SARS-CoV-2 Persistent Viral Shedding in the Context of Hydroxychloroquine-Azithromycin Treatment
Abstract
:1. Introduction
2. Materials and Methods
2.1. Patients
2.2. Virology
2.3. Co-Pathogen Detection
2.4. Statistical Analysis
2.5. Ethics Statement
3. Results
3.1. Population Description
3.2. Care and Treatment
3.3. Viral Genotype Analysis
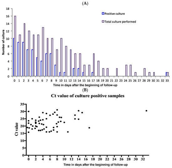
3.4. Viral Culture
4. Discussion
Supplementary Materials
Author Contributions
Funding
Institutional Review Board Statement
Informed Consent Statement
Data Availability Statement
Conflicts of Interest
References
- Zhu, N.; Zhang, D.; Wang, W.; Li, X.; Yang, B.; Song, J.; Zhao, X.; Huang, B.; Shi, W.; Lu, R.; et al. A Novel Coronavirus from Patients with Pneumonia in China, 2019. N. Engl. J. Med. 2020, 382, 727–733. [Google Scholar] [CrossRef]
- Lagier, J.-C.; Million, M.; Gautret, P.; Colson, P.; Cortaredona, S.; Giraud-Gatineau, A.; Honoré, S.; Gaubert, J.-Y.; Fournier, P.-E.; Tissot-Dupont, H.; et al. Outcomes of 3,737 COVID-19 patients treated with hydroxychloroquine/azithromycin and other regimens in Marseille, France: A retrospective analysis. Travel Med. Infect. Dis. 2020, 36, 101791. [Google Scholar] [CrossRef] [PubMed]
- La Scola, B.; Le Bideau, M.; Andreani, J.; Hoang, V.T.; Grimaldier, C.; Colson, P.; Gautret, P.; Raoult, D. Viral RNA load as determined by cell culture as a management tool for discharge of SARS-CoV-2 patients from infectious disease wards. Eur. J. Clin. Microbiol. Infect. Dis. 2020, 39, 1059–1061. [Google Scholar] [CrossRef]
- Jaafar, R.; Aherfi, S.; Wurtz, N.; Grimaldier, C.; Van Hoang, T.; Colson, P.; Raoult, D.; La Scola, B. Correlation Between 3790 Quantitative Polymerase Chain Reaction–Positives Samples and Positive Cell Cultures, Including 1941 Severe Acute Respiratory Syndrome Coronavirus 2 Isolates. Clin. Infect. Dis. 2020. [Google Scholar] [CrossRef]
- Fontana, L.M.; Villamagna, A.H.; Sikka, M.K.; McGregor, J.C. Understanding viral shedding of severe acute respiratory coronavirus virus 2 (SARS-CoV-2): Review of current literature. Infect. Control Hosp. Epidemiol. 2020, 1–10. [Google Scholar] [CrossRef] [PubMed]
- Cevik, M.; Tate, M.; Lloyd, O.; Maraolo, A.E.; Schafers, J.; Ho, A. SARS-CoV-2, SARS-CoV, and MERS-CoV viral load dynamics, duration of viral shedding, and infectiousness: A systematic review and meta-analysis. Lancet Microbe 2021, 2, e13–e22. [Google Scholar] [CrossRef]
- Amrane, S.; Tissot-Dupont, H.; Doudier, B.; Eldin, C.; Hocquart, M.; Mailhe, M.; Dudouet, P.; Ormières, E.; Ailhaud, L.; Parola, P.; et al. Rapid viral diagnosis and ambulatory management of suspected COVID-19 cases presenting at the infectious diseases referral hospital in Marseille, France,—January 31st to March 1st, 2020: A respiratory virus snapshot. Travel Med. Infect. Dis. 2020, 36, 101632. [Google Scholar] [CrossRef] [PubMed]
