On the Capability of the Epigeous Organs of Phragmites australis to Act as Metal Accumulators in Biomonitoring Studies
Abstract
:1. Introduction
2. Materials and Methods
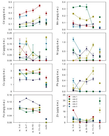
3. Results and Discussion
4. Conclusions
Author Contributions
Funding
Data Availability Statement
Acknowledgments
Conflicts of Interest
References
- Eid, E.M.; Shaltout, K.H.; Al-Sodany, Y.M.; Haroun, S.A.; Galal, T.M.; Ayed, H.; Khedher, K.M.; Jensen, K. Common reed (Phragmites australis (Cav.) Trin. ex Steudel) as a candidate for predicting heavy metal contamination in Lake Burullus, Egypt: A biomonitoring approach. Ecol. Eng. 2020, 148, 105787. [Google Scholar] [CrossRef]
- Bonanno, G. Comparative performance of trace element bioaccumulation and biomonitoring in the plant species Typha domingensis, Phragmites australis and Arundo donax. Ecotox. Environ. Saf. 2013, 97, 124–130. [Google Scholar] [CrossRef] [PubMed]
- Bonanno, G.; Pavone, P. Leaves of Phragmites australis as potential atmospheric biomonitors of Platinum Group Elements. Ecotox. Environ. Saf. 2015, 114, 31–37. [Google Scholar] [CrossRef]
- Baldantoni, D.; Alfani, A. Usefulness of different vascular plant species for passive biomonitoring of Mediterranean rivers. Environ. Sci. Pollut. Res. 2016, 23, 13907–13917. [Google Scholar] [CrossRef] [PubMed]
- Baldantoni, D.; Bellino, A.; Lofrano, G.; Libralato, G.; Pucci, L.; Carotenuto, M. Biomonitoring of nutrient and toxic element concentrations in the Sarno River through aquatic plants. Ecotox. Environ. Saf. 2018, 148, 520–527. [Google Scholar] [CrossRef]
- Bellino, A.; Alfani, A.; de Riso, L.; Gregorio, R.; Pellegrino, T.; Baldantoni, D. Long-established and new active biomonitors jointly reveal potentially toxic element gradients across spatial scales in freshwater ecosystems. Ecol. Indic. 2020, 118, 106742. [Google Scholar] [CrossRef]
- Bellino, A.; Alfani, A.; de Riso, L.; Gregorio, R.; Pellegrino, T.; Baldantoni, D. A promising cosmopolitan biomonitor of potentially toxic elements in freshwater ecosystems: Concentration gradients in sensitive areas. Ecol. Indic. 2020, 109, 105801. [Google Scholar] [CrossRef]
- Baldantoni, D.; Maisto, G.; Bartoli, G.; Alfani, A. Analyses of three native aquatic plant species to assess spatial gradients of lake trace element contamination. Aquat. Bot. 2005, 83, 48–60. [Google Scholar] [CrossRef]
- Bonanno, G. Trace element accumulation and distribution in the organs of Phragmites australis (common reed) and biomonitoring applications. Ecotox. Environ. Saf. 2011, 74, 1057–1064. [Google Scholar] [CrossRef] [PubMed]
- Bonanno, G. Arundo donax as a potential biomonitor of trace element contamination in water and sediment. Ecotox. Environ. Saf. 2012, 80, 20–27. [Google Scholar] [CrossRef]
- Favas, P.J.C.; Pratas, J.; Prasad, M.N.V. Accumulation of arsenic by aquatic plants in large-scale field conditions: Opportunities for phytoremediation and bioindication. Sci. Total Environ. 2012, 433, 390–397. [Google Scholar] [CrossRef]
- Bonanno, G.; Lo Giudice, R. Heavy metal bioaccumulation by the organs of Phragmites australis (common reed) and their potential use as contamination indicators. Ecol. Indic. 2010, 10, 639–645. [Google Scholar] [CrossRef]
- Ciszewski, D.; Aleksander-Kwaterczak, U.; Pociecha, A.; Szarek-Gwiazda, E.; Waloszek, A.; Wilk-Woźniak, E. Small effects of a large sediment contamination with heavy metals on aquatic organisms in the vicinity of an abandoned lead and zinc mine. Environ. Monit. Assess. 2013, 185, 9825–9842. [Google Scholar] [CrossRef] [Green Version]
