Generalized Interface Shear Strength Equation for Recycled Materials Reinforced with Geogrids
Abstract
:1. Introduction
2. Materials and Methods
2.1. Materials
2.2. Experimental Program
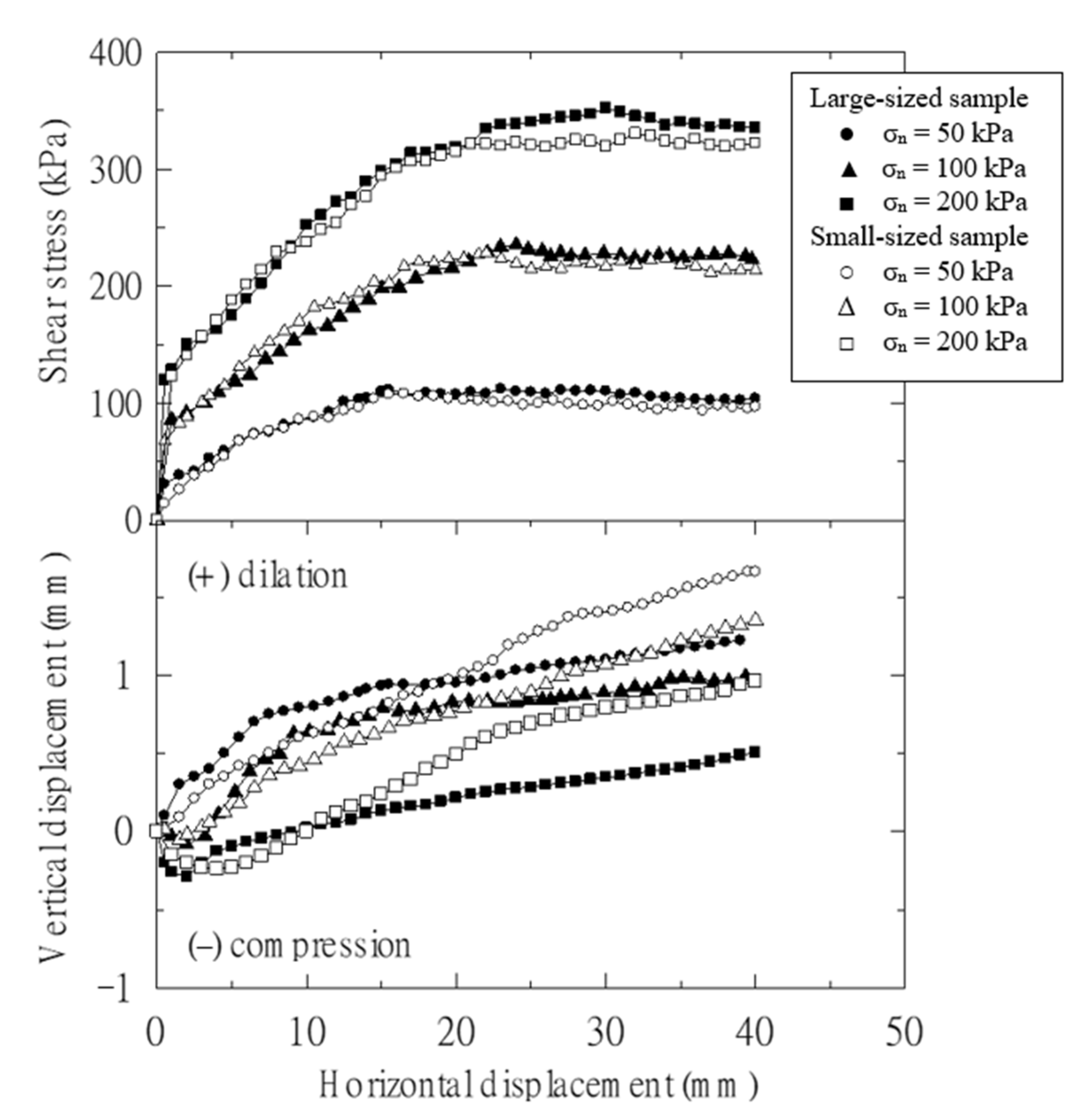
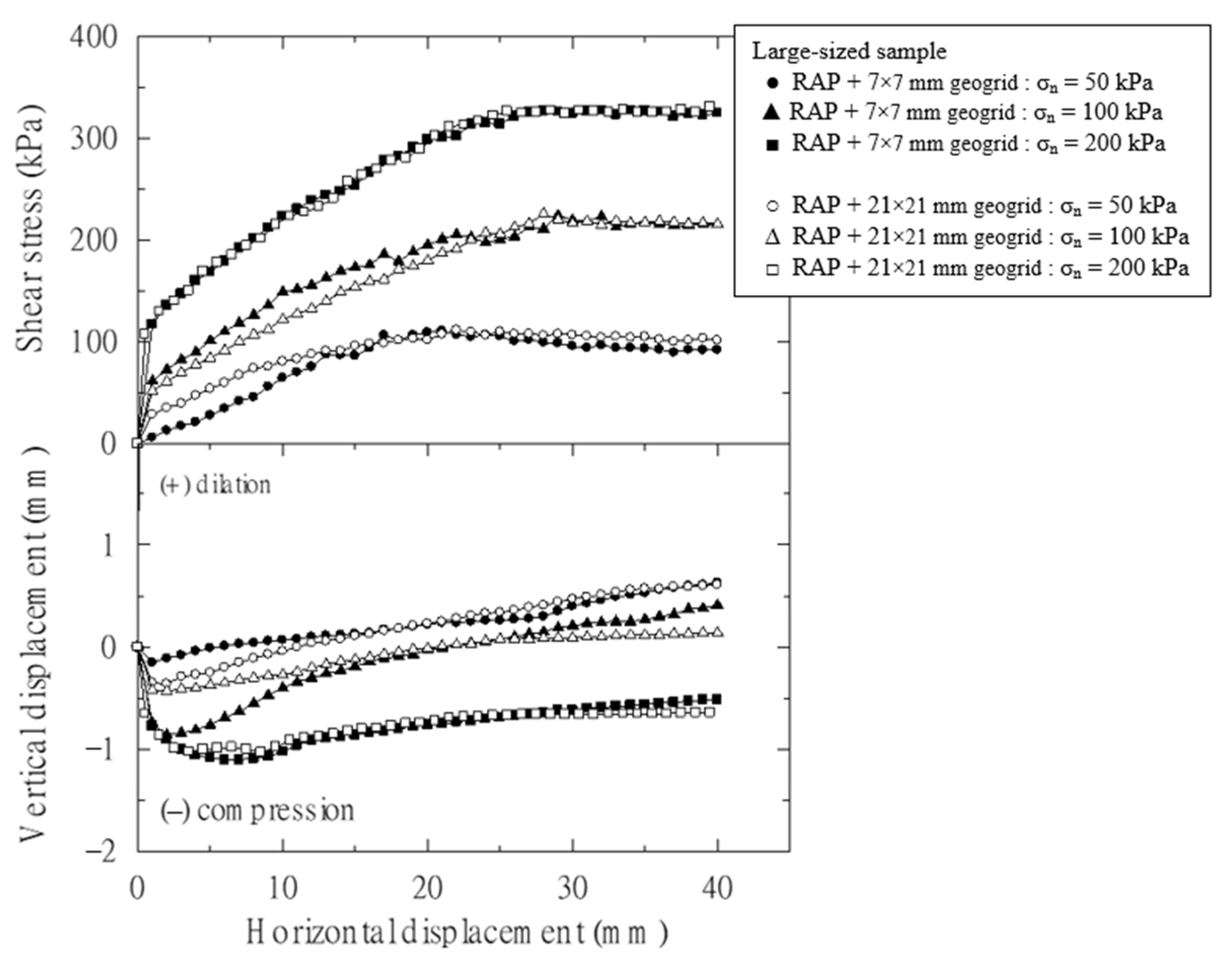
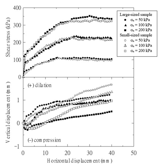
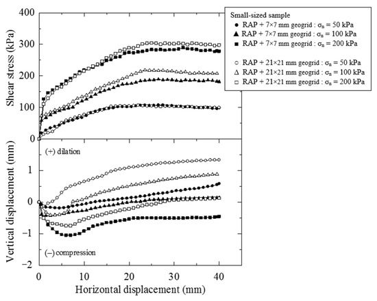
3. Results and Discussion
- (1)
- From a selected recycled aggregate, adjust its gradation to meet the requirement for base/subbase courses specified by local or international standards;
- (2)
- From the gradation, which might be varied along the constructing road, select at least two gradations to determine D/FD values for a selected geogrid;
- (3)
- Perform the direct shear test on the selected recycled aggregate at various normal stresses in the range of field working stress;
- (4)
- Perform the direct interface shear test on the recycled aggregate reinforced with geogrid at various normal stress and D/FD values;
- (5)
- From Equation (3), determine values of a and b. With these two values, the α values of the selected geogrid and recycled aggregate can be approximated.
4. Conclusions
Author Contributions
Funding
Institutional Review Board Statement
Informed Consent Statement
Data Availability Statement
Acknowledgments
Conflicts of Interest
References
- Holz, R.; Christopher, B.R.; Berg, R.R. Geosynthetic Design and Construction Guidelines; FHWA Publication No. FHWA HI-07-092; Federal Highway Administration: Washington, DC, USA, 1998.
- Buritatum, A.; Horpibulsuk, S.; Udomchai, A.; Suddeepong, A.; Takaikaew, T.; Vichitcholchai, N.; Arulrajah, A. Durability improvement of cement stabilized pavement base using natural rubber latex. Transp. Geotech. 2021, 100518. [Google Scholar] [CrossRef]
- Buritatum, A.; Takaikaew, T.; Horpibulsuk, S.; Udomchai, A.; Hoy, M.; Vichitcholchai, N.; Arulrajah, A. Mechanical Strength Improvement of Cement-Stabilized Soil Using Natural Rubber Latex for Pavement Base Applications. J. Mater. Civ. Eng. 2020, 32, 04020372. [Google Scholar] [CrossRef]
- Jose, A.; Kasthurba, A. Laterite soil-cement blocks modified using natural rubber latex: Assessment of its properties and performance. Constr. Build. Mater. 2021, 273, 121991. [Google Scholar] [CrossRef]
