Next Article in Journal
Phase-Controlled Synthesis of Ru Supported on Carbon Nitride and the Application in Photocatalytic H2 Evolution
Previous Article in Journal
Effectiveness of Nickel–Titanium Files for Retreatment of Molars Filled with Single-Cone Hydraulic Technique Using Bioceramic Sealers: An In Vitro Study
Previous Article in Special Issue
Giant Seebeck Effect in a PEDOT Material Coated on a Felt Fiber
 
 
Font Type:
Arial Georgia Verdana
Font Size:
Aa Aa Aa
Line Spacing:
Column Width:
Background:
Article

Interplay of Temperature-Induced Modification in Niobium Oxide Thin Films for Electrochromic Advancements

School of Chemical Engineering, Yeungnam University, 280 Daehak-ro, Gyeongsan 712-749, Republic of Korea
*
Author to whom correspondence should be addressed.
These authors contributed equally to this work.
Materials 2025, 18(6), 1264; https://doi.org/10.3390/ma18061264
Submission received: 6 February 2025 / Revised: 25 February 2025 / Accepted: 12 March 2025 / Published: 13 March 2025

Abstract

Niobium oxide (Nb2O5) is a compelling preference for electrochromic (EC) applications due to its remarkable optical modulation, chemical resilience, and efficient charge accommodation. This study attentively explores the influence of reaction temperature on the structural, morphological, and EC characteristics of Nb2O5 thin films synthesized via a hydrothermal approach. Reaction temperatures spanning 140 °C to 200 °C were optimized to unravel their pivotal role in dictating material properties and device performance. Field-emission scanning electron microscopy elucidates significant morphological transformations, transitioning from agglomerated, cracked structures at lower temperatures to well-defined, porous architectures at optimal conditions, followed by a re-compaction of the surface at elevated temperatures. Electrochemical analysis established a strong correlation between thermal-induced structural refinements and enhanced EC performance metrics. The optimized N-180 thin films exhibit enhanced charge injection dynamics, improved coloration efficiency of 81.33 cm2/C, and superior optical modulation of 74.13% at 600 nm. The device fabricated with the most favorable film demonstrated significant optical contrast and long-term stability, reinforcing its practical viability for smart window and energy-efficient applications. This study pioneers a comprehensive understanding of the thermal modulation of Nb2O5 thin films, providing new insights into the interplay between reaction temperature and material functionality.