- Myrstad, M.; Ihle-Hansen, H.; Tveita, A.A.; Andersen, E.L.; Nygård, S.; Tveit, A.; Berge, T. National Early Warning Score 2 (NEWS2) on admission predicts severe disease and in-hospital mortality from Covid-19—A prospective cohort study. Scand. J. Trauma Resusc. Emerg. Med. 2020, 28, 1–8. [Google Scholar] [CrossRef] [PubMed]
- Gautret, P.; Lagier, J.C.; Parola, P.; Meddeb, L.; Mailhe, M.; Doudier, B.; Courjon, J.; Giordanengo, V.; Vieira, V.E.; Dupont, H.T.; et al. Hydroxychloroquine and azithromycin as a treatment of COVID-19: Results of an open-label non-randomized clinical trial. Int. J. Antimicrob. Agents 2020, 56, 105949. [Google Scholar] [CrossRef]
- Million, M.; Lagier, J.-C.; Gautret, P.; Colson, P.; Fournier, P.-E.; Amrane, S.; Hocquart, M.; Mailhe, M.; Esteves-Vieira, V.; Doudier, B.; et al. Early treatment of COVID-19 patients with hydroxychloroquine and azithromycin: A retrospective analysis of 1061 cases in Marseille, France. Travel Med. Infect. Dis. 2020, 35, 101738. [Google Scholar] [CrossRef]
- Levasseur, A.; Delerce, J.; Caputo, A.; Brechard, L.; Colson, P.; Lagier, J.-C.; Fournier, P.-E.; Raoult, D. Genomic diversity and evolution of coronavirus (SARS-CoV-2) in France from 309 COVID-19-infected patients. bioRxiv 2020, 39, 1059–1061. [Google Scholar]
- Zheng, Z.; Peng, F.; Xu, B.; Zhao, J.; Liu, H.; Peng, J.; Li, Q.; Jiang, C.; Zhou, Y.; Liu, S.; et al. Risk factors of critical & mortal COVID-19 cases: A systematic literature review and meta-analysis. J. Infect. 2020, 81, e16–e25. [Google Scholar] [CrossRef] [PubMed]
- Colson, P.; Levasseur, A.; Gautret, P.; Fenollar, F.; Hoang, V.T.; Delerce, J.; Bitam, I.; Saile, R.; Maaloum, M.; Padane, A.; et al. Introduction into the Marseille geographical area of a mild SARS-CoV-2 variant originating from sub-Saharan Africa: An investigational study. Travel Med. Infect. Dis. 2021, 40, 101980. [Google Scholar] [CrossRef]
- Widders, A.; Broom, A.; Broom, J. SARS-CoV-2: The viral shedding vs infectivity dilemma. Infect. Dis. Health 2020, 25, 210–215. [Google Scholar] [CrossRef]
- Chen, X.; Zhu, B.; Hong, W.; Zeng, J.; He, X.; Chen, J.; Zheng, H.; Qiu, S.; Deng, Y.; Chan, J.C.; et al. Associations of clinical characteristics and treatment regimens with the duration of viral RNA shedding in patients with COVID-19. Int. J. Infect. Dis. 2020, 98, 252–260. [Google Scholar] [CrossRef] [PubMed]
- Aydillo, T.; Gonzalez-Reiche, A.S.; Aslam, S.; van de Guchte, A.; Khan, Z.; Obla, A.; Dutta, J.; van Bakel, H.; Aberg, J.; García-Sastre, A.; et al. Shedding of Viable SARS-CoV-2 after Immunosuppressive Therapy for Cancer. N. Engl. J. Med. 2020, 383, 2586–2588. [Google Scholar] [CrossRef] [PubMed]