- Avirneni, D.; Peddinti, P.R.; Saride, S. Durability and long term performance of geopolymer stabilized reclaimed asphalt pavement base courses. Constr. Build. Mater. 2016, 121, 198–209. [Google Scholar] [CrossRef]
- Phummiphan, I.; Horpibulsuk, S.; Rachan, R.; Arulrajah, A.; Shen, S.-L.; Chindaprasirt, P. High calcium fly ash geopolymer stabilized lateritic soil and granulated blast furnace slag blends as a pavement base material. J. Hazard. Mater. 2018, 341, 257–267. [Google Scholar] [CrossRef]
- Xiao, R.; Polaczyk, P.; Zhang, M.; Jiang, X.; Zhang, Y.; Huang, B.; Hu, W. Evaluation of glass powder-based geopolymer stabilized road bases containing recycled waste glass aggregate. Transp. Res. Rec. 2020, 2674, 22–32. [Google Scholar] [CrossRef]
- Giroud, J.P.; Han, J. Design Method for Geogrid-Reinforced Unpaved Roads. I. Development of Design Method. J. Geotech. Geoenviron. Eng. 2004, 130, 775–786. [Google Scholar] [CrossRef] [Green Version]
- Maghool, F.; Arulrajah, A.; Mirzababaei, M.; Suksiripattanapong, C.; Horpibulsuk, S. Interface shear strength properties of geogrid-reinforced steel slags using a large-scale direct shear testing apparatus. Geotext. Geomembr. 2020, 48, 625–633. [Google Scholar] [CrossRef]
- Saberian, M.; Li, J.; Perera, S.T.A.M.; Zhou, A.; Roychand, R.; Ren, G. Large-scale direct shear testing of waste crushed rock reinforced with waste rubber as pavement base/subbase materials. Transp. Geotech. 2021, 28, 100546. [Google Scholar] [CrossRef]
- Vieira, C.S. Valorization of Fine-Grain Construction and Demolition (C&D) Waste in Geosynthetic Reinforced Structures. Waste Biomass Valorization 2020, 11, 1615–1626. [Google Scholar]
- Christopher, B.; Perkins, S. Full scale testing of geogrids to evaluate junction strength requirements for reinforced roadway base design. In Proceedings of the Fourth European Geosynthetics Conference, Edinburgh, UK, 7–10 September 2008. [Google Scholar]
- Perkins, S.; Christopher, B.; Thom, N.; Montestruque, G.; Korkiala-Tanttu, L.; Want, A. Geosynthetics in pavement reinforcement applications. In Proceedings of the 9th International Conference on Geosynthetics, Guarujá, Brazil, 23–27 May 2010. [Google Scholar]
