Changes in Physical Properties and Microstructure of Bamboo–Plastic Composites with Different Bamboo Powder/Polybutylene Succinate Ratios, Polypropylene, and Polyethylene
Abstract
1. Introduction
2. Materials and Methods
2.1. Materials
2.2. Preparation of Bamboo Powder/PBS Composite Material
2.3. Bamboo–Plastic Composite Material Performance Test
2.3.1. Physical Performance Test
2.3.2. Mechanical Properties Test
2.3.3. Chemical Performance Test
2.3.4. Microstructure Test
2.3.5. Degradation Performance Test
3. Results and Discussion
3.1. Effect of Ratio on Physical Properties of Composites
3.2. Effect of Ratio on Mechanical Properties of Composites
3.3. Changes in Mechanical Composition of Bamboo–Plastic Composite after Adding PP and PE
3.4. Analysis of Cross-Section Micromorphology of Bamboo–Plastic Composite Materials with Different Formulations
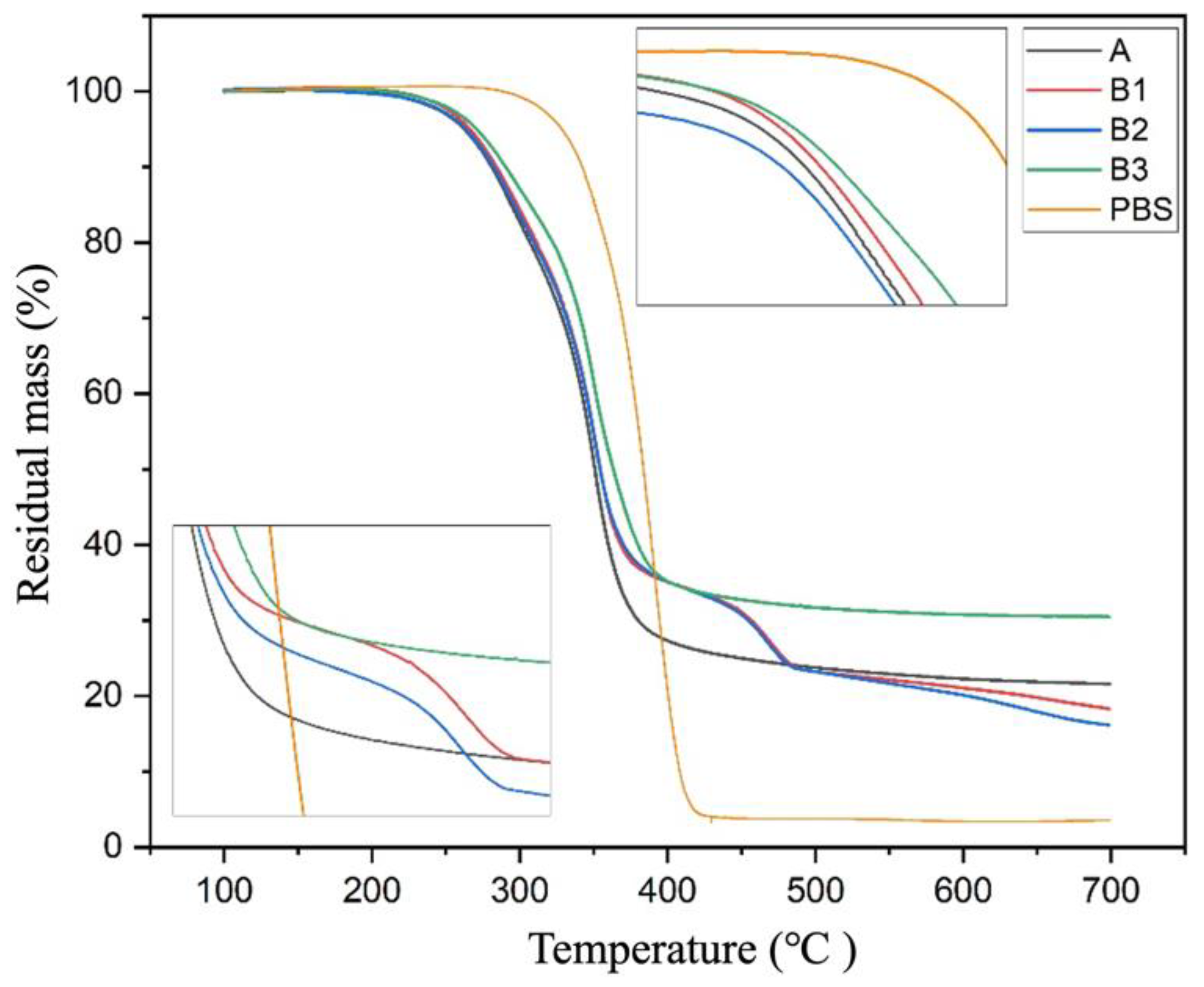
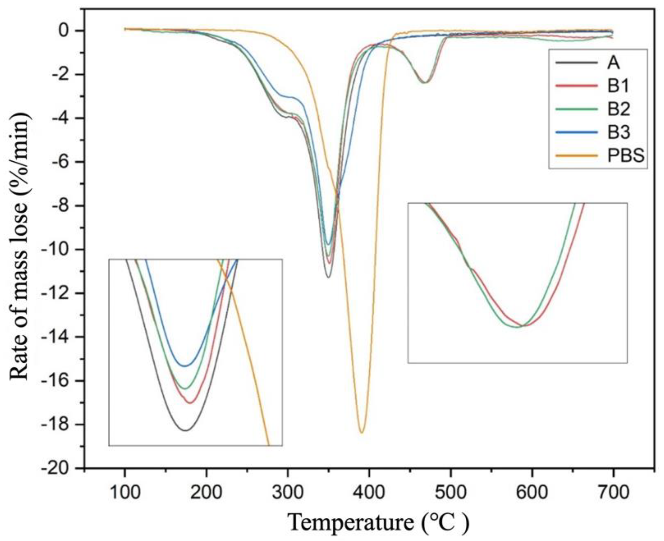
3.5. Effect of PE and PP on the Degradation Properties of Bamboo Powder/PBS Composite
4. Conclusions
- (1)
- The flexural strength of bamboo powder/PBS composite material showed a trend of increasing and decreasing with the increase in PBS content, and the material had the greatest flexural strength when the ratio was A3 and the modulus of elasticity was lower, which showed strong toughness. At the same time, A3 showed good compression resistance and high energy storage modulus; it was an excellent ratio of bamboo powder/PBS composite material. B2 with PP was significantly improved in water absorption and bending and compression properties, while B1 with PE was lower than B3 with pure PBS in bending and compression performance tests, and only reduced the material water absorption by 1.9%. The mixing of PP and PBS was the optimal choice when the amount of plastic matrix was the same.
- (2)
- The addition of PP and PE did not significantly change the melting temperature of the material; the addition of PE increased the crystallinity of material and made the material brittle, while PP decreased the crystallinity of the material and increased the toughness of the material, and the change in the amount of PBS did not have a significant effect on the crystallinity. Compared with PBS, the pyrolysis onset temperature of the bamboo powder/PBS composite was lower, and the maximum thermal degradation rate was smaller than that of PBS.
- (3)
- Bamboo powder/PBS composites all have good degradation performance and are environmentally friendly materials that are in line with the concept of industrial development put forward by the United Nations, and they have good commercial prospects. These products can be widely used in furniture manufacturing, for daily necessities, and in other areas, reducing the use of pure plastic products, which is conducive to the advancement of the international “Bamboo as a Substitute of Plastic” initiative.
