Massive Transformation in Titanium-Silver Alloys and Its Effect on Their Mechanical Properties and Corrosion Behavior
Abstract
:1. Introduction
2. Results and Discussion
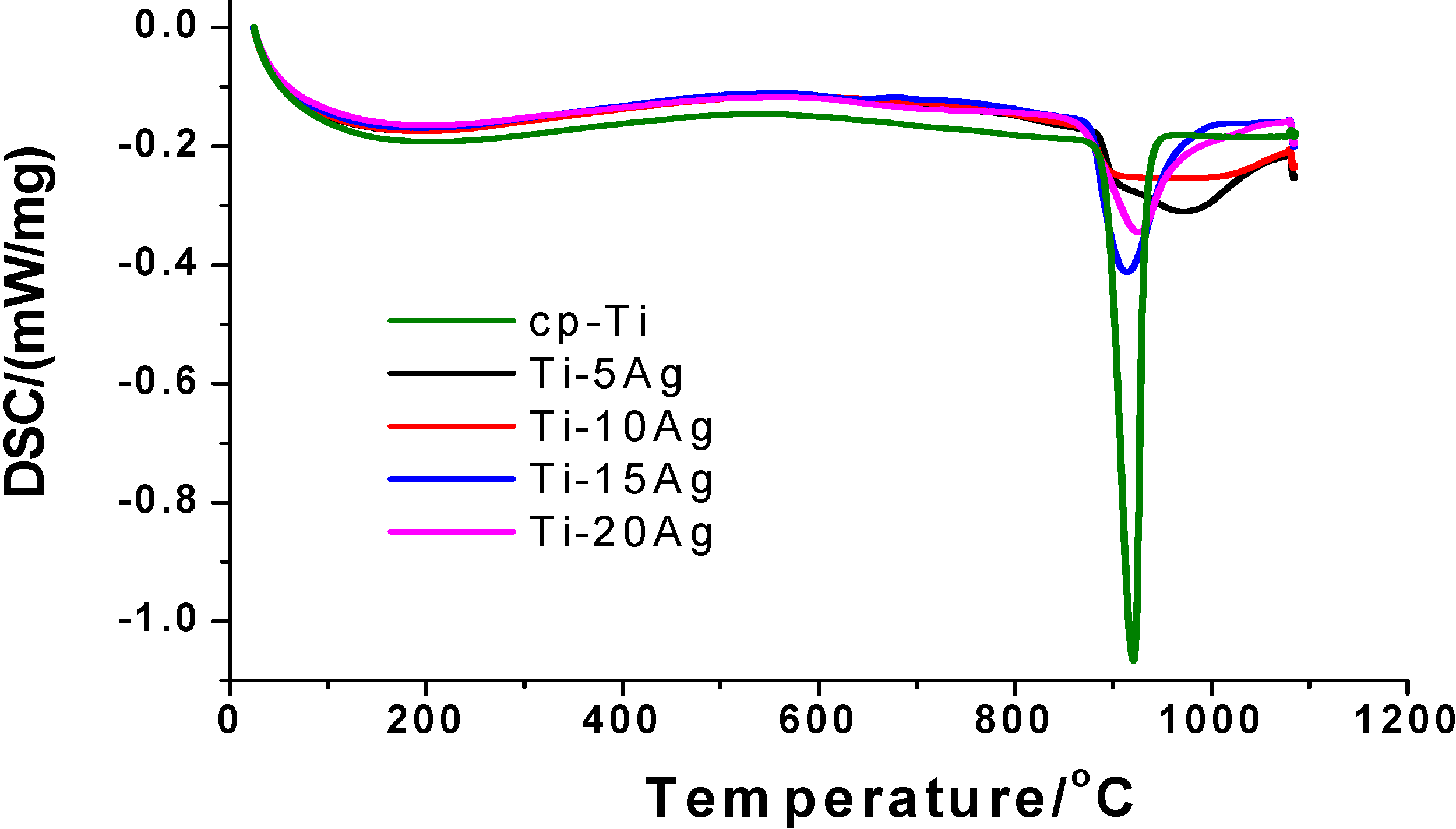
2.1. Phase and Microstructure







2.2. Mechanical Properties
| Alloy Code | Vickers Hardness (VHN) | Elastic Modulus (GPa) |
|---|---|---|
| cp-Ti | 165.0 (2.6) a,* | 132.4 (12.2) b,c,* |
| Ti–5Ag | 251.7 (1.2) b | 140.4 (4.9) c |
| Ti–10 Ag | 501.0 (17.3) c | 126.4 (8.5) a,b |
| Ti–15Ag | 275.3 (11.0) b | 129.6 (7.0) a,b |
| Ti–20 Ag | 485.0 (68.4) c | 122.7 (4.6) a |
2.3. Corrosion Behavior

| Alloy Code | Ecorr (mV) | icorr (μA/cm2) |
|---|---|---|
| cp-Ti | −550.33 (43.94) a,* | 0.287 (0.046) a,* |
| Ti–5Ag | −471.07 (101.37) a,b | 0.209 (0.072) a |
| Ti–10Ag | −500.20 (31.82) a,b | 0.231 (0.057) a |
| Ti–15Ag | −461.33 (19.98) a,b | 0.181 (0.120) a |
| Ti–20Ag | −416.98 (58.72) b | 0.221 (0.078) a |

3. Experimental Section
3.1. Material Preparation
3.2. Material Characterization
3.3. Measurement of Mechanical Properties
3.4. Electrochemical Analysis
3.5. Statistical Analysis
4. Conclusions
Acknowledgments
Author Contributions
Conflicts of Interest
References
- Leyens, C.; Peters, M. Titatium and Titanium Alloys: Fundamentals & Applications; WILEY-VCH Verlag GmbH & Co. KGaA: Weinheim, Germany, 2003; pp. 423–466. [Google Scholar]
- Lloyd, C.H.; Scrimgeour, S.N.; Brown, D.; Clarke, R.L.; Curtis, R.V.; Hatton, P.V. Dental materials: 1995 literature review. J. Dent. 1997, 25, 173–208. [Google Scholar] [CrossRef]
- Wang, Q.Y.; Wang, Y.B.; Lin, J.P.; Zheng, Y.F. Development and properties of Ti–In binary alloys as dental biomaterials. Mater. Sci. Eng. C 2012, 33, 1601–1606. [Google Scholar]
- Shim, H.M.; Oh, K.T.; Woo, J.Y.; Hwang, C.J.; Kim, K.N. Corrosion resistance of titanium–silver alloys in an artificial saliva containing fluoride ions. J. Biomed. Mater. Res. Part B Appl. Biomater. 2005, 73, 252–259. [Google Scholar]
- Zhang, B.; Wang, B.; Li, L.; Zheng, Y. Corrosion behavior of Ti–5Ag alloy with and without thermal oxidation in artificial saliva solution. Dental Mater. 2011, 27, 214–220. [Google Scholar] [CrossRef]
- Takahashi, M.; Kikuchi, M.; Takada, Y.; Okuno, O. In grindability and mechanical properties of experimental Ti–Au, Ti–Ag and Ti–Cu alloys. Int. Congr. Ser. 2005, 1284, 326–327. [Google Scholar] [CrossRef]
- Kikuchi, M.; Takahashi, M.; Okabe, T.; Okuno, O. Grindability of dental cast Ti–Ag and Ti–Cu alloys. Dental Mater. J. 2003, 22, 191–205. [Google Scholar] [CrossRef]