- Rajagopal, K.; Krishnaswamy, N.R.; Madhavi Latha, G. Behaviour of sand confined with single and multiple geocells. Geotext. Geomembr. 1999, 17, 171–184. [Google Scholar] [CrossRef]
- Al-Qadi, I.L.; Brandon, T.L.; Valentine, R.J.; Lacina, B.A.; Smith, T.E. Laboratory evaluation of geosynthetic-reinforced pavement sections. Transp. Res. Rec. 1994, 1439, 25–31. [Google Scholar]
- Cuelho, E.V.; Perkins, S.W. Geosynthetic subgrade stabilization—Field testing and design method calibration. Transp. Geotech. 2017, 10, 22–34. [Google Scholar] [CrossRef] [Green Version]
- Perkins, S.W. Numerical Modeling of Geosynthetic Reinforced Flexible Pavements. Constr. Build. Mater. 2016, 122, 214–230. [Google Scholar]
- Shirazi, M.G.; Rashid, A.S.A.; Nazir, R.; Abdul Rashid, A.H.; Horpibulsuk, S. Enhancing the Bearing Capacity of Rigid Footing Using Limited Life Kenaf Geotextile Reinforcement. J. Nat. Fibers 2020, 1–17. [Google Scholar] [CrossRef]
- Abu-Farsakh, M.Y.; Chen, Q. Evaluation of geogrid base reinforcement in flexible pavement using cyclic plate load testing. Int. J. Pavement Eng. 2011, 12, 275–288. [Google Scholar] [CrossRef]
- Alimohammadi, H.; Zheng, J.; Schaefer, V.R.; Siekmeier, J.; Velasquez, R. Evaluation of geogrid reinforcement of flexible pavement performance: A review of large-scale laboratory studies. Transp. Geotech. 2021, 27, 100471. [Google Scholar] [CrossRef]
- Ling, H.I.; Liu, Z. Performance of Geosynthetic-Reinforced Asphalt Pavements. J. Geotech. Geoenviron. Eng. 2001, 127, 177–184. [Google Scholar] [CrossRef]
- Mirzapour Mounes, S.; Karim, M.R.; Khodaii, A.; Almasi, M.H. Improving Rutting Resistance of Pavement Structures Using Geosynthetics: An Overview. Sci. World J. 2014, 2014, 764218. [Google Scholar] [CrossRef] [PubMed]
- Horpibulsuk, S.; Hoy, M.; Witchayaphong, P.; Rachan, R.; Arulrajah, A. Recycled asphalt pavement—Fly ash geopolymer as a sustainable stabilized pavement material. In The IOP Conference Series: Materials Science and Engineering; IOP Publishing: Bristol, UK, 2017. [Google Scholar]
- Hoy, M.; Horpibulsuk, S.; Arulrajah, A.; Mohajerani, A. Strength and microstructural study of recycled asphalt pavement: Slag geopolymer as a pavement base material. J. Mater. Civ. Eng. 2018, 30, 04018177. [Google Scholar] [CrossRef]
