Evaluation of Co-Existence Options of Marine Renewable Energy Projects in Japan
Abstract
1. Introduction
1.1. Problem Definition
1.2. Case Study Sites
2. Materials and Methods
2.1. Data Collection
2.2. Data Analysis
2.2.1. DS-AHP Multi-Criteria Decision Making Model
2.2.2. Interpretation of DS-AHP Calculation
2.3. Option Identification and DS-AHP Decision Hierarchy
3. Results
3.1. Qualitative Multi-Criteria Analysis
3.2. Stakeholder Group-Wise Group Decision
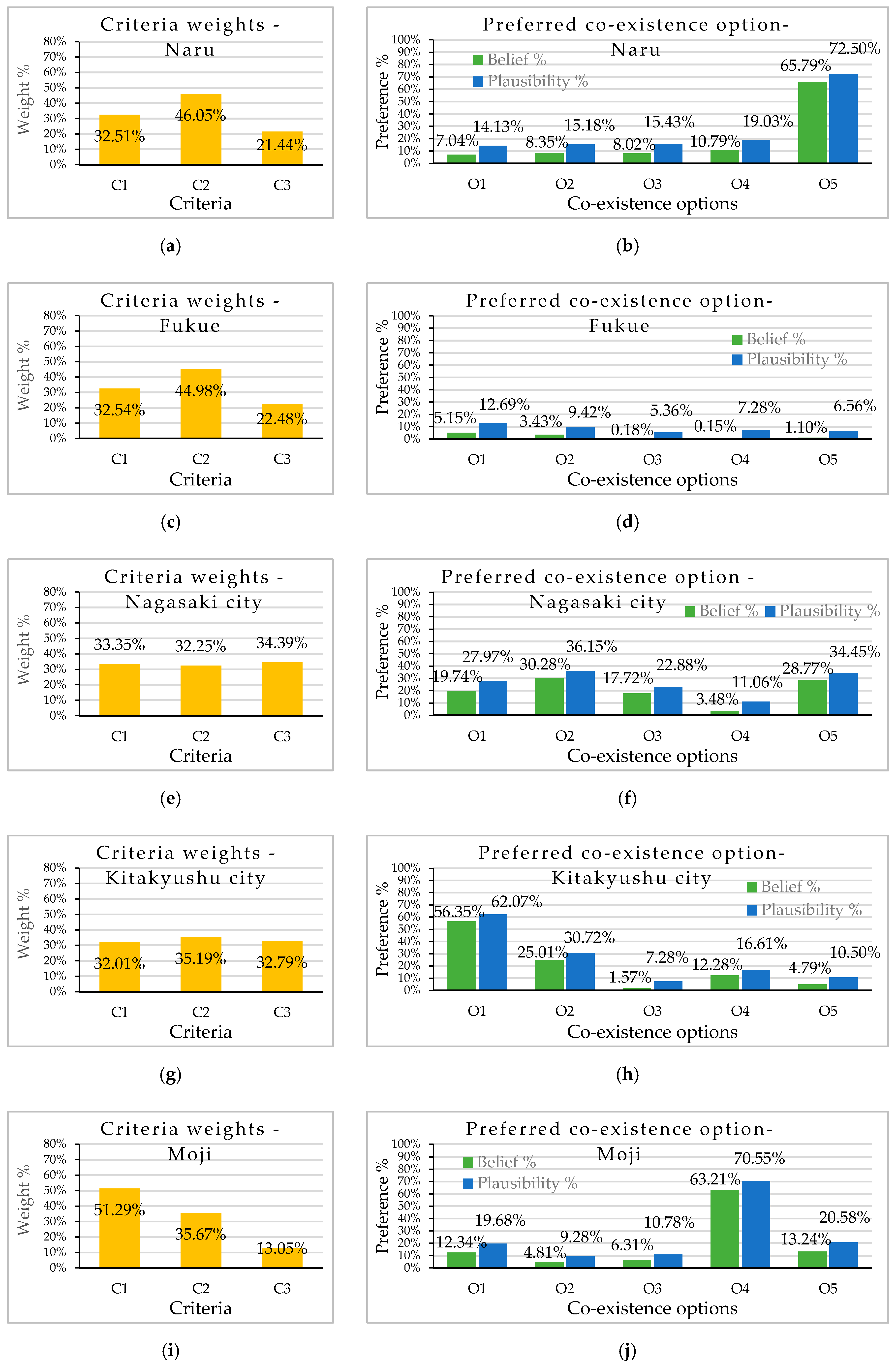
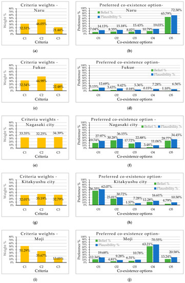
3.3. Geographical Area-Wise Group Decision
3.4. Fishers’ Preference According to Fishing Methods and Scale
4. Discussion
4.1. Nearshore vs. Offshore Projects
4.2. Different Technologies within MRE (Offshore Wind vs. Tidal Devices)
4.3. Knowledge, Perceptions and Values vs. Option Preference
4.4. Cost of Co-Existence Options vs. Monetary Compensation Schemes
5. Conclusions
Author Contributions
Funding
Acknowledgments
Conflicts of Interest
Abbreviations
| AHP | Analytic Hierarchy Process |
| BPA | Basic Probability Assignment |
| CMS | Condition Monitoring System (of the MRE power farm) |
| DST | Dempster Shafer Theory |
| DS-AHP | Dempster Shafer Analytic Hierarchy Process |
| EMEC | European Marine Energy Centre |
| GHG | Greenhouse Gas |
| LCOE | Levelized Cost Of Energy |
| MCA | Multi Criteria Analysis |
| MRE | Marine Renewable Energy |
| NaMICPA | Nagasaki Marine Industry Cluster Promotion Association |
| NPO | Non-Profit Organization |
| O&M | Operation and Maintenance |
| RIOE | Research Institute of Ocean Economics |
References
