Attention and Emotional States during Horticultural Activities of Adults in 20s Using Electroencephalography: A Pilot Study
Abstract
1. Introduction
2. Materials and Methods
2.1. Participants
2.2. Experimental Condition and Procedure
2.3. Measurement
2.3.1. Electroencephalography (EEG)
2.3.2. Profile of Mood States (POMS) and Semantic Differential Method (SDM)
2.3.3. Data Processing and Analysis
3. Results
3.1. EEG
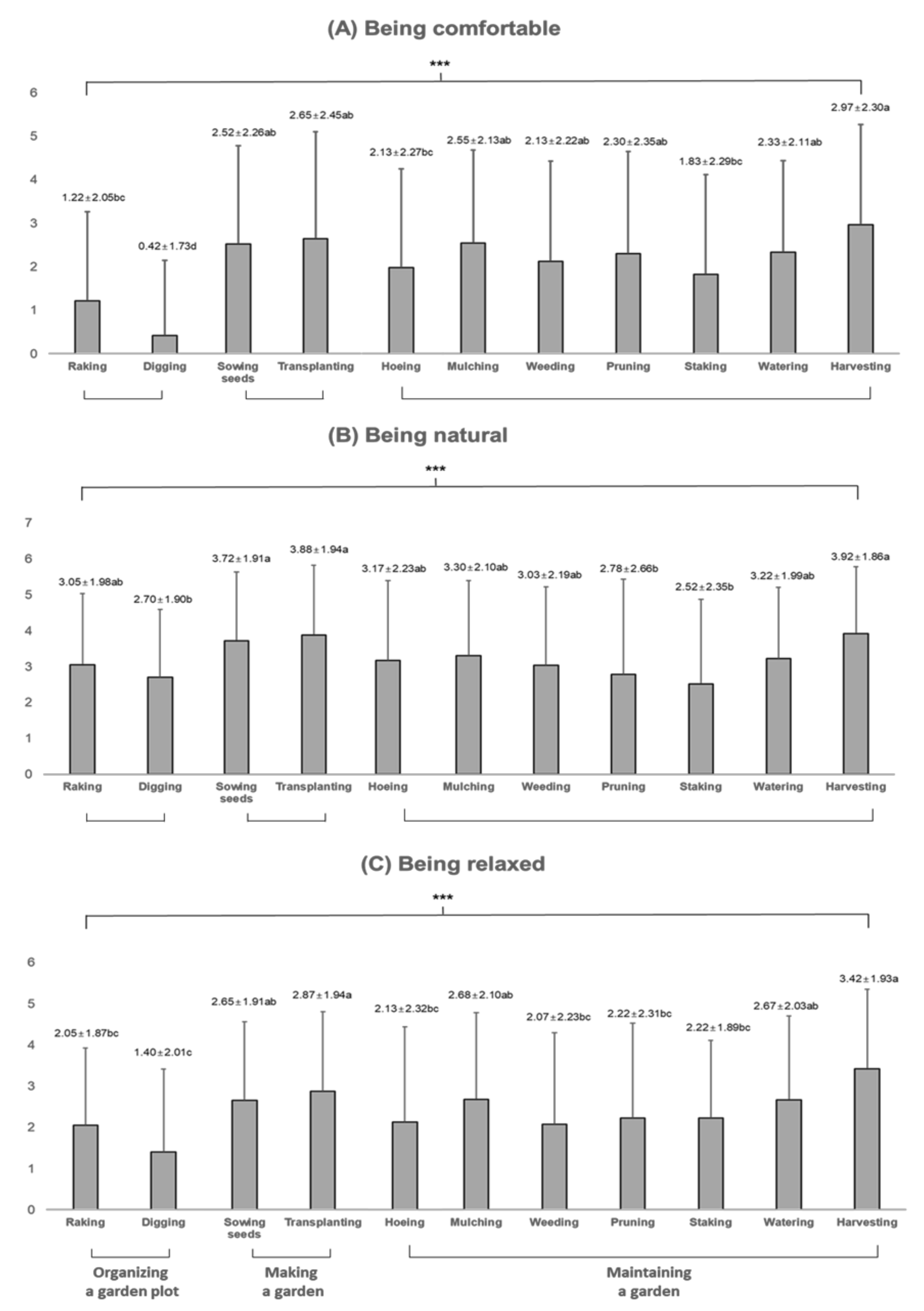
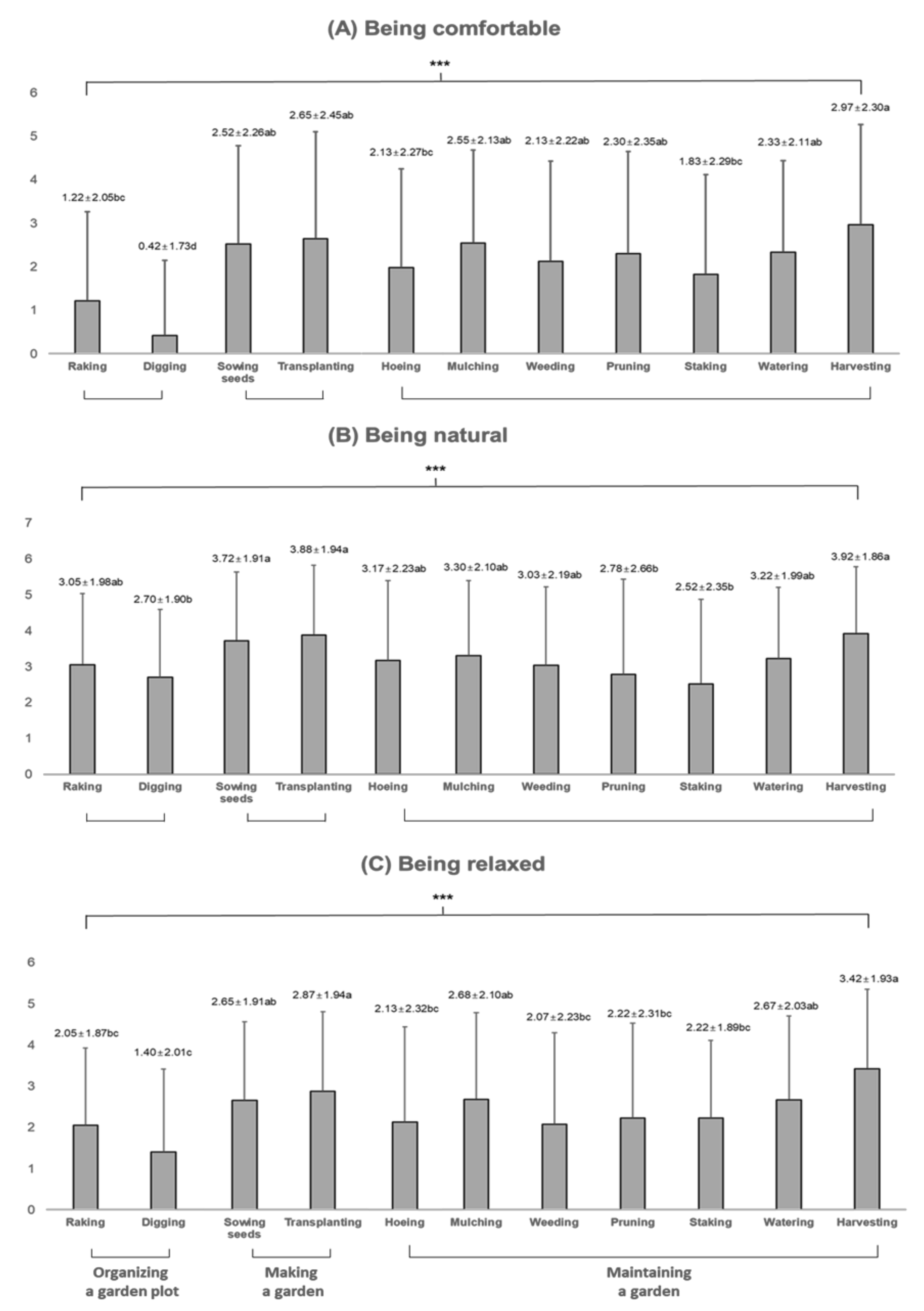
3.2. Profile of Mood States (POMS) and Semantic Differential Method (SDM)
4. Discussion
5. Conclusions
Author Contributions
Funding
Institutional Review Board Statement
Informed Consent Statement
Data Availability Statement
Acknowledgments
Conflicts of Interest
References
- Lee, M.S.; Lee, J.; Park, B.J.; Miyazaki, Y. Interaction with Indoor Plants May Reduce Psychological and Physiological Stress by Suppressing Autonomic Nervous System Activity in Young Adults: A Randomized Crossover Study. J. Physiol. Anthropol. 2015, 34, 21. [Google Scholar] [CrossRef] [PubMed]
- Dėdelė, A.; Miškinytė, A.; Andrušaitytė, S.; Bartkutė, Z. Perceived Stress among Different Occupational Groups and the Interaction with Sedentary Behaviour. Int. J. Environ. Res. Public Health 2019, 16, 4595. [Google Scholar] [CrossRef]
- Magnon, V.; Vallet, G.T.; Dutheil, F.; Auxiette, C. Sedentary Lifestyle Matters as Past Sedentariness, not Current Sedentariness, Predicts Cognitive Inhibition Performance among College Students: An Exploratory Study. Int. J. Environ. Res. Public Health 2021, 18, 7649. [Google Scholar] [CrossRef] [PubMed]
- Hall, G.; Laddu, D.R.; Phillips, S.A.; Lavie, C.J.; Arena, R. A tale of two pandemics: How Will COVID-19 and Global Trends in Physical Inactivity and Sedentary Behavior Affect One Another? Prog. Cardiovasc. Dis. 2021, 64, 108. [Google Scholar] [CrossRef] [PubMed]
- Magnon, V.; Dutheil, F.; Auxiette, C. Sedentariness: A Need for a Definition. Front. Public Health 2018, 6, 372. [Google Scholar] [CrossRef]
- Matthews, C.E.; Chen, K.Y.; Freedson, P.S.; Buchowski, M.S.; Beech, B.M.; Pate, R.R.; Troiano, R.P. Amount of Time Spent in Sedentary Behaviors in the United States, 2003–2004. Am. J. Epidemiol. 2008, 167, 875–881. [Google Scholar] [CrossRef]
- Shephard, R.J. Physical Activity of Canadian Adults: Accelerometer Results from the 2007 to 2009 Canadian Health Measures Survey. Yearbook Sports Med. 2011, 22, 111–113. [Google Scholar] [CrossRef]
- Lee, E.; Kim, Y. Effect of University Students’ Sedentary Behavior on Stress, Anxiety, and Depression. Perspect. Psychiatric Care 2019, 55, 164. [Google Scholar] [CrossRef]
- World Health Organizaion. Physical Activity. Available online: https://www.who.int/news-room/fact-sheets/detail/physical-activity (accessed on 26 November 2020).
- Choudhary, A.K.; Loganathan, S.; Maheshkumar, K. A Sedentary Lifestyle and Cognitive Function. Chall. Dis. Health Res. 2021, 6, 52–62. [Google Scholar] [CrossRef]
- Fayyad, J.; Sampson, N.A.; Hwang, I.; Adamowski, T.; Aguilar-Gaxiola, S.; Al-Hamzawi, A.; Andrade, L.H.S.G.; Borges, G.; Girolamo, G.D.; Florescu, S.; et al. The Descriptive Epidemiology of DSM-IV Adult ADHD in the World Health Organization World Mental Health Surveys. Atten. Defic. Hyperact. Disord. 2017, 9, 47–65. [Google Scholar] [CrossRef]
- Hung, S.H.; Chang, C.Y. Health Benefits of Evidence-based Biophilic-designed Environments: A Review. J. People Plants Environ. 2021, 24, 1–16. [Google Scholar] [CrossRef]
- Barton, J.; Hine, R.; Pretty, J. The Health Benefits of Walking in Greenspaces of High Natural and Heritage Value. J. Integr. Environ. Sci. 2009, 6, 261–278. [Google Scholar] [CrossRef]
- Wilson, E.O. Biophilia; Harvard University Press: Cambridge, UK, 1984. [Google Scholar]
- Kaplan, S.; Kaplan, R. The Experience of Nature. A Psychological Perspective; Cambridge University Press: Cambridge, UK, 1989; p. 340. [Google Scholar]
- Ulrich, R.S. Natural versus Urban Scenes: Some Psychophysiological Effects. Environ. Behav. 1981, 13, 523–556. [Google Scholar] [CrossRef]
- Bratman, G.N.; Hamilton, J.P.; Daily, G.C. The Impacts of Nature Experience on Human Cognitive Function and Mental Health. Ann. N. Y. Acad. Sci. 2012, 1249, 118–136. [Google Scholar] [CrossRef]