- Hoy, M.; Horpibulsuk, S.; Arulrajah, A. Strength development of Recycled Asphalt Pavement—Fly ash geopolymer as a road construction material. Constr. Build. Mater. 2016, 117, 209–219. [Google Scholar] [CrossRef]
- Maghool, F.; Senanayake, M.; Arulrajah, A.; Horpibulsuk, S. Permanent Deformation and Rutting Resistance of Demolition Waste Triple Blends in Unbound Pavement Applications. Materials 2021, 14, 798. [Google Scholar] [CrossRef] [PubMed]
- Yaowarat, T.; Horpibulsuk, S.; Arulrajah, A.; Maghool, F.; Mirzababaei, M.; Rashid, A.S.A.; Chinkulkijniwat, A. Cement stabilisation of recycled concrete aggregate modified with polyvinyl alcohol. Int. J. Pavement Eng. 2020, 1–9. [Google Scholar] [CrossRef]
- Yaowarat, T.; Horpibulsuk, S.; Arulrajah, A.; Mohammadinia, A.; Chinkulkijniwat, A. Recycled concrete aggregate modified with polyvinyl alcohol and fly ash for concrete pavement applications. J. Mater. Civ. Eng. 2019, 31, 04019103. [Google Scholar] [CrossRef]
- Arulrajah, A.; Horpibulsuk, S.; Maghoolpilehrood, F.; Samingthong, W.; Du, Y.-J.; Shen, S.-L. Evaluation of interface shear strength properties of geogrid reinforced foamed recycled glass using a large-scale direct shear testing apparatus. Adv. Mater. Sci. Eng. 2015, 2015, 235424. [Google Scholar] [CrossRef] [Green Version]
- Arulrajah, A.; Kua, T.-A.; Horpibulsuk, S.; Mirzababaei, M.; Chinkulkijniwat, A. Recycled glass as a supplementary filler material in spent coffee grounds geopolymers. Constr. Build. Mater. 2017, 151, 18–27. [Google Scholar] [CrossRef]
- Naeini, M.; Mohammadinia, A.; Arulrajah, A.; Horpibulsuk, S. Recycled Glass Blends with Recycled Concrete Aggregates in Sustainable Railway Geotechnics. Sustainability 2021, 13, 2463. [Google Scholar] [CrossRef]
- Hoy, M.; Horpibulsuk, S.; Rachan, R.; Chinkulkijniwat, A.; Arulrajah, A. Recycled asphalt pavement—Fly ash geopolymers as a sustainable pavement base material: Strength and toxic leaching investigations. Sci. Total Environ. 2016, 573, 19–26. [Google Scholar] [CrossRef]
- Yeheyis, M.; Hewage, K.; Alam, M.S.; Eskicioglu, C.; Sadiq, R. An overview of construction and demolition waste management in Canada: A lifecycle analysis approach to sustainability. Clean Technol. Environ. Policy 2013, 15, 81–91. [Google Scholar] [CrossRef]