Author Contributions
Funding
Data Availability Statement
Conflicts of Interest
References
- Wang, G.P.; Innes, J.L.; Dai, S.Y.; He, G. Achieving sustainable rural development in Southern China: The contribution of bamboo forestry. Int. J. Sustain. Dev. World Ecol. 2008, 15, 484–495. [Google Scholar] [CrossRef]
- Han, G.; Li, R.; Wang, C. Effects of Three-layer Structure and Age on Mechanical Properties of Moso Bamboo. Bioresources 2021, 16, 2406–2415. [Google Scholar] [CrossRef]
- Chen, M.; Ye, L.; Semple, K.; Ma, J.; Zhang, J.; Weng, Y.; Yan, H.; Fei, B.; Dai, C. A new protocol for rapid assessment of bond durability of bio-based pipes: Bamboo winding composite pipe as a case study. Eur. J. Wood Wood Prod. 2022, 80, 947–959. [Google Scholar] [CrossRef]
- Chen, Y.; Ran, M.; Huang, Y.J.; Tang, H.; Wu, B. Research on solid acid-catalyzed liquefaction of bamboo processing residues. Sichuan For. Sci. Technol. 2021, 42, 120–125. [Google Scholar]
- Jiang, Y.; Zhuang, X.; Pan, X.; Wang, J.; Zhang, W.; Yu, H. Experimental study on composite honeycomb activated carbon made from bamboo processing residues. J. Bamboo Sci. 2019, 38, 58–62. [Google Scholar]
- Li, Y.; Lou, Z. Research status and prospect of bamboo flattening technology. J. For. Eng. 2021, 6, 14–23. [Google Scholar]
- Zhang, J.; Wang, K.; Li, Q.; Hua, X. Analysis and suggestions on the current situation of bamboo utilization rate in China. For. Mach. Woodwork. Equip. 2006, 7–10. [Google Scholar]
- Shan, B.; Qiu, J.; Xu, H.; Li, T.; Xiao, Y.; Qin, S.; Gao, L.; Li, Z. Experimental research on standardized bamboo culm components for developing prefabricated bamboo building. Structures 2023, 50, 272–285. [Google Scholar] [CrossRef]
- Dessie, T.S.; Yimer, A.M.; Ali, M.Y. Determinants of bamboo processors’ utilization level: The case of Bahir Dar city and Injibara town, Ethiopia. Adv. Bamboo Sci. 2023, 5, 100043. [Google Scholar] [CrossRef]
- Jiang, S.; Wei, Y.; Hu, Z.; Ge, S.; Yang, H.; Peng, W. Potential application of bamboo powder in PBS bamboo plastic composites. J. King Saud Univ. Sci. 2020, 32, 1130–1134. [Google Scholar] [CrossRef]
- Xian, Y.; Ma, D.; Wang, C.; Smith, L.; Cheng, H. Characterization and Research on Mechanical Properties of Bamboo Plastic Composites. Polymers 2018, 10, 814. [Google Scholar] [CrossRef]
- Xve, Y. Preparation and Properties of Bamboo Powder/Polylactic Acid Degradable Composites. Master’s Thesis, Zhejiang A&F University, Hangzhou, China, 2020. [Google Scholar]
- Lee, S.H.; Wang, S.Q. Biodegradable polymers/bamboo fiber biocomposite with bio-based coupling agent. Compos. Part A-Appl. Sci. Manuf. 2006, 37, 80–91. [Google Scholar] [CrossRef]
- Zeng, C. Optimization and Performance Study of Bamboo Powder/LDPE Composite Materials. Master’s Thesis, Fujian Agriculture and Forestry University, Fuzhou, China, 2012. [Google Scholar]
- Yan, W. Preparation and Performance Study of Bamboo-Plastic Composite Materials. Master’s Thesis, Nanjing Forestry University, Nanjing, China, 2008. [Google Scholar]