- Park, S.A.; Lee, A.Y.; Park, H.G.; Son, K.C.; Kim, D.S.; Lee, W.R. Gardening Intervention as a Low-to moderate-intensity Physical Activity for Improving Blood Lipid Profiles, Blood Pressure, Inflammation, and Oxidative Stress in Women over the Age of 70: A Pilot Study. HortScience 2017, 52, 200–205. [Google Scholar] [CrossRef]
- Ives, C.D.; Abson, D.J.; Wehrden, H.V.; Dorninger, C.; Klaniecki, K.; Fischer, J. Reconnecting with Nature for Sustainability. Sustain. Sci. 2018, 13, 1389–1397. [Google Scholar] [CrossRef]
- Wu, J. Urban Sustainability: An Inevitable Goal of Landscape Research. Landsc. Ecol. 2010, 25, 1–4. [Google Scholar] [CrossRef]
- Pretty, J. How Nature Contributes to Mental and Physical Health. Spiritual. Health Int. 2004, 5, 68–78. [Google Scholar] [CrossRef]
- Park, S.A.; Lee, A.Y.; Kim, J.J.; Lee, K.S.; So, J.M.; Son, K.C. Electromyographic Analysis of Upper and Lower Limbs Muscles during Gardening Tasks. Korean J. Hort. Sci. Technol. 2014, 32, 710–720. [Google Scholar] [CrossRef]
- Park, S.A.; Lee, A.Y.; Lee, K.S.; Son, K.C. Gardening Tasks Performed by Adults are Moderate- to High-Intensity Physical Activities. HortTechnology 2014, 24, 1–6. [Google Scholar] [CrossRef]
- Park, S.A.; Son, S.Y.; Lee, A.Y.; Park, H.G.; Lee, W.L.; Lee, C.H. Metabolite Profiling Revealed that a Gardening Activity Program Improves Cognitive Ability Correlated with BDNF Levels and Serotonin Metabolism in the Elderly. Int. J. Environ. Res. Public Health 2020, 17, 541. [Google Scholar] [CrossRef]
- Park, S.A.; Song, C.; Choi, J.Y.; Son, K.C.; Miyazak, Y. Foliage Plants Cause Physiological and Psychological Relaxation as Evidenced by Measurements of Prefrontal Cortex Activity and Profile of Mood States. HortScience 2016, 51, 1308–1312. [Google Scholar] [CrossRef]
- Lee, M.J.; Kim, J.; Oh, W.; Jang, J.S. Effects of Indoor Horticultural Activities on Improvement of Attention and Concentration in Elementary School Students. Korean J. Hort. Sci. Technol. 2013, 31, 821–827. [Google Scholar] [CrossRef][Green Version]
- Kotozaki, Y. Horticultural Activity Improves Postpartum Women’s Cognitive Function: Preliminary Evidence from an Exploratory Pilot Study. Cogent Psychol. 2020, 7, 1851003. [Google Scholar] [CrossRef]
- Niedermeyer, E.; da Silva, F.L. Electroencephalography: Basic Principles, Clinical Applications, and Related Fields; EEG Recording and Operation of the Apparatus; Lippincott Williams and Wilkins: Baltimore, MD, USA, 2004. [Google Scholar]
- Kim, D.W.; Kim, M.S.; Kim, S.P.; Park, Y.M.; Park, J.Y.; Bae, K.Y.; Lee, S.H.; Lee, J.W.; Lim, C.H.; Jeon, Y.H.; et al. Understanding and Application of EEG; Hakjisa: Seoul, Korea, 2017. [Google Scholar]
- Kim, S.O.; Jeong, J.E.; Oh, Y.A.; Kim, H.R.; Park, S.A. Comparing Concentration Levels and Emotional States of Children Using Electroencephalography During Horticultural and Nonhorticultural Activities. HortScience 2021, 56, 324–329. [Google Scholar] [CrossRef]
- Kim, S.O.; Pyun, S.B.; Park, S.A. Improved Cognitive Function and Emotional Condition Measured Using Electroencephalography in the Elderly During Horticultural Activities. HortScience 2021, 1, 1–10. [Google Scholar] [CrossRef]
- Tarkka, I.M.; Hallett, M. Cortical Topography of Premotor and Motor Potentials Preceding Self-paced, Voluntary Movement of Dominant and Non-dominant Hands Electroencephalogr. Clin. Neurophysiol. 1990, 75, 36–43. [Google Scholar] [CrossRef]
- Heckman, M.A.; Weil, J.; de Mejia, E.G. Caffeine (1, 3, 7-trimethylxanthine) in Foods: A Comprehensive Review on Consumption, Functionality, Safety, and Regulatory Matters. J. Food Sci. 2010, 75, R77–R87. [Google Scholar] [CrossRef] [PubMed]
- Lee, A.Y.; Park, S.A.; Moon, Y.J.; Son, K.C. Kinematic and Kinetic Analysis of Horticultural Activities for Postural Control and Balance Training. HortScience 2018, 53, 1541–1552. [Google Scholar] [CrossRef]
- Ainsworth, B.E.; Haskell, W.L.; Whitt, M.C.; Irwin, M.L.; Swartz, A.M.; Strath, S.J.; O’Brien, W.L.; Bassett, D.R.; Schmitz, K.H.; Emplaincourt, P.O.; et al. Compendium of Physical Activities: An Update of Activity Codes and MET Intensities. Med. Sci. Sports Exerc. 2000, 32, 498–516. [Google Scholar] [CrossRef]