- Arulrajah, A.; Rahman, M.; Piratheepan, J.; Bo, M.; Imteaz, M. Interface shear strength testing of geogrid-reinforced construction and demolition materials. Adv. Civ. Eng. Mater. 2013, 2, 189–200. [Google Scholar] [CrossRef]
- Suddeepong, A.; Sari, N.; Horpibulsuk, S.; Chinkulkijniwat, A.; Arulrajah, A. Interface shear behaviours between recycled concrete aggregate and geogrids for pavement applications. Int. J. Pavement Eng. 2020, 21, 228–235. [Google Scholar] [CrossRef]
- Han, J.; Thakur, J.K. Use of geosynthetics to stabilize recycled aggregates in roadway construction. In Proceedings of the ICSDEC 2012: Developing the Frontier of Sustainable Design Engineering, and Construction, Fort Worth, TX, USA, 7–9 November 2012; pp. 473–480. [Google Scholar]
- Han, J.; Thakur, J.K. Sustainable roadway construction using recycled aggregates with geosynthetics. Sustain. Cities Soc. 2015, 14, 342–350. [Google Scholar] [CrossRef]
- Vieira, C.; Pereira, P. Interface shear properties of geosynthetics and construction and demolition waste from large-scale direct shear tests. Geosynth. Int. 2016, 23, 62–70. [Google Scholar] [CrossRef]
- Vieira, C.S.; Pereira, P.M. Short-term tensile behaviour of three geosynthetics after exposure to Recycled Construction and Demolition materials. Constr. Build. Mater. 2021, 273, 122031. [Google Scholar] [CrossRef]
- Suddeepong, A.; Hoy, M.; Nuntasena, C.; Horpibulsuk, S.; Kantatham, K.; Arulrajah, A. Evaluation of interface shear strength of satural kenaf geogrid and recycled concrete aggregate for sustainable pavement applications. J. Nat. Fibers 2021. [Google Scholar] [CrossRef]
- DOH. Standard No. DH-S 201/2544, Standard of Crusher Rock Base; Department of Highways: Bangkok, Thailand, 2001.
- ASTM-D6637. Standard Test Method for Determining Tensile Properties of Geogrids by the Single or Multi-Rib Tensile Method; ASTM International: West Conshohocken, PA, USA, 2015. [Google Scholar]
- ASTM-D5321. D5321M-20, Standard Test Method for Determining the Shear Strength of Soil-Geosynthetic and Geosynthetic-Geosynthetic Interfaces by Direct Shear; ASTM International: West Conshohocken, PA, USA, 2020. [Google Scholar]