- Lewis, A.; Estefen, S.; Huckerby, J.; Musial, W.; Pontes, T.; Torres-Martinez, J. Ocean Energy. In IPCC Special Report on Renewable Energy Sources and Climate Change Mitigation; Edenhofer, O., Pichs-Madruga, R., Sokona, Y., Seyboth, K., Matschoss, P., Kadner, S., Zwickel, T., Eickemeier, P., Hansen, G., Schlömer, S., et al., Eds.; Cambridge University Press: Cambridge, UK; New York, NY, USA, 2011; pp. 497–534. Available online: https://www.ipcc.ch/site/assets/uploads/2018/03/Chapter-6-Ocean-Energy-1.pdf (accessed on 21 April 2019).
- Alistair, G.L. Borthwick, Marine Renewable Energy Seascape. Engineering 2016, 2, 69–78. [Google Scholar] [CrossRef]
- Soukissian, T.; Denaxa, D.; Karathanasi, F.; Prospathopoulos, A.; Sarantakos, K.; Iona, A.; Georgantas, K.; Mavrakos, S. Marine Renewable Energy in the Mediterranean Sea: Status and Perspectives. Energies 2017, 10, 1512. [Google Scholar] [CrossRef]
- Huckerby, J.; Jeffrey, H.; Sedgwick, J.; Jay, B.; Finlay, L. An International Vision for Ocean Energy—Version II. 2012. Available online: http://www.policyandinnovationedinburgh.org/uploads/3/1/4/1/31417803/oes_booklet_fa_print_08_10_2012.pdf (accessed on 21 April 2019).
- Appiott, J.; Dhanju, A.; Cicin-Sain, B. Encouraging renewable energy in the offshore environment. Ocean Coast. Manag. 2014, 90, 58–64. [Google Scholar] [CrossRef]
- IEA Wind, Expert Group Summary on Recommended Practices—Social Acceptance of Wind Energy Projects. 2013. Available online: http://www.socialacceptance.ch/images/RP_14_Social_Acceptance_FINAL.pdf (accessed on 21 April 2019).
- Wiersma, B.; Devine-Wright, P. Public engagement with offshore renewable energy: A critical review, Wiley Interdiscip. Rev. Clim. Chang. 2014, 5, 493–507. [Google Scholar] [CrossRef]
- Japan Wind Power Association. JWPA Report on Act on using marine areas for Marine Renewable Energy Projects; Japan Wind Power Association: Tokyo, Japan, 2019; Available online: http://jwpa.jp/page_276_englishsite/jwpa/detail_e.html (accessed on 21 April 2019).