- Pate, R.R.; Pratt, M.; Blair, S.N.; Haskell, W.L.; Macera, C.A.; Bouchard, C.; Buchner, D.; Ettinger, W.; Heath, G.W.; King, A.C.; et al. A Recommendation from the Centers for Disease Control and Prevention and the American College of Sports Medicine. J. Am. Med. Assn. 1995, 273, 402–407. [Google Scholar] [CrossRef]
- Jasper, H.H. The ten-twenty electrode system of the international federation. Electroencephalogr. Clin. Neurophysiol. 1958, 10, 370–375. [Google Scholar]
- Michel, M.; Morales, J. Minority Reports: Consciousness and the Prefrontal Cortex. Mind Lang. 2020, 35, 493–513. [Google Scholar] [CrossRef]
- Miller, E.K.; Cohen, J.D. An Integrative Theory of Prefrontal Cortex Function. Annu. Rev. Neurosci. 2001, 24, 167–202. [Google Scholar] [CrossRef] [PubMed]
- Shin, Y.H. A Study on Verification of the Profile of Mood States (POMS) for Korean Elders. J. Korean Acad. Nurs. 1996, 26, 743–758. [Google Scholar] [CrossRef]
- McNair, D.M.; Lorr, M.; Droppleman, L.F. Manual for the Profile of Mood States; Educational Industrial Testing Service: San Diego, CA, USA, 1992. [Google Scholar]
- Baker, F.; Denniston, M.; Zabora, J.; Polland, A.; Dudley, W.N. A POMS Short Form for Cancer Patients: Psychometric and Structural Evaluation. Psycho-Oncol. 2002, 11, 273–281. [Google Scholar] [CrossRef]
- Osgood, C.E.; Suci, S.J.; Tannnenbaum, P.H. The Measurement of Meaning; Illinois University Press: Champaign, IL, USA, 1956. [Google Scholar]
- Sowndhararajan, K.; Cho, H.; Yu, B.; Kim, S. Effect of Olfactory Stimulation of Isomeric Aroma Compounds, (+)-Limonene and Terpinolene on Human Electroencephalographic Activity. Eur. J. Integr. Med. 2015, 7, 561–566. [Google Scholar] [CrossRef]
- Bakhtadze, S.; Beridze, M.; Geladze, N.; Khachapuridze, N.; Bornstein, N. Effect of EEG Biofeedback on Cognitive Flexibility in Children with Attention Deficit Hyperactivity Disorder With and Without Epilepsy. Appl. Psychophysiol. Biofeedback 2016, 41, 71–79. [Google Scholar] [CrossRef]
- Gruzelier, J.; Egner, T.; Vernon, D. Validating the Efficacy of Neurofeedback for Optimising Performance. Prog. Brain Res. 2006, 159, 421–431. [Google Scholar] [CrossRef]
- Kang, S.Y.; Kim, M.K.; Ryu, H.W. Influence of the Concentration of Lavender Oil on Brain Activity. Kor. J. Aesthet. Cosmetol. 2013, 11, 1099–1107. [Google Scholar]
- Kora, P.; Meenakshi, K.; Swaraja, K.; Rajani, A.; Raju, M.S. EEG based Interpretation of Human Brain activity during Yoga and Meditation using Machine Learning: A systematic review. Complement. Ther. Clin. Pract. 2021, 43, 101329. [Google Scholar] [CrossRef] [PubMed]
- Ryu, H.; Ko, W.; Kim, J.; Kim, S.; Kim, M. Electroencephalography Activities Influenced by Classroom Smells of Male High School. Sci. Emot. Sensib. 2013, 16, 387–396. [Google Scholar]
- Lee, R. The Pruning Book, 2nd ed.; The Tauntion Press: Newtown, CT, USA, 2010. [Google Scholar]
- Bhambhani, Y.; Malik, R.; Mookerjee, S. Cerebral Oxygenation Declines at Exercise Intensities Above the Respiratory Compensation Threshold. Respir. Physiol. Neurobiol. 2007, 156, 196–202. [Google Scholar] [CrossRef] [PubMed]
- Mekari, S.; Fraser, S.; Bosquet, L.; Bonnéry, C.; Labelle, V.; Pouliot, P.; Lesage, F.; Bherer, L. The Relationship between Exercise Intensity, Cerebral Oxygenation and Cognitive Performance in Young Adults. Eur. J. Appl. Physiol. 2015, 115, 2189–2197. [Google Scholar] [CrossRef] [PubMed]
- Park, S.A.; Lee, A.Y.; Park, H.G.; Lee, W.L. Benefits of Gardening Activities for Cognitive Function according to Measurement of Brain Nerve Growth Factor Levels. Int. J. Environ. Res. Public Health 2019, 16, 760. [Google Scholar] [CrossRef] [PubMed]
- Piepmeier, A.T.; Etnier, J.L. Brain-derived Neurotrophic Factor (BDNF) as a Potential Mechanism of the Effects of Acute Exercise on Cognitive Performance. J. Sport Health Sci. 2015, 4, 14–23. [Google Scholar] [CrossRef]
- Razumnikova, O.M. Gender Differences in Hemispheric Organization During Divergent Thinking: An EEG Investigation in Human Subjects. Neurosci. Lett. 2004, 362, 193–195. [Google Scholar] [CrossRef]