- Takahashi, M.; Kikuchi, M.; Takada, Y.; Okuno, O. Corrosion resistance of dental Ti–Ag alloys in NaCl solution. Mater. Trans. 2010, 51, 762–766. [Google Scholar] [CrossRef]
- Song, D.-H.; Uhm, S.-H.; Lee, S.-B.; Han, J.-G.; Kim, K.-N. Antimicrobial silver-containing titanium oxide nanocomposite coatings by a reactive magnetron sputtering. Thin Solid Films 2011, 519, 7079–7085. [Google Scholar] [CrossRef]
- Kang, M.-K.; Moon, S.-K.; Kwon, J.-S.; Kim, K.-M.; Kim, K.-N. Antibacterial effect of sand blasted, large-grit, acid-etched treated Ti–Ag alloys. Mater. Res. Bull. 2012, 47, 2952–2955. [Google Scholar] [CrossRef]
- Zhang, B.; Qiu, K.; Wang, B.; Li, L.; Zheng, Y. Surface characterization and cell response of binary Ti–Ag alloys with cp-Ti as material control. J. Mater. Sci. Technol. 2012, 28, 779–784. [Google Scholar] [CrossRef]
- Plichta, M.; Williams, J.; Aaronson, H. On the existence of the β → αm transformation in the alloy systems Ti–Ag, Ti–Au, and Ti–Si. Metall. Trans. A 1977, 8, 1885–1892. [Google Scholar] [CrossRef]
- Kikuchi, M.; Takahashi, M.; Sato, H.; Okuno, O.; Nunn, M.E.; Okabe, T. Grindability of cast Ti–Hf alloys. J. Biomed. Mater. Res. B Appl. Biomater. 2006, 77, 34–38. [Google Scholar]
- Takada, Y.; Takahashi, M.; Kikuchi, M. The development of binary titanium alloys with the aim of dental applications. In Interface Oral Health Science 2011; Springer: Berlin, Germany, 2012; pp. 66–71. [Google Scholar]
- Takahashi, M.; Kikuchi, M.; Takada, Y.; Okabe, T.; Okuno, O. Electrochemical behavior of cast Ti–Ag alloys. Dental Mater. J. 2006, 25, 516–523. [Google Scholar] [CrossRef]
- Murray, J.L. Phase Diagrams of Binary Titanium Alloys; American Society for Metals (ASM): Geauga County, OH, USA, 1987; pp. 6–11. [Google Scholar]
- Oh, K.T.; Shim, H.M.; Kim, K.N. Properties of titanium–silver alloys for dental application. J. Biomed. Mater. Res. B Appl. Biomater. 2005, 74, 649–658. [Google Scholar]
- Takahashi, M.; Kikuchi, M.; Hatori, K.; Orii, Y.; Sasaki, K.; Takada, Y. Calcium phosphate formation on Ti–Ag alloys in simulated body fluid. J. Biomech. Sci. Eng. 2009, 4, 318–325. [Google Scholar] [CrossRef]
- Yoda, M.; Konno, T.; Takada, Y.; Iijima, K.; Griggs, J.; Okuno, O.; Kimura, K.; Okabe, T. Bond strength of binary titanium alloys to porcelain. Biomaterials 2001, 22, 1675–1681. [Google Scholar] [CrossRef]
- Zhang, B.; Zheng, Y.; Liu, Y. Effect of Ag on the corrosion behavior of Ti–Ag alloys in artificial saliva solutions. Dental Mater. 2009, 25, 672–677. [Google Scholar] [CrossRef]