- Prime Ministers Headquater for Ocean Policy in Japan, Outline of the Third Basic Plan on Ocean Policy, 2018. Available online: http://www8.cao.go.jp/ocean/english/plan/pdf/plan03_gaiyou_e.pdf (accessed on 21 April 2019).
- Firestone, J.; Kempton, W. Public opinion about large offshore wind power: Underlying factors. Energy Policy 2007, 35, 1584–1598. [Google Scholar] [CrossRef]
- Walker, B.J.A.; Wiersma, B.; Bailey, E. Community benefits, framing and the social acceptance of offshore wind farms: An experimental study in England. Energy Res. Soc. Sci. 2014, 3, 46–54. [Google Scholar] [CrossRef]
- Cass, N.; Walker, G.; Devine-Wright, P. Good neighbours, public relations and bribes: The politics and perceptions of community benefit provision in renewable energy development in the UK. J. Environ. Policy Plan. 2010, 12, 255–275. [Google Scholar] [CrossRef]
- Aitken, M. Wind power and community benefits: Challenges and opportunities. Energy Policy 2010, 38, 6066–6075. [Google Scholar] [CrossRef]
- Walker, B.J.A.; Russel, D.; Kurz, T. Community Benefits or Community Bribes? An Experimental Analysis of Strategies for Managing Community Perceptions of Bribery Surrounding the Siting of Renewable Energy Projects. Environ. Behav. 2017, 49, 59–83. [Google Scholar] [CrossRef]
- Reilly, K.; O’Hagan, A.M.; Dalton, G. Developing benefit schemes and financial compensation measures for fishermen impacted by marine renewable energy projects. Energy Policy 2016, 97, 161–170. [Google Scholar] [CrossRef]
- Yates, K.L.; Schoeman, D.S. Spatial Access Priority Mapping (SAPM) with Fishers: A Quantitative GIS Method for Participatory Planning. PLoS ONE 2013, 8. [Google Scholar] [CrossRef]
- RIOE (Research Institute for Ocean Economics—Japan). Recommendations on Consensus Building with Fishery Cooperatives for Offshore Wind Power Projects; RIOE: Chiba, Japan, 2013; Available online: http://www.rioe.or.jp/0510teigen.pdf (accessed on 21 April 2019).
- Goto City Office, Goto Ocean Energy, (n.d.) 1–15. Available online: https://www.env.go.jp/nature/biodic/coralreefs/iccccrc2013/pdf/year2013630/section2/noguchi.pdf (accessed on 21 April 2019).
- Nagasaki Marine Industry Cluster Promotion Association (NaMICPA), (n.d.). Available online: http://namicpa.jp/ (accessed on 7 August 2018).
- Japan Wind Power Association. Offshore Wind Power Development in Japan; Japan Wind Power Association: Tokyo, Japan, 2017; 28p, Available online: http://jwpa.jp/pdf/20170228_OffshoreWindPower_inJapan_r1.pdf (accessed on 21 April 2019).
- Waldman, S.; Yamaguchi, S.; Murray, R.O.; Woolf, D. Tidal resource and interactions between multiple channels in the Goto Islands, Japan. Int. J. Mar. Energy 2017, 19, 332–334. [Google Scholar] [CrossRef]
- New Energy and Industrial Technology Development Organisation (NEDO). NEDO Offshore Wind Energy Progress, 2nd ed.; NEDO: Kawasaki City, Japan, 2013; 24p, Available online: http://www.nedo.go.jp/content/100534312.pdf?from=b (accessed on 21 April 2019).
- Hibiki Wind Energy Co. Ltd. Hibiki Wind Energy; Hibiki Wind Energy Co. Ltd.: Kyushu, Japan, 2018; 4p, Available online: http://hibikiwindenergy.co.jp/pdf/hwe_english.pdf (accessed on 21 April 2019).
