, no. 3: 1570. https://doi.org/10.3390/su13031570

APA Style

Devlamynck, R., de Souza, M. F., Michels, E., Sigurnjak, I., Donoso, N., Coudron, C., Leenknegt, J., Vermeir, P., Eeckhout, M., & Meers, E. (2021). Agronomic and Environmental Performance of Lemnaminor Cultivated on Agricultural Wastewater Streams—A Practical Approach. Sustainability, 13(3), 1570. https://doi.org/10.3390/su13031570

Note that from the first issue of 2016, this journal uses article numbers instead of page numbers. See further details here.

Article Metrics

Back to TopTop