- Zhang, Y. Structural Design and Performance Study of Bamboo-Plastic Composite Materials. Ph.D. Thesis, Beijing University of Chemical Technology, Beijing, China, 2017. [Google Scholar]
- Zhao, L.; Jiang, W.; Zhou, H.; Wei, L. Preparation, morphology and properties of biodegradable phloem fiber of alchornea davidii franch reinforced PBS composites. Mater. Res. Express 2021, 8, 075507. [Google Scholar] [CrossRef]
- Liu, L.; Yu, J.; Cheng, L.; Yang, X. Biodegradability of poly(butylene succinate) (PBS) composite reinforced with jute fibre. Polym. Degrad. Stab. 2009, 94, 90–94. [Google Scholar] [CrossRef]
- Rasheed, M.; Jawaid, M.; Parveez, B. Preparation, Characterization and Properties of Biodegradable Composites from Bamboo Fibers-Mechanical and Morphological Study. J. Polym. Environ. 2021, 29, 4120–4126. [Google Scholar] [CrossRef]
- Jansiri, S.; Deenu, A.; Puangsin, B.; Sungkaew, S.; Kamthai, S. Characterization of sweet bamboo (Dendrocalamus asper Backer) kraft pulp filled in poly(lactic acid)/polybutylene succinate blend composite. Polym. Compos. 2021, 42, 5090–5100. [Google Scholar] [CrossRef]
- Pivsa-Art, S.; Pivsa-Art, W. Eco-friendly bamboo fiber-reinforced poly(butylene succinate) biocomposites. Polym. Compos. 2021, 42, 1752–1759. [Google Scholar] [CrossRef]
- Donath, S.; Militz, H.; Mai, C. Creating water-repellent effects on wood by treatment with silanes. Holzforschung 2006, 60, 40–46. [Google Scholar] [CrossRef]
- Xin, Z.; Li, N.; Zhao, Q.; Xu, J. Research on PBS/Bamboo Fiber Composite Materials. New Chem. Mater. 2015, 43, 91–93. [Google Scholar]
- Qiang, Q. Performance Study of Gramineae Plant Fiber/PBS Composite Materials. Master’s Thesis, Shaanxi University of Science and Technology, Xi’an, China, 2013. [Google Scholar]
- Hong, G. Polydopamine Modification and Characterization of the Interface between Bamboo Powder and PBS Composites. Master’s Thesis, Beijing Forestry University, Beijing, China, 2018. [Google Scholar]
- Vladimirov, V.; Betchev, C.; Vassiliou, A.; Papageorgiou, G.; Bikiaris, D. Dynamic mechanical and morphological studies of isotactic polypropylene/fumed silica nanocomposites with enhanced gas barrier properties. Compos. Sci. Technol. 2006, 66, 2935–2944. [Google Scholar] [CrossRef]
- Xu, Y.; Xu, J.; Guo, B.; Xie, X. Crystallization kinetics and morphology of biodegradable poly(butylene succinate-co-propylene succinate)s. J. Polym. Sci. Part B-Polym. Physic 2007, 45, 420–428. [Google Scholar] [CrossRef]
- Liang, R.; Chen, Y.-C.; Zhang, C.-Q.; Yin, J.; Liu, X.L.; Wang, L.K.; Kong, R.; Feng, X.; Yang, J.J. Crystallization behavior of biodegradable poly(ethylene adipate) modulated by a benign nucleating agent: Zinc phenylphosphonate. Chin. J. Polym. Sci. 2017, 35, 558–568. [Google Scholar] [CrossRef]
- Chen, M.; Xu, Z.; Li, H.; Zhang, J.; Feng, D.; Lou, Z.; Fang, C.; Li, Y.; Zhu, W. Characterization of bamboo extrinsic toughening mechanism in bending by X-ray micro-computed tomography(micro-CT). Ind. Crops Prod. 2024, 208, 117882. [Google Scholar] [CrossRef]