- Choi, B.; Choudhary, M.C.; Regan, J.; Sparks, J.A.; Padera, R.F.; Qiu, X.; Solomon, I.H.; Kuo, H.H.; Boucau, J.; Bowman, K.; et al. Persistence and Evolution of SARS-CoV-2 in an Immunocompromised Host. N. Engl. J. Med. 2020, 383, 2291–2293. [Google Scholar] [CrossRef] [PubMed]
- Kemp, S.A.; Collier, D.A.; Datir, R.; Ferreira, I.A.; Gayed, S.; Jahun, A.; Hosmillo, M.; Rees-Spear, C.; Mlcochova, P.; Lumb, I.U.; et al. Neutralising antibodies in Spike mediated SARS-CoV-2 adaptation. medRxiv 2020. [Google Scholar] [CrossRef]
- Baang, J.H.; Smith, C.; Mirabelli, C.; Valesano, A.L.; Manthei, D.M.; Bachman, M.A.; Wobus, C.E.; Adams, M.; Washer, L.; Martin, E.T.; et al. Prolonged Severe Acute Respiratory Syndrome Coronavirus 2 Replication in an Immunocompromised Patient. J. Infect. Dis. 2021, 223, 23–27. [Google Scholar] [CrossRef]
- Hensley, M.K.; Bain, W.G.; Jacobs, J.; Nambulli, S.; Parikh, U.; Cillo, A.; Staines, B.; Heaps, A.; Sobolewski, M.D.; Rennick, L.J.; et al. Intractable Coronavirus Disease 2019 (COVID-19) and Prolonged Severe Acute Respiratory Syndrome Coronavirus 2 (SARS-CoV-2) Replication in a Chimeric Antigen Receptor-Modified T-Cell Therapy Recipient: A Case Study. Clin. Infect. Dis. 2021. [Google Scholar] [CrossRef] [PubMed]
- Sepulcri, C.; Dentone, C.; Mikulska, M.; Bruzzone, B.; Lai, A.; Fenoglio, D.; Bozzano, F.; Bergna, A.; Parodi, A.; Altosole, T.; et al. The longest persistence of viable SARS-CoV-2 with recurrence of viremia and relapsing symptomatic COVID-19 in an immunocompromised patient—A case study. MedRxiv 2021. [Google Scholar] [CrossRef]
- Malsy, J.; Veletzky, L.; Heide, J.; Hennigs, A.; Gil-Ibanez, I.; Stein, A.; Lütgehetmann, M.; Rosien, U.; Jasper, D.; Peine, S.; et al. Sustained Response After Remdesivir and Convalescent Plasma Therapy in a B-Cell–Depleted Patient With Protracted Coronavirus Disease 2019 (COVID-19). Clin. Infect. Dis. 2020. [Google Scholar] [CrossRef] [PubMed]
- Devine, M.N.; Maxwell, S.; Haynes, A.S.; MacBrayne, C.E.; Boguniewicz, J. Management of an Immunocompromised Pediatric Patient With Multiple Hospitalizations for Symptomatic COVID-19. J. Pediatr. Hematol. 2020. [Google Scholar] [CrossRef]
- Helleberg, M.; Niemann, C.U.; Moestrup, K.S.; Kirk, O.; Lebech, A.-M.; Lane, C.; Lundgren, J. Persistent COVID-19 in an Immunocompromised Patient Temporarily Responsive to Two Courses of Remdesivir Therapy. J. Infect. Dis. 2020, 222, 1103–1107. [Google Scholar] [CrossRef]
- London, J.; Boutboul, D.; Lacombe, K.; Pirenne, F.; Heym, B.; Zeller, V.; Baudet, A.; Ouedrani, A.; Bérezné, A. Severe COVID-19 in Patients with B Cell Alymphocytosis and Response to Convalescent Plasma Therapy. J. Clin. Immunol. 2021, 41, 356–361. [Google Scholar] [CrossRef]