- Saaty, R.W. The analytic hierarchy process—What it is and how it is used. Math. Model. 1987, 9, 161–176. [Google Scholar] [CrossRef]
- Saaty, T.L. How to make a decision: The analytic hierarchy process. Eur. J. Oper. Res. 1990, 48, 9–26. [Google Scholar] [CrossRef]
- Dempster, A. Upper and lower probabilities induced by a multi-valued mapping. Ann. Math. Stat. 1967, 38, 325–339. [Google Scholar] [CrossRef]
- Dempster, A. A Generalization of Bayesian Inference. J. R. Stat. Soc. Ser. B 1968, 30, 205–232. [Google Scholar] [CrossRef]
- Shafer, G. A Mathematical Theory of Evidence; Princeton University Press: Princeton, NJ, USA, 1976. [Google Scholar]
- Beynon, M.J.; Cosker, D.; Marshall, D. An expert system for multi-criteria decision making using Dempster Shafer theory. Expert Syst. Appl. 2001, 20, 357–367. [Google Scholar] [CrossRef]
- Beynon, M.J. DS/AHP method: A mathematical analysis, including an understanding of uncertainty. Eur. J. Oper. Res. 2002, 140, 148–164. [Google Scholar] [CrossRef]
- Beynon, M.J. A method of aggregation in DS/AHP for group decision-making with the non-equivalent importance of individuals in the group. Comput. Oper. Res. 2005, 32, 1881–1896. [Google Scholar] [CrossRef]
- Awasthi, A.; Chauhan, S.S. Using AHP and Dempster–Shafer theory for evaluating sustainable transport solutions. Environ. Model. Softw. 2011, 26, 787–796. [Google Scholar] [CrossRef]
- Kinoshita, K. Evaluation of Regional Characteristics of Wave Energy and Research of Mooring System. 2010. Available online: https://www.env.go.jp/earth/ondanka/cpttv_funds/pdf/prod20100301.pdf (accessed on 21 April 2019).
- Fischer, J.; Flemming, N. Operational Oceanography: Data Requirements Survey; EuroGOOS Publication No. 12; Southampton Oceanography Centre: Southampton, UK, 1999; ISBN 0-904175-36-7. Available online: https://www.academia.edu/21168082/The_EuroGOOS_data_requirements_survey (accessed on 11 May 2019).
- Chiabai, A.; Nunes, P.A.L.D. Economic Valuation of Oceanographic Forecasting Services: A Cost-Benefit Exercise, 2006. Available online: http://www.feem.it/userfiles/attach/Publication/NDL2006/NDL2006-104.pdf (accessed on 21 April 2019).
- Francisco, F.; Sundberg, J. Detection of Visual Signatures of Marine Mammals and Fish within Marine Renewable Energy Farms using Multibeam Imaging Sonar. J. Mar. Sci. Eng. 2019, 7, 22. [Google Scholar] [CrossRef]
- Hooper, T.; Austen, M. The co-location of offshore windfarms and decapod fisheries in the UK: Constraints and opportunities. Mar. Policy 2014, 43, 295–300. [Google Scholar] [CrossRef]
- Hooper, T.; Ashley, M.; Austen, M. Perceptions of fishers and developers on the co-location of offshore wind farms and decapod fisheries in the UK. Mar. Policy 2015, 61, 16–22. [Google Scholar] [CrossRef]
- de Groot, J.; Campbell, M.; Ashley, M.; Rodwell, L. Investigating the co-existence of fisheries and offshore renewable energy in the UK: Identification of a mitigation agenda for fishing effort displacement. Ocean Coast. Manag. 2014, 102, 7–18. [Google Scholar] [CrossRef]
- Stelzenmüller, V.; Diekmann, R.; Bastardie, F.; Schulze, T.; Berkenhagen, J. Co-location of passive gear fisheries in offshore wind farms in the German EEZ of the North Sea: A first socio-economic scoping. J. Environ. Manag. 2016, 183, 794–805. [Google Scholar] [CrossRef]
- Blyth-Skyrme, R. Benefits and Disadvantages of Co-Locating Windfarms and Marine Conservation Zones; Report to Collaborative Offshore Wind Research into the Environment Ltd.: London, UK, 2010; p. 37. Available online: https://tethys.pnnl.gov/sites/default/files/publications/Blyth-Skyrme-2011.pdf (accessed on 21 April 2019).