- Fu, Y.; Li, Z.; Cao, G. Study on the Mechanical Properties of PBS/Bamboo Powder Composite Materials. New Chem. Mater. 2016, 44, 134–136. [Google Scholar]















| Serial Number | Bamboo Powder (phr) | PBS (phr) | PP (phr) | PE (phr) |
|---|---|---|---|---|
| A | 100 | 20 | 0 | 0 |
| A1 | 100 | 40 | 0 | 0 |
| A2 | 100 | 60 | 0 | 0 |
| A3 | 100 | 80 | 0 | 0 |
| A4 | 100 | 100 | 0 | 0 |
| B1 | 100 | 20 | 0 | 10 |
| B2 | 100 | 20 | 10 | 0 |
| B3 | 100 | 30 | 0 | 0 |
| Wave Number/cm−1 | Corresponding Groups and Their Movements |
|---|---|
| 3500–3200 | Stretching vibrational peak of hydroxyl (-OH) |
| 3000–2842 | Stretching vibrational peaks of saturated hydrocarbon (C-H) |
| 2916 | -CH2- asymmetric stretching vibration peak |
| 2849 | -CH2- symmetric stretching vibration peak |
| 1715 | Stretching vibrational peaks of the carbonyl group (C=O) |
| 1598 | Carboxylic acid anion (-COO) absorption peaks |
| 1456 | -CH2- of the bending vibration peaks |
| 1155 | Stretching vibrational peaks of C-O |
| 1044 | Stretching vibrational peaks of C-O-C |
| 718 | -CH2- in-plane rocking vibration peaks |
| Style | Melting Temperature Tm (°C) | Enthalpy of Melting ΔH (J/g) | Crystallinity Xc (%) |
|---|---|---|---|
| A | 94.71 | 11.51 | 62.62% |
| B1 | 94.43 | 12.10 | 71.29% |
| B2 | 94.40 | 9.49 | 55.95% |
| B3 | 94.67 | 15.74 | 61.83% |
Disclaimer/Publisher’s Note: The statements, opinions and data contained in all publications are solely those of the individual author(s) and contributor(s) and not of MDPI and/or the editor(s). MDPI and/or the editor(s) disclaim responsibility for any injury to people or property resulting from any ideas, methods, instructions or products referred to in the content. |
© 2024 by the authors. Licensee MDPI, Basel, Switzerland. This article is an open access article distributed under the terms and conditions of the Creative Commons Attribution (CC BY) license (https://creativecommons.org/licenses/by/4.0/).
Share and Cite
Niu, S.; Han, G.; Chen, X.; Liu, J.; Wang, C. Changes in Physical Properties and Microstructure of Bamboo–Plastic Composites with Different Bamboo Powder/Polybutylene Succinate Ratios, Polypropylene, and Polyethylene. Forests 2024, 15, 478. https://doi.org/10.3390/f15030478
Niu S, Han G, Chen X, Liu J, Wang C. Changes in Physical Properties and Microstructure of Bamboo–Plastic Composites with Different Bamboo Powder/Polybutylene Succinate Ratios, Polypropylene, and Polyethylene. Forests. 2024; 15(3):478. https://doi.org/10.3390/f15030478
Chicago/Turabian StyleNiu, Sijie, Ge Han, Xinran Chen, Jiale Liu, and Chuangui Wang. 2024. "Changes in Physical Properties and Microstructure of Bamboo–Plastic Composites with Different Bamboo Powder/Polybutylene Succinate Ratios, Polypropylene, and Polyethylene" Forests 15, no. 3: 478. https://doi.org/10.3390/f15030478
APA StyleNiu, S., Han, G., Chen, X., Liu, J., & Wang, C. (2024). Changes in Physical Properties and Microstructure of Bamboo–Plastic Composites with Different Bamboo Powder/Polybutylene Succinate Ratios, Polypropylene, and Polyethylene. Forests, 15(3), 478. https://doi.org/10.3390/f15030478