- Khatamzas, E.; Rehn, A.; Muenchhoff, M.; Hellmuth, J.; Gaitzsch, E.; Weiglein, T.; Georgi, E.; Scherer, C.; Stecher, S.; Weigert, O.; et al. Emergence of multiple SARS-CoV-2 mutations in an immunocompromised host. medRxiv 2021. [Google Scholar] [CrossRef]
- Avanzato, V.A.; Matson, M.J.; Seifert, S.N.; Pryce, R.; Williamson, B.N.; Anzick, S.L.; Barbian, K.; Judson, S.D.; Fischer, E.R.; Martens, C.; et al. Case Study: Prolonged Infectious SARS-CoV-2 Shedding from an Asymptomatic Immunocompromised Individual with Cancer. Cell 2020, 183, 1901–1912. [Google Scholar] [CrossRef]
- Nakajima, Y.; Ogai, A.; Furukawa, K.; Arai, R.; Anan, R.; Nakano, Y.; Kurihara, Y.; Shimizu, H.; Misaki, T.; Okabe, N. Prolonged viral shedding of SARS-CoV-2 in an immunocompromised patient. J. Infect. Chemother. 2021, 27, 387–389. [Google Scholar] [CrossRef]
- Hueso, T.; Pouderoux, C.; Péré, H.; Beaumont, A.L.; Raillon, L.A.; Ader, F.; Chatenoud, L.; Eshagh, D.; Szwebel, T.A.; Martinot, M.; et al. Convalescent plasma therapy for B-cell-depleted patients with protracted COVID-19. Blood 2020, 136, 2290–2295. [Google Scholar] [CrossRef] [PubMed]
- Tarhini, H.; Recoing, A.; Bridier-Nahmias, A.; Rahi, M.; Lambert, C.; Martres, P.; Lucet, J.-C.; Rioux, C.; Bouzid, D.; Lebourgeois, S.; et al. Long-Term Severe Acute Respiratory Syndrome Coronavirus 2 (SARS-CoV-2) Infectiousness Among Three Immunocompromised Patients: From Prolonged Viral Shedding to SARS-CoV-2 Superinfection. J. Infect. Dis. 2021. [Google Scholar] [CrossRef]
- Canarutto, D.; Del Barba, P.; Di Frenna, M.; Del Tedesco, F.; Pajno, R.; Guarneri, M.P.; Barera, G. Prolonged asymptomatic SARS-CoV-2 infection in a child receiving immunosuppressive therapy. Pediatr. Pulmonol. 2020, 55, 2504–2505. [Google Scholar] [CrossRef]
- Tzarnas, S.; Kramer, M.; Alberti, N.; Chan, V.; Alam Khan, M.A.; Madara, J. 181: Convalescent Plasma Therapy in a Refractory Case of COVID-19 in an Immunocompromised Patient. Crit. Care Med. 2021, 49, 76. [Google Scholar] [CrossRef]
- Pedro, N.; Silva, C.; Magalhães, A.; Cavadas, B.; Rocha, A.; Moreira, A.; Gomes, M.; Silva, D.; Sobrinho-Simões, J.; Ramos, A.; et al. Dynamics of a Dual SARS-CoV-2 Lineage Co-Infection on a Prolonged Viral Shedding COVID-19 Case: Insights into Clinical Severity and Disease Duration. Microorganisms 2021, 9, 300. [Google Scholar] [CrossRef] [PubMed]
- Wei, L.; Liu, B.; Zhao, Y.; Chen, Z. Prolonged shedding of SARS-CoV-2 in an elderly liver transplant patient infected by COVID-19: A case report. Ann. Palliat. Med. 2020, 9, 8. [Google Scholar] [CrossRef] [PubMed]
- Buckland, M.S.; Galloway, J.B.; Nic Fhogartaigh, C.; Meredith, L.; Provine, N.M.; Bloor, S.; Ogbe, A.; Zelek, W.M.; Smielewska, A.; Yakovleva, A.; et al. Treatment of COVID-19 with remdesivir in the absence of humoral immunity: A case report. Nat. Commun. 2020, 11, 1–11. [Google Scholar] [CrossRef]