- Gur, R.C.; Gur, R.E.; Obrist, W.D.; Hungerbuhler, J.P.; Younkin, D.; Rosen, A.D.; Skolnick, B.E.; Reivich, M. Sex and Handedness Differences in Cerebral Blood Flow During Rest and Cognitive Activity. Science 1982, 217, 659–661. [Google Scholar] [CrossRef]
- Frankenhaeuser, M.; von Wright, M.R.; Collins, A.; von Wright, J.; Sedvall, G.; Swahn, C.G. Sex Differences in Psychoneuroendocrine Reactions to Examination Stress. Psychosom. Med. 1978, 40, 334–343. [Google Scholar] [CrossRef]
- Volf, N.V.; Razumnikova, O.M. Sex Differences in EEG Coherence During a Verbal Memory Task in Normal Adults. Intl. J. Psychophysiol. 1999, 34, 113–122. [Google Scholar] [CrossRef]
- Hansen, C.J.; Stevens, L.C.; Coast, J.R. Exercise duration and mood state: How much is enough to feel better? Health Psychol. 2001, 20, 267–275. [Google Scholar] [CrossRef] [PubMed]
- Lane, A.M.; Crone-Grant, D.; Lane, H. Mood Changes Following Exercise. Percept. Mot. Skills 2002, 94, 732–734. [Google Scholar] [CrossRef] [PubMed]
- Hartig, T.; Evans, G.W.; Jamner, L.D.; Davis, D.S.; Gärling, T. Tracking Restoration in Natural and Urban Field Settings. J. Environ. Psychol. 2003, 23, 109–123. [Google Scholar] [CrossRef]
- Lin, W.; Chen, Q.; Jiang, M.; Tao, J.; Liu, Z.; Zhang, X.; Wu, L.; Xu, S.; Zeng, Q. Sitting or walking? Analyzing the Neural Emotional Indicators of Urban Green Space Behavior with Mobile EEG. J. Urban Health 2020, 97, 191–203. [Google Scholar] [CrossRef] [PubMed]
- Hayashi, N.; Wada, T.; Hirai, H.; Miyake, T.; Matsuura, Y.; Shimizu, N.; Kurook, H.; Horiuchi, S. The Effects of Horticultural Activity in a Community Garden on Mood Changes. Environ. Control Biol. 2008, 46, 233–240. [Google Scholar] [CrossRef]
- Tu, P.C.; Cheng, W.C.; Hou, P.C.; Chang, Y.S. Effects of Types of Horticultural Activity on the Physical and Mental State of Elderly Individuals. Int. J. Environ. Res. Public Health 2020, 17, 522. [Google Scholar] [CrossRef]
- Adnan, M.W.; Sedek, R.; Mutalib, S.A.; Kasim, Z.M.; Kashim, M.I.A.M.; Idris, F.; Yusof, A. Effects of Swimming Towards Mental Health in Collegiate Male Adults. Malays. Appl. Biol. 2019, 48, 141–148. [Google Scholar]
- Covington, A.C.; Rogers, R.R.; Kopec, T.J.; Ballmann, C.G. The Effect of Walking an Unfamiliar Versus Companion Dog on Mood, Exercise Enjoyment, and Heart Rate: A Pilot Field. Top. Exerc. Sci. Kinesiol. 2021, 2, 3. [Google Scholar]
- Park, C.E.; Kim, D.J.; Park, K.S.; Shin, C.S.; Kim, Y.H. Effects of Yoga and Meditation-focused Forest Healing Programs on Profile of Mood States (POMS) and Stress Response of Adults. Korean J. Environ. Ecol. 2018, 32, 658–666. [Google Scholar] [CrossRef]
- Wood, R.T.; Griffiths, M.D. Time Loss Whilst Playing Video Games: Is There a Relationship to Addictive Behaviours? Int. J. Ment. Health Addict. 2007, 5, 141–149. [Google Scholar] [CrossRef]
- Tao, J.; Hassan, A.; Qibing, C.; Yinggao, L.; Li, G.; Jiang, M.; Li, D.; Nian, L.; Bing-Yang, L.; Ziqin, Z. Psychological and Physiological Relaxation Induced by Nature-working with Ornamental Plants. Discrete Dyn. Nat. Soc. 2020, 6784512. [Google Scholar] [CrossRef]
- Hassan, A.; Qibing, C.; Tao, J.; Bing-Yang, L.; Nian, L.; Li, S.; Tng, L.Y.; Li, J.Z.; Ziyue, S.G.; Tahir, M.S. Effects of Plant Activity on Mental Stress in Young Adults. HortScience 2018, 53, 104–109. [Google Scholar] [CrossRef]



| Variable | Male (n = 30) | Female (n = 30) | Total (n = 60) | Significance a |
|---|---|---|---|---|
| M ± SD | ||||
| Age (years) | 25.53 ± 2.49 | 24.40 ± 2.67 | 24.97 ± 2.62 | NS |
| Height (cm) b | 175.70 ± 6.01 | 160.39 ± 5.69 | 168.17 ± 9.66 | 0.000 *** |
| Body weight (kg) c | 75.25 ± 12.99 | 54.58 ± 8.48 | 65.09 ± 15.09 | 0.000 *** |
| Body mass index (kg·m−2) c | 24.21 ± 3.52 | 21.64 ± 2.22 | 22.95 ± 3.20 | 0.001 ** |
| Horticultural Activity | Description a | Exercise Intensity (METs) b | |
|---|---|---|---|
| Organizing a garden plot | Raking ![]() | (1) Standing with the feet shoulder width apart, holding onto a rake (940 g) by placing the right hand at the end of the stick; (2) stepping forward with the left foot, holding the stick one third from the end; (3) reaching out with the rake to the task spot; (4) striking the rake onto the soil toward the front the participant; (5) stepping back with the left foot. | 5.4 |