- Disfani, M.M.; Arulrajah, A.; Bo, M.W.; Hankour, R. Recycled crushed glass in road work applications. Waste Manag. 2011, 31, 2341–2351. [Google Scholar] [CrossRef]
- Liu, X.; Scarpas, A.; Blaauwendraad, J.; Genske, D.D. Geogrid Reinforcing of Recycled Aggregate Materials for Road Construction: Finite Element Investigation. Transp. Res. Rec. 1998, 1611, 78–85. [Google Scholar] [CrossRef]
- Horpibulsuk, S.; Niramitkornburee, A. Pullout Resistance of Bearing Reinforcement Embedded in Sand. Soils Found. 2010, 50, 215–226. [Google Scholar] [CrossRef] [Green Version]
- Sukmak, G.; Sukmak, P.; Joongklang, A.; Udomchai, A.; Horpibulsuk, S.; Arulrajah, A.; Yeanyong, C. Predicting Pullout Resistance of Bearing Reinforcement Embedded in Cohesive-Frictional Soils. J. Mater. Civ. Eng. 2020, 32, 04019379. [Google Scholar] [CrossRef]
- Indraratna, B.; Karimullah Hussaini, S.; Vinod, J. On The Shear Behavior of Ballast-Geosynthetic Interfaces. Geotech. Test. J. 2012, 35, 305–312. [Google Scholar] [CrossRef]
- Liu, C.-N.; Ho, Y.-H.; Huang, J.-W. Large scale direct shear tests of soil/PET-yarn geogrid interfaces. Geotext. Geomembr. 2009, 27, 19–30. [Google Scholar] [CrossRef]
- Han, B.; Ling, J.; Shu, X.; Gong, H.; Huang, B. Laboratory investigation of particle size effects on the shear behavior of aggregate-geogrid interface. Constr. Build. Mater. 2018, 158, 1015–1025. [Google Scholar] [CrossRef]
- Arulrajah, A.; Rahman, M.A.; Piratheepan, J.; Bo, M.W.; Imteaz, M.A. Evaluation of interface shear strength properties of geogrid-reinforced construction and demolition materials using a modified large-scale direct shear testing apparatus. J. Mater. Civ. Eng. 2014, 26, 974–982. [Google Scholar] [CrossRef]
- Soleimanbeigi, A.; Likos, W. Mechanical Properties of Recycled Concrete Aggregate and Recycled Asphalt Pavement Reinforced with Geosynthetics. In Geo-Congress 2019: Earth Retaining Structures and Geosynthetics; American Society of Civil Engineers: Reston, VA, USA, 2019; pp. 284–292. [Google Scholar]
- Pasetto, M.; Pasquini, E.; Giacomello, G.; Baliello, A. Innovative composite materials as reinforcing interlayer systems for asphalt pavements: An experimental study. Road Mater. Pavement Des. 2019, 20 (Suppl. 2), S617–S631. [Google Scholar] [CrossRef]














| Parameter | Recycled Asphalt Pavement (RAP) | |