- Martins, D.Q.; Osorio, W.R.; Souza, M.E.P.; Caram, R.; Garcia, A. Effects of Zr content on microstructure and corrosion resistance of Ti–30Nb–Zr casting alloys for biomedical applications. Electrochim. Acta 2008, 53, 2809–2817. [Google Scholar] [CrossRef]
- Osório, W.R.; Cremasco, A.; Andrade, P.N.; Garcia, A.; Caram, R. Electrochemical behavior of centrifuged cast and heat treated Ti–Cu alloys for medical applications. Electrochim. Acta 2010, 55, 759–770. [Google Scholar] [CrossRef]
- Osorio, W.R.; Cheung, N.; Spinelli, J.E.; Garcia, A. The effects of a eutectic modifier on microstructure and surface corrosion behavior of Al–Si hypoeutectic alloys. J. Solid State Electrochem. 2007, 11, 1421–1427. [Google Scholar] [CrossRef]
- Peixoto, L.C.; Osorio, W.R.; Garcia, A. Microstructure and electrochemical corrosion behavior of a Pb–1 wt% Sn alloy for lead-acid battery components. J. Power Sources 2009, 192, 724–729. [Google Scholar] [CrossRef]
- Hunter, B.A.; Howard, C.J. Rietica; Australian Nuclear Science and Technology Organization: Menai, Australia, 2000. [Google Scholar]
© 2014 by the authors; licensee MDPI, Basel, Switzerland. This article is an open access article distributed under the terms and conditions of the Creative Commons Attribution license (http://creativecommons.org/licenses/by/3.0/).
Share and Cite
Han, M.-K.; Hwang, M.-J.; Won, D.-H.; Kim, Y.-S.; Song, H.-J.; Park, Y.-J. Massive Transformation in Titanium-Silver Alloys and Its Effect on Their Mechanical Properties and Corrosion Behavior. Materials 2014, 7, 6194-6206. https://doi.org/10.3390/ma7096194
Han M-K, Hwang M-J, Won D-H, Kim Y-S, Song H-J, Park Y-J. Massive Transformation in Titanium-Silver Alloys and Its Effect on Their Mechanical Properties and Corrosion Behavior. Materials. 2014; 7(9):6194-6206. https://doi.org/10.3390/ma7096194
Chicago/Turabian StyleHan, Mi-Kyung, Moon-Jin Hwang, Dae-Hee Won, Yang-Soo Kim, Ho-Jun Song, and Yeong-Joon Park. 2014. "Massive Transformation in Titanium-Silver Alloys and Its Effect on Their Mechanical Properties and Corrosion Behavior" Materials 7, no. 9: 6194-6206. https://doi.org/10.3390/ma7096194
APA StyleHan, M.-K., Hwang, M.-J., Won, D.-H., Kim, Y.-S., Song, H.-J., & Park, Y.-J. (2014). Massive Transformation in Titanium-Silver Alloys and Its Effect on Their Mechanical Properties and Corrosion Behavior. Materials, 7(9), 6194-6206. https://doi.org/10.3390/ma7096194