Digging ![]() | (1) Standing with the feet shoulder width apart, holding onto a shovel (1660 g); (2) stepping forward with the left foot, holding the middle of the shovel handle with the left hand; (3) reaching to plunge the blade of the shovel properly into the task spot; (4) digging and heaping the soil to the right side; (5) stepping back with the left foot. | 6.3 | |
| Making a garden | Sowing seeds ![]() | (1) Squatting down and grasping a hand hoe (190 g) by the right hand; (2) reaching as far as possible with the hoe to position the blade properly at the task spot; (3) striking the hand hoe onto the ground; (4) sowing seeds (sword bean; Canavalia ensiformis) with both hands as a drill-seeding task. | 4.3 |
Transplanting plants ![]() | (1) Squatting and grasping a trowel (60 g) by right hand; (2) digging the soil with the trowel at the task spot; (3) planting plants (pepper face; Peperomia obtusifolia) on a span apart by both hands. | 3.5 | |
| Maintaining a garden | Hoeing ![]() | (1) Squatting down (bending the left leg vertically and the right leg horizontally); (2) holding a hand hoe (190 g) with the right hand and lifting it to the shoulder level; (3) striking the hand hoe on the ground; (4) drawing the soil toward the body. | 4.4 |
Mulching ![]() | Covering the soils with straw while squatting in the garden plot (1.0 m × 1.8 m). | 4.5 | |
Weeding ![]() | Grasping weeds with the right hand, and pulling towards their body, repeating two or three times while squatting. | 5.0 | |
Pruning ![]() | Cutting juniper (Juniperus chinensis) branches using a pruning shear. | - | |
Staking ![]() | Picking a stake (40 g) to the side of the plant stem and stacking using a tie by both hands while squatting. | - | |
Watering ![]() | Holding a watering can (600 g) by the right hand, and watering through the garden plot (1.0 m × 1.8 m). | 3.9 | |
Harvesting ![]() | (1) Standing with the feet shoulder width apart, (2) reaching the right arm to the peppers (Capsicum annuum L.) for harvesting; (3) placing the harvested peppers in a basket (150 g) by the left hand. | 4.2 | |
| Analysis Indicator | The Full Name of the EEG Power Spectrum Indicator | Indicator Estimate (Ratio) | Attention State |
|---|---|---|---|
| RB | Relative Beta | Beta (13–30 Hz)/total frequency (4–50 Hz) | Attentive status, being engaged in problem-solving, making decisions |
| SMR/theta | Sensory Motor Rhythm to theta | Lower beta (12–15 Hz)/theta (4–8 Hz) | Immersion state of individuals |
| SEF50 | Spectral Edge Frequency 50% of Total Spectrum Band | The lowest frequency below which 50% of the total power in the total frequency band (4–50 Hz) | Awareness |
| ASEF50 | Spectral Edge Frequency 50% of Alpha Spectrum Band | The lowest frequency below which 50% of the total power in the alpha frequency (8–13 Hz) | Adequate awareness with stability and relaxation |
| Variable | Horticultural Activity | RB c | SMR/theta d | SEF50 e | ASEF50 f | |||||||||||||
|---|---|---|---|---|---|---|---|---|---|---|---|---|---|---|---|---|---|---|
| Fp1 b | Fp2 b | Fp1 | Fp2 | Fp1 | Fp2 | Fp1 | Fp2 | |||||||||||
| M ± SD | ||||||||||||||||||
| Male (n = 30) | Organizing a garden plot | Raking | 0.33 ± 0.04 | a a | 0.33 ± 0.04 | a | 0.09 ± 0.01 | ab | 0.09 ± 0.01 | ab | 18.39 ± 4.96 | b | 18.01 ± 4.82 | bc | 10.42 ± 0.34 | a | 10.39 ± 0.30 | a |
| Digging | 0.31 ± 0.05 | abcd | 0.33 ± 0.05 | a | 0.09 ± 0.01 | a | 0.09 ± 0.01 | a | 15.31 ± 4.50 | cd | 16.51 ± 4.37 | bc | 10.40 ± 0.32 | abc | 10.39 ± 0.25 | a | ||
| Making a garden | Sowing seeds | 0.32 ± 0.03 | abcd | 0.32 ± 0.03 | ab | 0.08 ± 0.01 | bc | 0.08 ± 0.01 | bc | 16.90 ± 3.62 | bcd | 16.84 ± 3.34 | bc | 10.20 ± 0.18 | abc | 10.24 ± 0.17 | abc | |
| Transplanting | 0.32 ± 0.04 | ab | 0.33 ± 0.04 | a | 0.08 ± 0.01 | bc | 0.08 ± 0.02 | bc | 17.68 ± 3.83 | b | 17.64 ± 3.36 | bc | 10.22 ± 0.20 | ab | 10.27 ± 0.20 | ab | ||
| Maintaining a garden | Hoeing | 0.30 ± 0.04 | cde | 0.31 ± 0.03 | abcd | 0.08 ± 0.01 | c | 0.08 ± 0.01 | cd | 16.22 ± 3.87 | bcd | 16.77 ± 3.21 | bc | 10.25 ± 0.24 | cd | 10.06 ± 0.27 | bcd | |
| Mulching | 0.33 ± 0.04 | ab | 0.33 ± 0.03 | a | 0.08 ± 0.01 | bc | 0.08 ± 0.01 | bc | 18.17 ± 3.76 | b | 18.33 ± 3.02 | ab | 10.29 ± 0.25 | ab | 10.30 ± 0.30 | a | ||