- Baldantoni, D.; Alfani, A.; Di Tommasi, P.; Bartoli, G.; Virzo de Santo, A. Assessment of macro and microelement accumulation capability of two aquatic plants. Environ. Pollut. 2004, 130, 149–156. [Google Scholar] [CrossRef] [PubMed]
- Windham, L.; Weis, J.S.; Weis, P. Lead uptake, distribution, and effects in two dominant salt marsh macrophytes, Spartina alterniflora (cordgrass) and Phragmites australis (common reed). Mar. Pollut. Bull. 2001, 42, 811–816. [Google Scholar] [CrossRef]
- Weis, J.S.; Windham, L.; Weis, P. Patterns of metal accumulation in leaves of the tidal marsh plants Spartina alterniflora Loisel and Phragmites australis Cav. Trin ex Steud. over the growing season. Wetlands 2003, 23, 459–465. [Google Scholar] [CrossRef]
- Baldantoni, D.; Ligrone, R.; Alfani, A. Macro- and trace-element concentrations in leaves and roots of Phragmites australis in a volcanic lake in Southern Italy. J. Geochem. Explor. 2009, 101, 166–174. [Google Scholar] [CrossRef]
- R Core Team. R: A Language and Environment for Statistical Computing; R Foundation for Statistical Computing: Vienna, Austria, 2020; Available online: https://www.R-project.org/. (accessed on 9 June 2021).
- Oksanen, J.; Blanchet, F.G.; Friendly, M.; Kindt, R.; Legendre, P.; McGlinn, D.; Minchin, P.R.; O’Hara, R.B.; Simpson, G.L.; Solymos, P.; et al. Vegan: Community Ecology Package. R Package Version 2.5-7. Available online: https://CRAN.R-project.org/package=vegan (accessed on 9 June 2021).
- Bates, D.; Maechler, M.; Bolker, B.; Walker, S. Fitting linear mixed-effects models using lme4. J. Stat. Softw. 2015, 67, 1–48. [Google Scholar] [CrossRef]
- Kuznetsova, A.; Brockhoff, P.B.; Christensen, R.H.B. lmerTest package: Tests in linear mixed effects models. J. Stat. Softw. 2017, 82, 1–26. [Google Scholar] [CrossRef] [Green Version]
- Lenth, R.V. Emmeans: Estimated Marginal Means, Aka Least-Squares Means. R Package Version 1.6.0. Available online: https://CRAN.R-project.org/package=emmeans. (accessed on 9 June 2021).
- Allen, S.E. Chemical Analysis of Ecological Material, 2nd ed.; Blackwell Scientific Publications: Oxford, UK, 1989. [Google Scholar]
- Kabata-Pendias, A. Trace Elements in Soils and Plants, 3rd ed.; CRC Press: Boca Raton, FL, USA, 2001. [Google Scholar]
- Clemens, S.; Plamgren, M.G.; Krämer, U. A long way ahead: Understanding and engineering plant metal accumulation. Trends Plant. Sci. 2002, 7, 309–315. [Google Scholar] [CrossRef]
- Baldantoni, D.; Cicatelli, A.; Bellino, A.; Castiglione, S. Different behaviours in phytoremediation capacity of two heavy metal tolerant poplar clones in relation to iron and other trace elements. J. Environ. Manag. 2014, 146, 94–99. [Google Scholar] [CrossRef]
- Carranza-Álvarez, C.; Alonso-Castro, A.J.; Alfaro-de la Torre, M.C.; García-de la Cruz, R.F. Accumulation and distribution of heavy metals in Scirpus americanus and Typha latifolia from an artificial lagoon in San Luis Potosí, México. Water Air Soil Pollut. 2008, 188, 297–309. [Google Scholar] [CrossRef]
- Alejandro, S.; Höller, S.; Meier, B.; Peiter, E. Manganese in plants: From acquisition to subcellular allocation. Front. Plant. Sci. 2020, 11, 300. [Google Scholar] [CrossRef] [Green Version]
- Vlamis, J.; Williams, D.E. Iron and manganese relations in rice and barley. Plant Soil 1964, 20, 221–231. [Google Scholar] [CrossRef]