- Fournier, P.E.; Colson, P.; Levasseur, A.; Gautret, P.; Luciani, L.; Bedotto, M.; Delerce, J.; Brechard, L.; Lagier, J.C.; Chaudet, H.; et al. Genome sequence analysis enabled deciphering the atypical evolution of COVID-19 in Marseille, France. MedRxiv 2021. [Google Scholar] [CrossRef]

| Age (years), Gender | Duration of Viral Shedding (days) | Cause of IMMUNODEPRESSION | Serology | NEWS-2 Score | Charlson (Probability of Death in the Following Year) | Treatment | Death (days), COVID-19-Imputable | Viral Genotype |
|---|---|---|---|---|---|---|---|---|
| 60, M | 24 | - | + | 5 | 2 (26%) | HCQ-AZ | - | N.a. |
| 41, M | 23 | - | + | 6 | 2 (26%) | HCQ-AZ | - | 20A |
| 21, M | 20 | - | N.a. | 2 | 0 (12%) | HCQ-AZ | - | 20C |
| 41, M | 20 | - | + | 0 | 1 (26%) | HCQ-AZ | - | 20A |
| 30, F | 18 | - | - | 3 | 0 (12%) | HCQ-AZ | - | N.a. |
| 43, M | 19 | - | N.a. | 4 | 1 (26%) | HCQ | - | N.a. |
| 37, M | 21 | - | + | 0 | 0 (12%) | HCQ-AZ | - | 20B |
| 37, F | 17 | - | + | 2 | 0 (12%) | HCQ-AZ | - | 20A/25563T/2416T/8371T |
| 74, M | 25 | - | N.a. | 9 | 8 (85%) | AZ | - | 20A |
| 63, M | 18 | - | - | 4 | 4 (52%) | HCQ-AZ | - | 20A |
| 61, F | 40 | - | + | 4 | 3 (52%) | HCQ-AZ | - | 20A |
| 81, M | 25 | - | - | 6 | 7 (85%) | AZ | - | N.a. |
| 47, F | 21 | - | + | 2 | 1 (26%) | HCQ-AZ | - | 20B |
| 93, F | 17 | - | N.a. | 4 | 7 (85%) | AZ | - | N.a. |
| 89, F | 20 | - | + | 8 | 5 (85%) | HCQ-AZ | 22, Yes | 20A |
| 28, F | 26 | - | + | 2 | 0 (12%) | HCQ-AZ | - | 20A |
| 56, F | 54 | - | + | 2 | 2 (26%) | HCQ-AZ | - | N.a. |
| 69, M | 31 | - | N.a. | 5 | 3 (52%) | HCQ-AZ | - | 20C |
| 71, M | 18 | - | + | 7 | 5 (85%) | No HCQ, No AZ | - | N.a. |
| 30, F | 21 | - | N.a. | 5 | 0 (12%) | HCQ-AZ | - | 20A/25563T/2416T/8371T |
| 52, F | 20 | - | + | 4 | 2 (26%) | HCQ-AZ | - | 20A |
| 88, F | 17 | - | + | 7 | 7 (85%) | AZ | - | 20A |
| 70, F | 17 | - | + | 8 | 6 (85%) | HCQ | 289, No | 20B |
| 82, M | 18 | - | N.a. | 4 | 7 (85%) | HCQ-AZ | - | N.a. |
| 43, F | 17 | - | + | 0 | 1 (26%) | HCQ | - | 20C |
| 69, M | 19 | - | N.a. | 6 | 3 (52%) | HCQ-AZ | - | 20A |
| 90, F | 25 | - | N.a. | 6 | 6 (85%) | HCQ-AZ | 51, Yes | 20A |
| 76, M | 23 | - | + | 11 | 5 (85%) | HCQ-AZ | - | N.a. |
| 89, M | 21 | - | N.a. | 12 | 7 (85%) | HCQ-AZ | - | 20C |
| 43, M | 19 | Lymphoma | + | 4 | 3 (52%) | HCQ-AZ | - | N.a. |
| 73, M | 19 | - | + | 8 | 7 (85%) | HCQ-AZ | 20, Yes | N.a. |
| 64, F | 22 | - | + | 2 | 3 (52%) | HCQ-AZ | - | N.a. |
| 34, F | 23 | - | - | 2 | 0 (12%) | HCQ-AZ | - | N.a. |
| 69, F | 25 | Kidney transplantation | - | 3 | 7 (85%) | HCQ-AZ | - | 20A |
| Short Viral Shedders | Persistent Viral Shedders | |||
|---|---|---|---|---|
| n = 2800 | n = 34 | |||
| Biological Data | N | Mean (std) | N | Mean (std) |
| Age (years) | 2800 | 44.2 (15.9) | 34 | 58.4 (20.9) |
| Lymphocytes (G/L) | 2358 | 1.44 (0.64) | 31 | 1.05 (0.47) * |