|---|---|---|
| Large Sized | Small Sized | |
| Bulk specific gravity | 2.6 | 2.6 |
| Soil classification (USCS) | GP | GW |
| Average particle size (mm) | 17 | 3.7 |
| Optimum water content (%) | 13.70 | 13.80 |
| Maximum dry unit weight (kN/m3) | 19.56 | 19.48 |
| California bearing ratio (%) | 20 | 20 |
| Internal friction angle (degree) | 56.99 | 54.81 |
| Cohesion (kPa) | 53.68 | 56.98 |
| RAP Sample | Reinforcement | Normal Stress (kPa) |
|---|---|---|
| Large size | No reinforcement | 50, 100, 200 |
| RAP + 7 × 7 mm geogrid | 50, 100, 200 | |
| RAP + 21 × 21 mm geogrid | 50, 100, 200 | |
| Small size | No reinforcement | 50, 100, 200 |
| RAP + 7 × 7 mm geogrid | 50, 100, 200 | |
| RAP + 21 × 21 mm geogrid | 50, 100, 200 |
Publisher’s Note: MDPI stays neutral with regard to jurisdictional claims in published maps and institutional affiliations. |
© 2021 by the authors. Licensee MDPI, Basel, Switzerland. This article is an open access article distributed under the terms and conditions of the Creative Commons Attribution (CC BY) license (https://creativecommons.org/licenses/by/4.0/).
Share and Cite
Udomchai, A.; Hoy, M.; Suddeepong, A.; Phuangsombat, A.; Horpibulsuk, S.; Arulrajah, A.; Thanh, N.C. Generalized Interface Shear Strength Equation for Recycled Materials Reinforced with Geogrids. Sustainability 2021, 13, 9446. https://doi.org/10.3390/su13169446
Udomchai A, Hoy M, Suddeepong A, Phuangsombat A, Horpibulsuk S, Arulrajah A, Thanh NC. Generalized Interface Shear Strength Equation for Recycled Materials Reinforced with Geogrids. Sustainability. 2021; 13(16):9446. https://doi.org/10.3390/su13169446
Chicago/Turabian StyleUdomchai, Artit, Menglim Hoy, Apichat Suddeepong, Amornrit Phuangsombat, Suksun Horpibulsuk, Arul Arulrajah, and Nguyen Chi Thanh. 2021. "Generalized Interface Shear Strength Equation for Recycled Materials Reinforced with Geogrids" Sustainability 13, no. 16: 9446. https://doi.org/10.3390/su13169446
APA StyleUdomchai, A., Hoy, M., Suddeepong, A., Phuangsombat, A., Horpibulsuk, S., Arulrajah, A., & Thanh, N. C. (2021). Generalized Interface Shear Strength Equation for Recycled Materials Reinforced with Geogrids. Sustainability, 13(16), 9446. https://doi.org/10.3390/su13169446