- Yamaji, N.; Sasaki, A.; Xia, J.X.; Yokosho, K.; Ma, J.F. A node-based switch for preferential distribution of manganese in rice. Nat. Commun. 2013, 4, 2442. [Google Scholar] [CrossRef]
- Silva Linhares, D.P.; Ventura Garcia, P.; dos Santos Rodrigues, A. Trace elements in volcanic environments and human health effects. In Trace Metals in the Environment—New Approaches and Recent Advances; Murillo-Tovar, M.A., Saldarriaga-Noreña, H., Saeid, A., Eds.; IntechOpen: London, UK, 2020. [Google Scholar]
- Divan, A.M., Jr.; de Oliveira, P.L.; Perry, C.T.; Atz, V.L.; Azzarini-Rostirola, L.N.; Raya-Rodriguez, M.T. Using wild plant species as indicators for the accumulation of emissions from a thermal power plant, Candiota, South Brazil. Ecol. Indic. 2009, 9, 1156–1162. [Google Scholar] [CrossRef]
- Hernández, L.E.; Lozano, E.; Gárate, A.; Carpena, R. Influence of cadmium on the uptake, tissue accumulation and subcellular distribution of manganese in pea seedlings. Plant. Sci. 1998, 132, 139–151. [Google Scholar] [CrossRef]
- Foyer, C.H.; Lelandais, M.; Kunert, K.J. Photooxidative stress in plants. Physiol. Plantarum 1994, 92, 696–717. [Google Scholar] [CrossRef]
- Kandziora-Ciupa, M.; Nadgórska-Socha, A.; Barczyk, G.; Ciepał, R. Bioaccumulation of heavy metals and ecophysiological responses to heavy metal stress in selected populations of Vaccinium myrtillus L. and Vaccinium vitis-idaea L. Ecotoxicology 2017, 26, 966–980. [Google Scholar] [CrossRef]




| Metal | LMM | w. 1–4 | w. 5–7 | w. 8–10 | w. 11–13 | Culm |
|---|---|---|---|---|---|---|
| Cd | 16.477 *** | 0.144 c | 0.173 bc | 0.185 b | 0.248 a | 0.159 bc |
| Cr | 2.6985 * | 0.077 a | 0.083 a | 0.044 a | 0.041 a | 0.095 a |
| Cu | 64.238 *** | 2.59 a | 2.41 a | 2.46 a | 2.58 a | 1.19 b |
| Fe | 121.15 *** | 90.7 a | 88.0 a | 84.7 a | 79.7 a | 12.0 b |
| Mn | 6.6011 *** | 151.3 a | 132.0 a | 126.3 ab | 64.6 b | 72.0 b |
| Ni | 2.6809 * | 0.428 a | 0.185 b | 0.301 ab | 0.391 ab | 0.302 ab |
| Pb | 5.3702 *** | 0.129 b | 0.099 b | 0.208 ab | 0.309 a | 0.060 b |
| Zn | 5.0058 ** | 8.20 ab | 2.80 b | 1.38 b | 4.80 ab | 12.13 a |
Publisher’s Note: MDPI stays neutral with regard to jurisdictional claims in published maps and institutional affiliations. |
© 2021 by the authors. Licensee MDPI, Basel, Switzerland. This article is an open access article distributed under the terms and conditions of the Creative Commons Attribution (CC BY) license (https://creativecommons.org/licenses/by/4.0/).
Share and Cite
Baldantoni, D.; Bellino, A. On the Capability of the Epigeous Organs of Phragmites australis to Act as Metal Accumulators in Biomonitoring Studies. Sustainability 2021, 13, 7745. https://doi.org/10.3390/su13147745
Baldantoni D, Bellino A. On the Capability of the Epigeous Organs of Phragmites australis to Act as Metal Accumulators in Biomonitoring Studies. Sustainability. 2021; 13(14):7745. https://doi.org/10.3390/su13147745
Chicago/Turabian StyleBaldantoni, Daniela, and Alessandro Bellino. 2021. "On the Capability of the Epigeous Organs of Phragmites australis to Act as Metal Accumulators in Biomonitoring Studies" Sustainability 13, no. 14: 7745. https://doi.org/10.3390/su13147745
APA StyleBaldantoni, D., & Bellino, A. (2021). On the Capability of the Epigeous Organs of Phragmites australis to Act as Metal Accumulators in Biomonitoring Studies. Sustainability, 13(14), 7745. https://doi.org/10.3390/su13147745