1. Introduction

In the modern technological era, energy-efficient materials have gained paramount importance due to the increasing demand for sustainable and intelligent systems. Among these, electrochromic (EC) materials have emerged as a key class of materials capable of dynamically modulating their optical properties triggered by redox reactions in response to an applied voltage [1]. These materials are widely explored for applications such as smart windows, energy-saving displays, rear-view mirrors, and advanced optoelectronic systems [2,3]. Smart windows, which dynamically control light transmission to reduce energy wastage in buildings, represent a key area where electrochromic materials can significantly contribute to sustainability. Among various EC materials, transition metal oxides (TMOs) such as tungsten oxide (WO3), titanium oxide (TiO2), molybdenum oxide (MoO3), nickel oxide (NiO), manganese dioxide (MnO2), and niobium oxide (Nb2O5) have garnered significant attention due to their reversible EC behavior, multiple redox states, and robust structural stability [4,5,6]. In particular, niobium oxide (Nb2O5), a wide-bandgap TMO, has emerged as a promising EC material owing to its superior chemical stability, excellent charge storage properties, high optical transparency in the visible and near-infrared regions, and exceptional corrosion resistance in acidic and basic electrolytes [7,8]. Unlike traditional EC materials such as tungsten oxide (WO3) that exhibit strong coloration but suffer from cycling degradation, Nb2O5 offers prolonged EC durability while maintaining adequate optical modulation. Additionally, the ability of Nb2O5 to facilitate intercalation/deintercalation of small cations (Li+) with minimal structural distortion makes it an ideal host material for electrochromic and energy storage applications. Its capability to reversibly insert and extract charge carriers has positioned it as a suitable candidate for multifunctional applications such as electrochromic supercapacitors, energy storage-integrated smart windows, and optoelectronic systems [3,9]. The EC performance of Nb2O5 is highly dependent on its structural and morphological characteristics, which can be tuned via synthesis conditions, precursor selection, and deposition techniques. Among the various synthesis methods available for fabricating Nb2O5 thin films, hydrothermal synthesis has proven to be an effective and scalable approach, offering superior control over crystallinity, phase purity, and nanostructural features [10]. However, the EC response of Nb2O5 is intrinsically linked to its phase evolution and crystallographic modifications, which are strongly influenced by the synthesis temperature. The structural phase transition of Nb2O5 is a crucial determinant of its electrochemical and optical properties, as different polymorphic phases exhibit distinct EC characteristics. Typically, the formation of the orthorhombic T-Nb2O5 phase is considered optimal for EC applications due to its favorable Li+ ion insertion/extraction kinetics, high coloration efficiency, and enhanced cycling stability [11].
Despite its advantages, the widespread adoption of Nb2O5 for EC applications is hindered by challenges such as relatively low coloration efficiency, and slow switching kinetics [12]. These limitations are often linked to the material’s crystallinity, porosity, and ion diffusion pathways, which can be systematically controlled through precise synthesis techniques. Hydrothermal synthesis, in particular, offers an efficient and scalable route for fabricating high-purity Nb2O5 thin films with tunable nanostructures and enhanced EC performance. An extensive studies on Nb2O5 thin films, the systematic investigation of temperature-driven modifications in its structural, morphological, and EC properties remains an area of interest. Temperature variations during the hydrothermal synthesis process significantly impact the crystallinity, phase composition, and surface morphology of Nb2O5 films, which in turn modulate their EC switching dynamics, optical modulation, and charge storage behavior [13]. A comprehensive understanding of these temperature-induced modifications is essential to optimize the deposition conditions for high-performance EC devices.
In this study, we investigate the interplay between synthesis temperature and electrochromic properties in Nb2O5 thin films fabricated via a hydrothermal route. A series of Nb2O5 thin films were synthesized at varying temperatures to elucidate their structural evolution, phase transformation, and EC performance. The optimized Nb2O5 film synthesized at 180 °C exhibits a well-defined structure, which contributes to its superior EC response. Detailed structural, morphological, and electrochemical analyses were performed to correlate temperature-dependent modifications with EC kinetics. This work not only advances the knowledge of temperature-induced phase transformations in Nb2O5 but also lays the foundation for optimizing deposition conditions to achieve high-performance EC materials for next-generation smart windows and energy-efficient devices. The integration of structural engineering and EC functionality in Nb2O5 thin films underscores their potential for multifunctional applications, further bridging the gap between energy-efficient technologies and sustainable material development.

2. Experimental Section

2.1. Reagents and Materials

All reagents used for the synthesis were of analytical grade and required no additional purification. Fluorine-doped tin oxide (FTO) glass substrates (MTI. Co., Ltd., Seoul, South Korea) were employed as the conductive support for Nb2O5 thin films. The substrates were pre-cleaned through sequential ultrasonication in ethanol, acetone, and deionized (DI) water for 15 min each. Niobium chloride (NbCl5, Sigma–Aldrich, 99%, St. Louis, MO, USA), oxalic acid (C2H2O4, Alfa Aesar, 98%, Haverhill, MA, USA), lithium perchlorate (LiClO4, Sigma–Aldrich), and propylene carbonate (PC, Sigma–Aldrich) were used as received. DI water was used as the solvent throughout the synthesis process.