- Gimpel, A.; Stelzenmuller, V.; Grote, B.; Buck, B.H.; Floeter, J.; Nunez-Riboni, I.; Pogoda, B.; Temming, A. A GIS modelling framework to evaluate marine spatial planning scenarios: Co-location of offshore wind farms and aquaculture in the German EEZ. Mar. Policy 2015, 55, 102–115. [Google Scholar] [CrossRef]
- Mackinson, S.; Curtis, H.; Brown, R.; Mctaggart, K.; Taylor, N.; Neville, S.; Rogers, S. A report on the perceptions of the fishing industry into the potential socio-economic impacts of offshore wind energy developments on their work patterns and income. Sci. Ser. Tech. Rep. Cefas Lowestoft 2006, 133, 99. Available online: https://tethys.pnnl.gov/sites/default/files/publications/Perceptions_of_the_Fishing_Industry_on_Offshore_Wind.pdf (accessed on 21 April 2019).
- Buck, B.H.; Krause, G.; Rosenthal, H. Extensive open ocean aquaculture development within wind farms in Germany: The prospect of offshore co-management and legal constraints. Ocean Coast. Manag. 2004, 47, 95–122. [Google Scholar] [CrossRef]
- Buck, B.H.; Langan, R. Aquaculture Perspective of Multi-Use Sites in the Open Ocean; Springer: Berlin, Germany, 2017. [Google Scholar] [CrossRef]
- Wang, L. Comparative Study of Wind Turbine Placement Methods for Flat Wind Farm Layout Optimization with Irregular Boundary. Appl. Sci. 2019, 9, 639. [Google Scholar] [CrossRef]
- Fayram, A.H.; de Risi, A. The potential compatibility of offshore wind power and fisheries: An example using bluefin tuna in the Adriatic Sea. Ocean Coast. Manag. 2007, 50, 597–605. [Google Scholar] [CrossRef]
- Westerberg, V.; Jacobsen, J.B.; Lifran, R. The case for offshore wind farms, artificial reefs and sustainable tourism in the French mediterranean. Tour. Manag. 2013, 34, 172–183. [Google Scholar] [CrossRef]
- RYA & CA. ‘Sharing the Wind’ Recreational Boating in the Offshore Wind Farm Strategic Areas, 2004. Available online: https://www.rya.org.uk/sitecollectiondocuments/legal/Web Documents/Environment/Sharing the Wind compressed.pdf (accessed on 21 April 2019).
- MAFF (Ministry of Agriculture Forestry and Fisheries). Japan, Promotion Project of Eco-Friendly Fishing Ports; MAFF: Tokyo, Japan, 2012. Available online: http://www.maff.go.jp/j/aid/hozyo/2012/suisan/pdf/80.pdf (accessed on 21 April 2019).
- Cascajo, R.; García, E.; Quiles, E.; Correcher, A.; Morant, F. Integration of Marine Wave Energy Converters into Seaports: A Case Study in the Port of Valencia. Energies 2019, 12, 787. [Google Scholar] [CrossRef]
- Clayton, M.; Stillwell, A.; Webber, M. Implementation of Brackish Groundwater Desalination Using Wind-Generated Electricity: A Case Study of the Energy-Water Nexus in Texas. Sustainability 2014, 6, 758–778. [Google Scholar] [CrossRef]
- FLOWW Fishing Liaison with Offshore Wind and Wet Renewables Group. Recommendations for Fisheries Liaison, 2008. Available online: https://webarchive.nationalarchives.gov.uk/+/http:/www.berr.gov.uk/files/file46366.pdf (accessed on 21 April 2019).
- Seyr, H.; Muskulus, M. Decision Support Models for Operations and Maintenance for Offshore Wind Farms: A Review. Appl. Sci. 2019, 9, 278. [Google Scholar] [CrossRef]
- Nachimuthu, S.; Zuo, M.J.; Ding, Y. A Decision-making Model for Corrective Maintenance of Offshore Wind Turbines Considering Uncertainties. Energies 2019, 12, 1408. [Google Scholar] [CrossRef]
- OES—IEA. International Levelised Cost of Energy for Ocean Energy Technologies, 2015. p. 35. Available online: http://www.ocean-energy-systems.org/news/international-lcoe-for-ocean-energy-technology/?source=newsletter (accessed on 21 April 2019).