| Weeding | 0.31 ± 0.03 | bcde | 0.31 ± 0.03 | abcd | 0.08 ± 0.01 | c | 0.08 ± 0.01 | cd | 16.82 ± 3.71 | Bcd | 17.17 ± 3.74 | bc | 10.22 ± 0.17 | cd | 10.24 ± 0.18 | abcd | ||
| Pruning | 0.32 ± 0.03 | abc | 0.32 ± 0.03 | abc | 0.06 ± 0.01 | d | 0.07 ± 0.01 | de | 21.28 ± 3.48 | A | 20.12 ± 3.99 | a | 10.16 ± 0.19 | cd | 10.14 ± 0.22 | bcd | ||
| Staking | 0.29 ± 0.03 | e | 0.30 ± 0.30 | cd | 0.07 ± 0.01 | d | 0.07 ± 0.01 | de | 16.83 ± 3.86 | bcd | 16.09 ± 3.02 | cd | 10.30 ± 0.18 | de | 10.32 ± 0.19 | de | ||
| Watering | 0.32 ± 0.04 | abcd | 0.32 ± 0.05 | ab | 0.08 ± 0.01 | bc | 0.08 ± 0.02 | bc | 17.65 ± 4.28 | B | 17.38 ± 3.44 | bc | 10.17 ± 0.19 | bcd | 10.21 ± 0.17 | abc | ||
| Harvesting | 0.30 ± 0.04 | cde | 0.31 ± 0.03 | bcd | 0.07 ± 0.01 | d | 0.07 ± 0.01 | de | 17.50 ± 4.39 | Bc | 17.11 ± 3.46 | bc | 10.35 ± 0.26 | cde | 10.37 ± 0.30 | cd | ||
| Resting | 0.30 ± 0.04 | de | 0.30 ± 0.03 | d | 0.07 ± 0.01 | d | 0.07 ± 0.01 | de | 14.86 ± 3.28 | D | 14.55 ± 2.80 | d | 10.43 ± 0.22 | e | 10.08 ± 0.34 | e | ||
| Significance g | 0.000 *** | 0.000 *** | 0.000 *** | 0.000 *** | 0.000 *** | 0.000 *** | 0.000 *** | 0.000 *** | ||||||||||
| Female (n = 30) | Organizing a garden plot | Raking | 0.33 ± 0.05 | ab | 0.34 ± 0.05 | ab | 0.09 ± 0.02 | ab | 0.10 ± 0.02 | ab | 16.05 ± 4.03 | abc | 16.72 ± 3.76 | abc | 10.49 ± 0.32 | a | 10.51 ± 0.35 | a |
| Digging | 0.34 ± 0.04 | a | 0.35 ± 0.04 | a | 0.10 ± 0.02 | a | 0.10 ± 0.02 | a | 16.95 ± 3.77 | ab | 17.30 ± 3.15 | ab | 10.33 ± 0.32 | ab | 10.42 ± 0.33 | a | ||
| Making a garden | Sowing seeds | 0.31 ± 0.05 | bc | 0.31 ± 0.05 | c | 0.09 ± 0.02 | bc | 0.09 ± 0.02 | bcd | 14.86 ± 2.87 | bc | 15.10 ± 2.57 | bcd | 10.29 ± 0.29 | bc | 10.33 ± 0.33 | bc | |
| Transplanting | 0.31 ± 0.04 | bc | 0.28 ± 0.04 | bc | 0.09 ± 0.02 | abc | 0.09 ± 0.02 | abc | 15.50 ± 3.17 | abc | 15.92 ± 3.22 | bcd | 10.21 ± 0.20 | ab | 10.26 ± 0.24 | ab | ||
| Maintaining a garden | Hoeing | 0.30 ± 0.05 | bc | 0.31 ± 0.05 | c | 0.09 ± 0.02 | bc | 0.09 ± 0.02 | bcd | 14.89 ± 3.62 | bc | 15.28 ± 3.31 | bcd | 10.07 ± 0.16 | bc | 10.10 ± 0.16 | bc | |
| Mulching | 0.31 ± 0.04 | bc | 0.32 ± 0.04 | bc | 0.09 ± 0.02 | bc | 0.09 ± 0.02 | abcd | 15.64 ± 3.13 | abc | 16.19 ± 2.77 | bcd | 10.28 ± 0.26 | bc | 10.25 ± 0.32 | abc | ||
| Weeding | 0.29 ± 0.05 | cd | 0.30 ± 0.05 | cd | 0.08 ± 0.01 | cd | 0.08 ± 0.02 | cd | 14.51 ± 3.82 | c | 15.48 ± 3.47 | bcd | 10.10 ± 0.25 | cd | 10.16 ± 0.26 | cd | ||
| Pruning | 0.29 ± 0.05 | cd | 0.30 ± 0.05 | cd | 0.06 ± 0.02 | e | 0.06 ± 0.02 | e | 17.32 ± 5.76 | a | 18.32 ± 6.05 | a | 10.07 ± 0.16 | d | 10.10 ± 0.17 | de | ||
| Staking | 0.27 ± 0.04 | d | 0.28 ± 0.03 | d | 0.07 ± 0.01 | de | 0.07 ± 0.01 | e | 13.90 ± 4.07 | c | 14.29 ± 3.59 | d | 10.31 ± 0.32 | d | 10.33 ± 0.33 | de | ||
| Watering | 0.29 ± 0.04 | cd | 0.29 ± 0.06 | cd | 0.08 ± 0.02 | cd | 0.08 ± 0.02 | d | 14.89 ± 3.49 | bc | 14.87 ± 3.23 | cd | 10.06 ± 0.17 | bc | 10.06 ± 0.15 | cd | ||
| Harvesting | 0.27 ± 0.04 | d | 0.28 ± 0.04 | d | 0.07 ± 0.01 | e | 0.07 ± 0.01 | e | 14.32 ± 4.31 | c | 15.35 ± 4.43 | bcd | 10.41 ± 0.32 | d | 10.46 ± 0.35 | e | ||
| Resting | 0.29 ± 0.04 | cd | 0.29 ± 0.05 | cd | 0.06 ± 0.01 | e | 0.06 ± 0.01 | e | 14.45 ± 3.69 | c | 15.44 ± 4.44 | bcd | 10.42 ± 0.37 | d | 10.51 ± 0.37 | de | ||
| Significance | 0.000 *** | 0.000 *** | 0.000 *** | 0.000 *** | 0.000 *** | 0.000 *** | 0.000 *** | 0.000 *** | ||||||||||
| Total (n = 60) | Organizing a garden plot | Raking | 0.33 ± 0.05 | a | 0.34 ± 0.05 | a | 0.09 ± 0.02 | ab | 0.09 ± 0.02 | ab | 17.22 ± 4.63 | b | 17.36 ± 4.33 | b | 10.42 ± 0.34 | a | 10.46 ± 0.36 | a |
| Digging | 0.32 ± 0.05 | a | 0.34 ± 0.05 | a | 0.10 ± 0.02 | a | 0.10 ± 0.01 | a | 16.13 ± 4.20 | bcd | 16.90 ± 3.80 | b | 10.40 ± 0.32 | a | 10.45 ± 0.33 | a | ||
| Making a garden | Sowing seeds | 0.31 ± 0.04 | abc | 0.32 ± 0.04 | bcd | 0.08 ± 0.02 | bcd | 0.09 ± 0.02 | bc | 15.88 ± 3.40 | bcd | 15.97 ± 3.08 | bc | 10.31 ± 0.25 | bcd | 10.32 ± 0.27 | bc | |
| Transplanting | 0.32 ± 0.04 | ab | 0.32 ± 0.04 | abc | 0.09 ± 0.02 | bc | 0.09 ± 0.02 | bc | 16.59 ± 3.65 | bc | 16.78 ± 3.37 | b | 10.38 ± 0.29 | ab | 10.42 ± 0.33 | ab | ||