2.2. Synthesis of Nb2O5 Thin Films

Nb2O5 thin films were synthesized on FTO glass substrates using a hydrothermal method to investigate the influence of reaction temperature on their structural and EC properties. Initially, a precursor solution was prepared by dissolving 0.05 M NbCl5 and 0.1 M oxalic acid in 20 mL DI water. The mixture was stirred continuously for 10 min until a homogeneous and transparent solution was obtained. The precursor solutions were freshly prepared before each hydrothermal reaction and used after 10 min of stirring to ensure consistent film formation. The prepared solution was then transferred into a 50 mL Teflon-lined stainless-steel autoclave. Pre-cleaned FTO glass substrates were placed vertically inside the autoclave to ensure uniform film deposition on their surfaces. The autoclave was sealed and subjected to hydrothermal reactions at four different temperatures, 140 °C, 160 °C, 180 °C, and 200 °C, for a duration of 6 hours, at a controlled rate of 5 °C/min to ensure uniform growth of Nb2O5 thin films. This heating rate prevents sudden temperature gradients, which can lead to heterogeneous film formation. The hydrothermal temperature plays a critical role in determining the morphology and growth rate of thin films. After completion of the hydrothermal process, the autoclave was allowed to cool naturally to room temperature. The resultant Nb2O5 thin films were carefully removed, rinsed thoroughly with DI water to eliminate residual precursors, and annealed in a muffle furnace at 600 °C for 2 h. The annealing process was carried out in ambient air, as oxygen plays a crucial role in stabilizing the desired T-Nb2O5 orthorhombic phase. The synthesized films were labeled based on their hydrothermal reaction temperatures, N-140, N-160, N-180, and N-200, for subsequent characterization and EC analysis. The potential representation of the synthesis process for Nb2O5 thin films is presented in Figure 1.

2.3. Electrochromic Device Fabrication

An electrochromic (EC) device was fabricated using the N-180 thin film synthesized at the optimized reaction temperature. The device had a Glass/FTO/N-180/LiClO4 + PC/FTO/Glass configuration. The FTO-coated glass served as the conductive electrodes, while the N-180 thin film acted as the EC active layer. A 1 M solution of lithium perchlorate dissolved in propylene carbonate was used as the electrolyte. The electrolyte was sandwiched between the active EC layer and the counter electrode, with the assembly being secured using transparent, adhesive, double-sided tape (Scotch Brand Tape, 3M, St. Paul, MN, USA). The fabricated device was sealed to prevent electrolyte leakage and ensure long-term stability.

3. Sample Characterization and Electrochemical Measurements

The structural, morphological, optical, and electrochemical properties of the Nb2O5 thin films synthesized at varying hydrothermal temperatures were characterized using X-ray diffraction (XRD; PAN Analytical, Almelo, The Netherlands), field-emission scanning electron microscopy (FE-SEM, S-4800 HITACHI, Ltd., Tokyo, Japan) complemented by (energy dispersive spectroscopy, (EDS)), and X-ray photoelectron spectroscopy (XPS; K-Alpha, Thermo Scientific, Cheshire, UK).
Electrochemical analyses were performed using a three-electrode system integrated with a battery cycler (Biologic Instrument-WBCS3000, Gières, France). The EC performance, specifically the optical transmittance, was evaluated using a UV-Vis spectrophotometer (Model: S-3100, SCINCO, Seoul, South Korea) in conjunction with an electrochemical workstation (IVIUM Technologies, COMPACTSTAT.e, Capelle aan den IJssel, The Netherlands). All measurements were carried out in a 1 M LiClO4+PC electrolyte solution. The Nb2O5 films, synthesized under varying reaction temperatures, served as the working electrode, while a platinum electrode and an Ag/AgCl electrode were employed as the counter and reference electrodes, respectively. This configuration facilitated a comprehensive investigation of the electrochemical and optical properties of the films under operational conditions.