- Gao, X.; Xia, L.; Lu, L.; Li, Y. Analysis of Hong Kong’s Wind Energy: Power Potential, Development Constraints, and Experiences from Other Countries for Local Wind Energy Promotion Strategies. Sustainability 2019, 11, 924. [Google Scholar] [CrossRef]
- Ishidoya, H. Studies on Kyucho Events and Disaster Prevention of Set Nets in Sagami Bay. Fish. Sci. 2002, 68, 1841–1844. [Google Scholar] [CrossRef][Green Version]
- Matsuyama, M.; Ishidoya, H.; Iwata, S.; Kitade, Y.; Nagamatsu, H. Kyucho induced by intrusion of Kuroshio water in Sagami Bay, Japan. Cont. Shelf Res. 1999, 19, 1561–1575. [Google Scholar] [CrossRef]
- Bidwell, D. Ocean beliefs and support for an offshore wind energy project. Ocean Coast. Manag. 2017, 146, 99–108. [Google Scholar] [CrossRef]
- Myhr, A.; Bjerkseter, C.; Ågotnes, A.; Nygaard, T.A. Levelised cost of energy for offshore floating wind turbines in a lifecycle perspective. Renew. Energy 2014, 66, 714–728. [Google Scholar] [CrossRef]
- Allan, G.; Gilmartin, M.; McGregor, P.; Swales, K. Levelised Costs of Wave and Tidal Energy in the UK: Cost Competitiveness and the Importance of “Banded” Renewables Obligation Certificates. Energy Policy 2011, 39, 23–39. [Google Scholar] [CrossRef]
- Astariz, S.; Vazquez, A.; Iglesias, G. Evaluation and comparison of the levelized cost of tidal, wave, and offshore wind energy. J. Renew. Sustain. Energy 2015, 7, 053112. [Google Scholar] [CrossRef]
- Lerch, M.; De-Prada-Gil, M.; Molins, C.; Benveniste, G. Sensitivity analysis on the levelized cost of energy for floating offshore wind farms. Sustain. Energy Technol. Assess. 2018, 30, 77–90. [Google Scholar] [CrossRef]
- Weller, S.; Thies, P.; Gordelier, T.; Johanning, L. Reducing Reliability Uncertainties for Marine Renewable Energy. J. Mar. Sci. Eng. 2015, 3, 1349–1361. [Google Scholar] [CrossRef]








| Stakeholder Group | Number of Respondents | ||
|---|---|---|---|
| Total | Nagasaki | Kitakyushu | |
| Local fishery 1 | 15 | 9 | 6 |
| Developers/Construction sector | 7 | 6 | 1 |
| Civil servants | 14 | 14 | - |
| Tourism and shipping industry | 2 | 1 | 1 |
| Health and welfare | 4 | 3 | 1 |
| Non-profit organizations (NPO), Service sector and others | 19 | 14 | 5 |
| Not indicated | 16 | 13 | 3 |
| 77 | 60 | 17 | |
| Selected Co-Existence Options | Options Proposed by Research Institute of Ocean Economics (RIOE), Japan [17] | Key Findings from Other Literature |
|---|---|---|
| O1. Providing real-time, in-situ ocean information from MRE farms | Providing marine information in real-time | Japanese marine users receive ocean information from satellite observations, buoys, and other user specific monitoring platforms [17,33]. Stakeholders have different oceanographic information demands [34]. Direct economic valuation and cost benefit analysis of ocean information is impractical [35]. Marine energy is mostly harvested in murky and high energetic places where conventional data acquisition techniques are impractical [36]. |
| O2. Using MRE structures as artificial reefs and support structures for commercial fishing | Use MRE structures as artificial reefs for Nurseries/Fishing | Constraints, opportunities, and perceptions of co-locating offshore wind farms and fisheries [37,38], mitigation agenda for fishing effort displacement [39]. |
| Using MRE structures to support fishery gears | Potential for co-location of passive gear fisheries with offshore wind [40]. Potential for and limitations of co-locating fisheries inside offshore wind farms [41]. | |
| O3. Co-location with other industries such as leisure, tourism, and aquaculture | Co-location with aquaculture facilities (e.g., Fish, Oyster, and Algae) | Co-locating offshore wind farms and aquaculture facilities [38,42,43,44,45]. Device placement has many other technical requirements [46] |
| Co-location with leisure facilities (e.g., diving, recreational fishing etc.) | Potential for limited entry recreational fishery in wind farms [47], snorkeling, tourism [48], angling, and yachting [43,49] | |