| Maintaining a garden | Hoeing | 0.30 ± 0.04 | bcde | 0.31 ± 0.04 | bcde | 0.08 ± 0.02 | cd | 0.08 ± 0.02 | cd | 15.55 ± 3.78 | bcd | 16.03 ± 3.32 | bc | 10.25 ± 0.24 | de | 10.29 ± 0.26 | cd | |
| Mulching | 0.32 ± 0.04 | ab | 0.33 ± 0.04 | ab | 0.09 ± 0.02 | bcb | 0.09 ± 0.02 | bc | 16.90 ± 3.66 | bc | 17.26 ± 3.07 | b | 10.35 ± 0.28 | abc | 10.40 ± 0.29 | ab | ||
| Weeding | 0.30 ± 0.04 | cdef | 0.31 ± 0.04 | def | 0.08 ± 0.01 | d | 0.08 ± 0.01 | d | 15.66 ± 3.91 | bcd | 16.32 ± 3.68 | bc | 10.21 ± 0.20 | def | 10.26 ± 0.22 | cd | ||
| Pruning | 0.31 ± 0.04 | bcd | 0.31 ± 0.04 | edef | 0.06 ± 0.01 | f | 0.06 ± 0.01 | e | 19.30 ± 5.12 | A | 19.22 ± 5.16 | a | 10.16 ± 0.22 | efg | 10.20 ± 0.22 | de | ||
| Staking | 0.28 ± 0.04 | f | 0.29 ± 0.03 | g | 0.07 ± 0.01 | e | 0.07 ± 0.01 | e | 15.37 ± 4.20 | Cd | 15.19 ± 3.41 | c | 10.11 ± 0.19 | fg | 10.12 ± 0.20 | ef | ||
| Watering | 0.30 ± 0.05 | bcd | 0.31 ± 0.05 | cdef | 0.08 ± 0.02 | d | 0.08 ± 0.02 | d | 16.27 ± 4.20 | bcd | 16.12 ± 3.54 | bc | 10.28 ± 0.26 | cd | 10.28 ± 0.31 | cd | ||
| Harvesting | 0.29 ± 0.04 | ef | 0.29 ± 0.04 | fg | 0.07 ± 0.01 | e | 0.07 ± 0.01 | e | 15.91 ± 4.60 | bcd | 16.23 ± 4.04 | bc | 10.12 ± 0.19 | fg | 10.14 ± 0.18 | ef | ||
| Resting | 0.29 ± 0.04 | def | 0.29 ± 0.04 | efg | 0.07 ± 0.01 | ef | 0.07 ± 0.01 | e | 14.65 ± 3.47 | D | 15.00 ± 3.72 | c | 10.70 ± 0.22 | g | 10.08 ± 0.22 | f | ||
| Significance | 0.000 *** | 0.000 *** | 0.000 *** | 0.000 *** | 0.000 *** | 0.000 *** | 0.000 *** | 0.000 *** | ||||||||||
| Variable | Horticultural Activity | V | D | C | T-A | A-H | F | TMD | ||||||||
|---|---|---|---|---|---|---|---|---|---|---|---|---|---|---|---|---|
| M ± SD | ||||||||||||||||
| Male (n = 30) | Organizing a garden plot | Raking | 10.20 ± 4.87 | a b | 0.57 ± 1.28 | 2.50 ± 1.66 | 1.00 ± 1.98 | b | 0.30 ± 0.92 | 3.23 ± 3.73 | ab | −2.60 ± 8.52 | b | |||
| Digging | 10.00 ± 4.28 | a | 1.00 ± 1.53 | 2.60 ± 1.98 | 2.30 ± 2.81 | a | 0.67 ± 1.18 | 3.33 ± 3.04 | a | −0.10 ± 8.13 | b | |||||
| Making a garden | Sowing seeds | 8.60 ± 4.74 | ab | 0.43 ± 1.33 | 2.10 ± 1.86 | 0.87 ± 1.70 | b | 0.43 ± 1.17 | 1.77 ± 2.76 | abc | −3.00 ± 7.85 | b | ||||
| Transplanting | 8.90 ± 4.44 | ab | 0.60 ± 1.35 | 2.50 ± 2.10 | 1.33 ± 2.15 | ab | 0.67 ± 1.73 | 1.67 ± 2.83 | bc | −2.13 ± 9.18 | b | |||||
| Maintaining a garden | Hoeing | 9.40 ± 4.61 | ab | 0.70 ± 1.44 | 2.20 ± 1.49 | 0.67 ± 1.56 | b | 0.57 ± 1.28 | 2.20 ± 3.04 | abc | −3.07 ± 8.78 | b | ||||
| Mulching | 7.83 ± 5.09 | ab | 0.50 ± 0.94 | 2.27 ± 1.87 | 0.07 ± 1.51 | b | 0.40 ± 1.16 | 1.80 ± 2.23 | abc | −2.17 ± 7.57 | b | |||||
| Weeding | 7.17 ± 4.56 | b | 0.73 ± 1.44 | 2.20 ± 1.94 | 0.73 ± 1.57 | cd | 0.23 ± 0.82 | 1.57 ± 2.60 | c | −1.70 ± 8.23 | b | |||||
| Pruning | 7.60 ± 4.65 | ab | 0.67 ± 1.45 | 2.30 ± 2.15 | 0.87 ± 1.80 | b | 0.60 ± 1.50 | 1.03 ± 2.04 | c | −2.13 ± 7.93 | b | |||||
| Staking | 7.73 ± 4.03 | ab | 0.50 ± 1.14 | 2.40 ± 1.87 | 1.60 ± 2.55 | ab | 0.17 ± 0.75 | 1.97 ± 3.15 | abc | −1.00 ± 8.23 | b | |||||
| Watering | 8.93 ± 4.79 | ab | 0.47 ± 1.11 | 2.13 ± 1.70 | 0.73 ± 1.89 | b | 0.37 ± 1.25 | 1.13 ± 2.22 | c | −4.10 ± 7.84 | b | |||||
| Harvesting | 9.03 ± 4.45 | ab | 0.63 ± 1.63 | 2.77 ± 1.96 | 0.93 ± 1.74 | b | 0.43 ± 1.22 | 1.40 ± 2.76 | c | −2.87 ± 9.68 | b | |||||
| Resting | 3.20 ± 3.19 | c | 1.13 ± 2.45 | 2.27 ± 3.25 | 2.20 ± 3.39 | a | 0.73 ± 2.16 | 2.10 ± 2.71 | abc | 5.23 ± 11.06 | a | |||||
| Significance c | 0.000 *** | 0.801 NS | 0.983 NS | 0.014 * | 0.846 NS | 0.000 *** | 0.010 * | |||||||||
| Female (n = 30) | Organizing a garden plot | Raking | 10.57 ± 4.09 | a | 0.40 ± 1.35 | 1.83 ± 2.20 | 1.20 ± 1.86 | 0.73 ± 1.55 | 3.93 ± 3.56 | a | −2.10 ± 0.35 | b | ||||
| Digging | 10.57 ± 4.09 | a | 0.20 ± 0.66 | 2.50 ± 2.66 | 2.20 ± 1.90 | 0.73 ± 1.72 | 4.07 ± 3.91 | a | −0.77 ± 8.27 | b | ||||||
| Making a garden | Sowing seeds | 9.53 ± 4.99 | a | 0.47 ± 2.19 | 2.40 ± 2.01 | 0.73 ± 2.03 | 0.30 ± 1.47 | 1.70 ± 2.88 | bc | −3.93 ± 8.84 | b | |||||
| Transplanting | 9.43 ± 4.61 | a | 0.47 ± 2.19 | 2.20 ± 1.69 | 1.17 ± 3.65 | 0.43 ± 2.03 | 1.90 ± 3.95 | bc | −3.27 ± 10.13 | b | ||||||
| Maintaining a garden | Hoeing | 8.87 ± 4.42 | abc | 0.33 ± 1.32 | 2.00 ± 2.02 | 0.90 ± 1.86 | 0.77 ± 2.31 | 3.20 ± 4.27 | ab | −1.67 ± 8.76 | b | |||||