| Neutrophils (G/L) | 2285 | 3.37 (1.8) | 27 | 4.42 (2.6) |
| Neutrophils/lymphocytes | 2285 | 2.84 (3.19) | 27 | 4.71 (3.44) * |
| Eosinophils (G/L) | 2347 | 0.08 (0.09) | 31 | 0.04 (0.06) * |
| D dimers (µg/mL) | 457 | 0.99 (2.19) | 19 | 1.25 (1.01) * |
| Troponin (ng/L) | 246 | 9.99 (12.18) | 16 | 18.71 (18.79) * |
| CRP (mg/L) | 2130 | 16.31 (34.6) | 31 | 31 (48.09) * |
| All (n = 2378 *) | Beta 95% Confidence Interval | p-Value |
|---|---|---|
| Time between symptom onset and treatment onset (days) | −0.16 (−0.20; −0.13) | <0.0001 |
| NEWS-2 ≥ 5 | 0.78 (0.16;1.41) | 0.0139 |
| Symptoms of COVID-19 at day 0 (reference = none) | 1.37 (0.83;1.91) | <0.001 |
| Chronic heart disease (reference = none) | 1.01 (0.28;1.74) | 0.0065 |
| Eosinophils < 0.04 G/L (reference >0.04 G/L) | 0.83 (0.51;1.16) | <0.001 |
| Patients aged 65 and older (n = 294) | Beta 95% confidence interval | p-value |
| Time between symptom onset and treatment onset (days) | −0.29 (−0.45; −0.14) | 0.0002 |
| Other treatment (reference= HCQ + AZ ≥ 3 days) | 2.39 (0.90; 3.87) | 0.0016 |
| Reference | Gender, Age (Years) | Immunodepression Cause | Duration of Viral Shedding a | Remdesivir | Convalescent Plasma or anti-Spike Antibodies | Other Therapies(s) | Number of Amino Acid Substitutions/Deletions in the Genome and/or in the Spike Protein | Outcome |
|---|---|---|---|---|---|---|---|---|
| [17] | Male, 45 y.-o. | Severe antiphospholipid syndrome | 151 days | Days 0–4, 72–81, 105–109, 151–155 | ASA: day 143 | Glucocorticoids, cyclophosphamide, intermittent eculizumab and rituximab, ruxolitinib | 24 substitutions, 3 deletions (spike: 12 substitutions, 1 deletion) among which substitution N501Y present in variants 20I/501Y.V1, 20H/501Y.V2 and 20J/501Y.V3 b, and E484K present in variants 20H/501Y.V2 and 20J/501Y.V3 b | Death on day 154 |
| [18] | Not reported | Marginal B cell lymphoma (received B cell depletion therapy; hypogamma-globulinemia) | 101 days | Days 41-, 54-, 93- | CP: days 63, 65, 95 | - | Spike: 5 substitutions among which N501Y and deletion H69/V70 both present in 20I/501Y.V1 b | Not reported |
| [19] | Male, 60 y.-o. | Mantle cell lymphoma | 156 days | Days 30-, 122- | CP: days 33, 122 | CD20 bispecific antibody, second B-cell directed antibody, cyclophosphamide, doxorubicine, prednisone | 6 substitutions | Pursued home hospice care |
| [20] | Male, 75 y.-o. | Multiple myeloma | 71 days | Days 5-9 | CP: days 2, 58 | Dexamathasone (days 63–74) | Spike: 9 substitutions between days 4 and 67, including D215G present in 20H/501Y.V2 b, Y144 deletion present in 20I/501Y.V1 c, and N501T at a position mutated in variants 20I/501Y.V1, 20H/501Y.V2 and 20J/501Y.V3 b | Death on day 74 |