| O4. Sharing generated electricity for local users at a subsidized rate | Use of electricity generated to power fishery port facilities and electric boats | Proposal for using wind energy to power fishery ports [50], harbors [51], desalination plants [52]. |
| O5. Use of local resources to construct and operate the power plant creating business involvement opportunities | Project participation by using fishery boats for construction and maintenance of the power plant | Use of fishing vessels for offshore energy projects [53]. Availability of crew and vessels is an important factor influencing the planning and cost of maintenance of MRE. Laws and regulations also influence MRE operation and maintenance (O&M) [54,55]. |
| Project participation by providing investment opportunities in MRE business | Creating business investment opportunities as an acceptance improvement measure [56]. Local ownership or financial participation contribute to the acceptance of MRE projects [57]. |
| Co-Existence Option | Expected Impacts, Related Costs and Benefits, Risks and Limitations |
|---|---|
| O1. Providing real-time, in-situ ocean information from MRE farms |
|
| O2. Using MRE structures as artificial reefs and support structures for fishing |
|
| O3. Co-location with other industries such as leisure, tourism, and aquaculture |
|
| O4. Sharing generated electricity for local users at a subsidized rate |
|
| O5. Use of local resources to construct and operate the power plant creating business involvement opportunities |
|
| Key Criteria | Co-Existence Option | |||||
|---|---|---|---|---|---|---|
| O1. Providing Real-Time, In-Situ Oceanographic Information from MRE Farms | O2. Using MRE Structures as Artificial Reefs and as Fishery Support Structures | O3. Co-Location with Industries like Leisure, Tourism, and Aquaculture. | O4. Sharing Generated Electricity for Local Users at a Subsidized Rate | O5. Use of Local Resources to Create Business Involvement Opportunities | ||
| C1. Economic impacts | Project Co-benefits | ✓✓✓ | ✓✓ | ✓✓✓ | x | ✓✓✓ |
| Cost not proportional to the No. of beneficiaries | ✓✓✓ | x | ✓ | xx | ✓ | |
| Scalability | ✓✓✓ | - | - | x | ✓ | |
| C2. Environmental impacts | Marine environment | - | - | ✓ | - | ✓ |
| Emissions | ✓ | ✓✓ | - | ✓✓ | ✓ | |
| C3. Social impacts | Stakeholder engagement | ✓✓ | ✓✓ | ✓✓ | ✓✓✓ | ✓✓✓ |
| Stakeholder incentives | ✓✓ | ✓ | ✓ | ✓✓✓ | ✓✓ | |
| Equality | ✓✓ | - | ✓ | - | ✓ | |
| Main limitations | Lack of information sharing governance | Limited scalability and unequal cost benefit distribution | Uncertainty on economic feasibility with the adjustments required | Legal barriers and limiting number of beneficiaries | Limited local capacity | |
© 2019 by the author. Licensee MDPI, Basel, Switzerland. This article is an open access article distributed under the terms and conditions of the Creative Commons Attribution (CC BY) license (http://creativecommons.org/licenses/by/4.0/).
Share and Cite
Kularathna, A.H.T.S.; Suda, S.; Takagi, K.; Tabeta, S. Evaluation of Co-Existence Options of Marine Renewable Energy Projects in Japan. Sustainability 2019, 11, 2840. https://doi.org/10.3390/su11102840
Kularathna AHTS, Suda S, Takagi K, Tabeta S. Evaluation of Co-Existence Options of Marine Renewable Energy Projects in Japan. Sustainability. 2019; 11(10):2840. https://doi.org/10.3390/su11102840
Chicago/Turabian StyleKularathna, A.H.T. Shyam, Sayaka Suda, Ken Takagi, and Shigeru Tabeta. 2019. "Evaluation of Co-Existence Options of Marine Renewable Energy Projects in Japan" Sustainability 11, no. 10: 2840. https://doi.org/10.3390/su11102840
APA StyleKularathna, A. H. T. S., Suda, S., Takagi, K., & Tabeta, S. (2019). Evaluation of Co-Existence Options of Marine Renewable Energy Projects in Japan. Sustainability, 11(10), 2840. https://doi.org/10.3390/su11102840