| Mulching | 6.73 ± 4.23 | bc | 0.33 ± 0.84 | 1.77 ± 1.45 | 0.83 ± 1.74 | 0.20 ± 0.66 | 1.53 ± 2.65 | bc | −2.07 ± 5.40 | b | ||||||
| Weeding | 8.50 ± 5.44 | abc | 0.40 ± 1.10 | 1.93 ± 1.66 | 1.03 ± 2.67 | 1.57 ± 2.85 | 2.23 ± 3.69 | abc | −1.33 ± 10.28 | b | ||||||
| Pruning | 6.23 ± 5.34 | c | 0.20 ± 0.48 | 1.17 ± 1.55 | 1.00 ± 1.29 | 0.80 ± 2.33 | 1.27 ± 2.75 | bc | −1.67 ± 8.76 | b | ||||||
| Staking | 6.77 ± 4.30 | bc | 0.17 ± 0.53 | 1.80 ± 1.71 | 1.40 ± 2.59 | 0.37 ± 1.22 | 1.80 ± 2.80 | bc | −1.23 ± 6.87 | b | ||||||
| Watering | 7.97 ± 4.99 | abc | 0.07 ± 0.25 | 1.60 ± 1.87 | 0.77 ± 2.03 | 0.23 ± 0.94 | 2.50 ± 3.41 | abc | −2.80 ± 6.07 | b | ||||||
| Harvesting | 9.37 ± 4.11 | ab | 0.23 ± 0.73 | 2.10 ± 1.73 | 0.97 ± 2.24 | 0.53 ± 1.96 | 1.10 ± 2.50 | c | −4.43 ± 7.33 | b | ||||||
| Resting | 1.70 ± 3.46 | d | 0.83 ± 1.46 | 1.23 ± 2.13 | 1.50 ± 1.76 | 0.57 ± 1.74 | 2.70 ± 2.41 | abc | 5.13 ± 6.58 | a | ||||||
| Significance c | 0.000 *** | 0.598 NS | 0.379 NS | 0.423 NS | 0.265 NS | 0.003 ** | 0.003 ** | |||||||||
| Total (n = 60) | Organizing a garden plot | Raking | 10.20 ± 4.80 | a | 0.48 ± 1.31 | 2.17 ± 1.96 | 1.10 ± 1.91 | bc | 0.52 ± 1.28 | 3.58 ± .3.63 | a | −2.35 ± 8.73 | b | |||
| Digging | 10.28 ± 4.16 | a | 0.60 ± 1.24 | 2.60 ± 2.32 | 2.25 ± 2.38 | a | 0.70 ± 1.46 | 3.70 ± 3.49 | a | −0.43 ± 8.14 | b | |||||
| Making a garden | Sowing seeds | 9.07 ± 4.85 | ab | 0.45 ± 1.80 | 2.25 ± 1.93 | 0.80 ± 1.86 | c | 0.37 ± 1.31 | 1.73 ± 2.80 | bc | −3.47 ± 8.30 | b | ||||
| Transplanting | 9.17 ± 4.50 | ab | 0.53 ± 1.55 | 2.35 ± 1.89 | 1.25 ± 2.97 | bc | 0.55 ± 1.87 | 1.78 ± 3.41 | bc | −2.70 ± 9.60 | b | |||||
| Maintaining a garden | Hoeing | 9.13 ± 4.49 | ab | 0.52 ± 1.38 | 2.10 ± 1.76 | 0.78 ± 1.71 | c | 0.67 ± 1.86 | 2.70 ± 3.71 | ab | −2.12 ± 6.52 | b | ||||
| Mulching | 7.28 ± 4.67 | c | 0.42 ± 0.89 | 2.02 ± 1.68 | 0.77 ± 1.62 | c | 0.30 ± 0.94 | 1.67 ± 2.43 | bc | −2.12 ± 6.52 | b | |||||
| Weeding | 7.83 ± 5.03 | bc | 0.57 ± 1.28 | 2.07 ± 1.79 | 0.88 ± 2.18 | c | 0.90 ± 2.18 | 1.90 ± 3.18 | bc | −1.52 ± 9.23 | b | |||||
| Pruning | 6.92 ± 5.01 | c | 0.43 ± 1.09 | 2.03 ± 1.88 | 0.93 ± 1.55 | c | 0.70 ± 1.94 | 1.15 ± 2.41 | c | −1.67 ± 7.92 | b | |||||
| Staking | 7.25 ± 4.16 | c | 0.33 ± 0.90 | 2.15 ± 1.81 | 1.50 ± 2.55 | abc | 0.27 ± 1.01 | 1.88 ± 2.95 | bc | −1.12 ± 7.51 | b | |||||
| Watering | 8.45 ± 4.87 | abc | 0.27 ± 0.82 | 1.87 ± 1.79 | 0.75 ± 1.95 | c | 0.30 ± 1.09 | 1.82 ± 2.94 | bc | −3.45 ± 6.98 | b | |||||
| Harvesting | 9.20 ± 4.25 | ab | 0.43 ± 1.27 | 2.43 ± 1.86 | 0.95 ± 1.99 | c | 0.48 ± 1.62 | 1.25 ± 2.61 | c | −3.65 ± 8.55 | b | |||||
| Resting | 2.45 ± 3.38 | d | 0.98 ± 2.00 | 1.75 ± 2.77 | 1.85 ± 2.70 | ab | 0.65 ± 1.95 | 2.40 ± 2.56 | bc | 5.18 ± 9.03 | a | |||||
| Significance c | 0.000 *** | 0.386 NS | 0.582 NS | 0.001 * | 0.514 NS | 0.000 *** | 0.000 *** | |||||||||
Publisher’s Note: MDPI stays neutral with regard to jurisdictional claims in published maps and institutional affiliations. |
© 2021 by the authors. Licensee MDPI, Basel, Switzerland. This article is an open access article distributed under the terms and conditions of the Creative Commons Attribution (CC BY) license (https://creativecommons.org/licenses/by/4.0/).
Share and Cite
Lee, A.-Y.; Kim, S.-O.; Park, S.-A. Attention and Emotional States during Horticultural Activities of Adults in 20s Using Electroencephalography: A Pilot Study. Sustainability 2021, 13, 12968. https://doi.org/10.3390/su132312968
Lee A-Y, Kim S-O, Park S-A. Attention and Emotional States during Horticultural Activities of Adults in 20s Using Electroencephalography: A Pilot Study. Sustainability. 2021; 13(23):12968. https://doi.org/10.3390/su132312968
Chicago/Turabian StyleLee, A-Young, Seon-Ok Kim, and Sin-Ae Park. 2021. "Attention and Emotional States during Horticultural Activities of Adults in 20s Using Electroencephalography: A Pilot Study" Sustainability 13, no. 23: 12968. https://doi.org/10.3390/su132312968
APA StyleLee, A.-Y., Kim, S.-O., & Park, S.-A. (2021). Attention and Emotional States during Horticultural Activities of Adults in 20s Using Electroencephalography: A Pilot Study. Sustainability, 13(23), 12968. https://doi.org/10.3390/su132312968