| [21] | Male, 60-70 y.-o. | Non-Hodgkin lymphoma | 268 days | Days 47-51, 77–86, 178–182, 205–209 | CP: day 88 | Darunavir/ritonavir, hydroxychlorquine, IV methylprednisolone, tocilizumbab, ceftaroline | 26 substitutions; spike: 7 including H69Y/P and V70G at positions mutated in variant 20I/501Y.V1 b | Death on day 271 |
| [22] | Female, 53 y.-o. | Follicular lymphoma | 85 days | Days 63–72, 80–84 | CP: day 85 c | - | No genome sequencing reported | |
| [23] | Female, 17 y.-o. | Pre-B-cell acute lymphoblastic leukemia | 100 days | Days 13–22, days 60–69 | CP: day 61 | Hydroxychloroquine for two days; methylprednisolone | No genome sequencing reported | qRT-PCR-positive on day 100; no supplemental oxygen |
| [24] | Male, 50-60 y.-o. | Chronic lymphocytic leukemia | 63 days | Days 23–33, days 45–55 | CP: day 58 | - | No genome sequencing reported | |
| [25] | Female, 41 y.-o. | Severe hypogammaglobulinemia | 75 days | No | CP: days 71, 72 | Prednisone | No genome sequencing reported | Discharge |
| [25] | Male, 65 y.-o. | Common variable immunodeficiency | 40 days | No | No | Lopinavir/ritonavir, broad-spectrum antibiotics | No genome sequencing reported | Death on day 40 |
| [26] | Female, 70-79 y.-o. | Follicular lymphoma | >134 days | No | CP: ≈days 45, 65, 95, 110, and 115 | Steroids | 24 substitutions, 2 deletions; spike: 3 substitutions including E484K present in variants 20H/501Y.V2 and 20J/501Y.V3 b; one deletion Y144 present in variant 20I/501Y.V1 c | Death on day 156 |
| [26] | Not reported | B-cell depleted lymphoma | 91 days | No | No | N.a. | At day 19 post-diagnosis: 2 substitutions | Recovery |
| [27] | Female, 71 y.-o. | Chronic lymphocytic leukemia, hypogammaglobulinemia | 105 days | No | CP: days 70, 80 | - | 6 substitutions and 1 deletion on day 49; spike: 2 substitutions; 3 additional substitutions (2 at day 70, 1 at day 85) and one additional deletion on day 70 in the spike | N.a. |
| [28] | Female, 47 y.-o. | Follicular lymphoma | 59 days | No | No | Obinutuzumab bimonthly, acyclovir, atovaquone, favipiravir, ciclesonide, lopinavir/ritonavir | No genome sequencing reported | Discharge on day 69 |
| [29] | Not reported, median (range), 58 y.-o. (35–77) | Hematological malignancies (n = 15); multiple sclerosis (1); common variable immune deficiency (1) | 17 patients (median duration = 56 days; max.= 83 days) | N = 3 | No | Anti-CD20 monoclonal antibodies (n = 15); steroids (8); hydroxychloroquine (n = 5); tocilizumab (n = 4); lopinavir/ritonavir (n = 2) | No genome sequencing reported | One death |
| [30] | Male, 66 y.-o. | HIV infection (CD4 cell count= 0/mm3) | 123 days | No | No | Multi-antiretroviral therapy | 1 substitution, in the spike | Neurological degradation |
| [30] | Male, 71 y.-o. | Heart transplantation, diabetes mellitus | 121 days | No | No | Prednisone, mycophenolic acid, belatacept | No occurrence of substitutions | N.a. |
| [30] | Male, 35 y.-o. | Rheumatoid arthritis | 84 days | No | No | Rituximab | Occurrence of 6 substitutions, 1 the spike | Improvement |
| [31] | Female, 5 y.-o. | Dermatomyositis | 35 days | No | No | Prednisolone | No genome sequencing reported | Resolution |
| [32] | Female, 60 y.-o. | Rheumatoid arthritis | >35 days | Day ≈30 | CP: Week 5 | Rituximab | No genome sequencing reported | Discharge |
| [33] | Female, 17 y.-o. | Previously healthy | 97 days | No | No | Hydroxychloroquine for 5 days | Coinfection with two SARS-CoV-2 lineages (20A, 20B) | N.a. |
| [34] | Male, 61 y.-o. | Liver transplant | Negative on days 35 and 39, then positive again on days 41 and 48 | No | No | Tacrolimus, lopinavir/ritonavir, amoxicillin, piperacillin sulbactam, Lianhua Qingwen | No genome sequencing reported | Discharge on day 55 |
| [35] | Male, 31 y.-o. | X-linked agamma- globulinaemia | 62 days (in sputum; 36 days in nasopharyngeal samples) | Days 34–43, 61–70 | CP: days 69, 70 | Hydroxychloroquine/ azithromycine, meropenem, ceftriaxone, clarithromycin | 5 substitutions; spike: 1 substitution | Discharge on day 73 |
Publisher’s Note: MDPI stays neutral with regard to jurisdictional claims in published maps and institutional affiliations. |
© 2021 by the authors. Licensee MDPI, Basel, Switzerland. This article is an open access article distributed under the terms and conditions of the Creative Commons Attribution (CC BY) license (https://creativecommons.org/licenses/by/4.0/).
Share and Cite
Drancourt, M.; Cortaredona, S.; Melenotte, C.; Amrane, S.; Eldin, C.; La Scola, B.; Parola, P.; Million, M.; Lagier, J.-C.; Raoult, D.; et al. SARS-CoV-2 Persistent Viral Shedding in the Context of Hydroxychloroquine-Azithromycin Treatment. Viruses 2021, 13, 890. https://doi.org/10.3390/v13050890
Drancourt M, Cortaredona S, Melenotte C, Amrane S, Eldin C, La Scola B, Parola P, Million M, Lagier J-C, Raoult D, et al. SARS-CoV-2 Persistent Viral Shedding in the Context of Hydroxychloroquine-Azithromycin Treatment. Viruses. 2021; 13(5):890. https://doi.org/10.3390/v13050890
Chicago/Turabian StyleDrancourt, Michel, Sébastien Cortaredona, Cléa Melenotte, Sophie Amrane, Carole Eldin, Bernard La Scola, Philippe Parola, Matthieu Million, Jean-Christophe Lagier, Didier Raoult, and et al. 2021. "SARS-CoV-2 Persistent Viral Shedding in the Context of Hydroxychloroquine-Azithromycin Treatment" Viruses 13, no. 5: 890. https://doi.org/10.3390/v13050890
APA StyleDrancourt, M., Cortaredona, S., Melenotte, C., Amrane, S., Eldin, C., La Scola, B., Parola, P., Million, M., Lagier, J.-C., Raoult, D., & Colson, P. (2021). SARS-CoV-2 Persistent Viral Shedding in the Context of Hydroxychloroquine-Azithromycin Treatment. Viruses, 13(5), 890. https://doi.org/10.3390/v13050890