4. Results and Discussion

4.1. Structural and Compositional Characteristics

The XRD patterns of Nb2O5 thin films synthesized at varying hydrothermal temperatures (140 °C, 160 °C, 180 °C, and 200 °C) were analyzed to elucidate their crystalline structure, phase purity, and temperature-induced structural variations, presented in Figure 2a. The XRD patterns exhibit sharp and well-defined peaks, underscoring the crystalline nature of the samples. The stacked XRD profiles of samples N-140, N-160, N-180, and N-200 were compared to assess the influence of hydrothermal temperature on crystallinity and structural evolution. All films displayed peak orientations consistent with the orthorhombic phase of Nb2O5 (T-Nb2O5), as confirmed by their alignment with JCPDS card no. 00-030-0873. Prominent diffraction peaks were observed at 22.60°, 28.40°, 28.87°, 36.99°, and 46.15°, 2θ, corresponding to the (001), (180), (200), (181), (201), and (002) crystallographic planes, respectively. Among these, the diffraction peaks at 22.60° and 28.40° exhibited higher intensities, suggesting a preferential orientation of the crystal structure along the (001) and (180) planes. Such a dominant orientation may enhance electrochemical interactions, particularly with Li+ ions, which are crucial for EC applications [3]. The impact of hydrothermal temperature on crystallinity was evident in the relative peak intensities across the samples. The N-200 and N-180 films demonstrated significantly sharper and more intense diffraction peaks compared to N-140 and N-160, indicating enhanced crystallinity at higher reaction temperatures. This can be attributed to the improved nucleation and growth kinetics of Nb2O5 crystals under elevated thermal conditions [14]. Conversely, the films synthesized at 140 °C and 160 °C exhibited comparatively broader peaks with lower intensities, signifying a less developed crystalline framework. Importantly, no secondary or impurity phases were detected in the XRD patterns, confirming the phase purity of all samples.
Raman spectroscopy was utilized to investigate the structural and vibrational properties of Nb2O5 thin films synthesized at varying hydrothermal temperatures: 140 °C (N-140), 160 °C (N-160), 180 °C (N-180), and 200 °C (N-200). The Raman spectra, depicted in Figure 2b–e, provide valuable insights into the crystallinity, chemical bonding, and vibrational modes of the Nb2O5 thin films. The characteristic orthorhombic T-Nb2O5 phase, achieved after annealing at 600 °C, is defined by distorted octahedral or pentagonal bipyramid units where each Nb atom is coordinated with six or seven oxygen atoms. These polyhedral units are connected by edge- or corner-sharing along the ab plane and by corner-sharing along the c axis [15]. This intricate structural arrangement was evident in the Raman spectra of all the samples, confirming the successful formation of the T-Nb2O5 phase. The dominant Raman peak observed in the ~698–699 cm−1 range across all samples is attributed to the symmetric and asymmetric stretching vibrations of Nb–O bonds within the octahedral and polyhedral frameworks. This peak is an assertion of the orthorhombic T-Nb2O5 phase and highlights the structural stability of the films across the varying synthesis temperatures. Additional peaks located at ~319–322 cm−1 and ~232–236 cm−1 correspond to the bending vibrations of Nb–O–Nb bridges and the presence of terminal Nb=O bonds, respectively [16,17]. A detailed comparison of the Raman spectra for N-140, N-160, N-180, and N-200 reveals consistent peak positions and intensities, suggesting that the hydrothermal temperature variation does not significantly alter the intrinsic vibrational properties of Nb2O5. However, subtle differences in the peak sharpness and intensity, particularly for N-200, indicate enhanced crystallinity and stronger bonding interactions at higher hydrothermal temperatures. The narrower and more intense peaks observed for N-180 and N-200 samples are indicative of improved lattice ordering and a higher degree of structural regularity.
XPS was employed to investigate the stoichiometric chemical composition and the valence states of elements in the N-180 thin films. The survey scan and high-resolution core-level spectra of the N-180 Nb2O5 thin film are presented in Figure 3a–c. In the survey spectrum (Figure 3a), the predominant peaks corresponding to niobium (Nb) and oxygen (O) were clearly identified, along with a minor signal of adventitious carbon (C), which is typically attributed to surface contamination from the ambient environment. The absence of peaks for any extraneous elements underscores the high compositional purity of the hydrothermally deposited N-180 thin film. The high-resolution Nb 3d spectrum, shown in Figure 3b, revealed two distinct peaks at binding energies of 207.16 eV and 209.89 eV, corresponding to the spin-orbit doublets of Nb 3d5/2 and Nb 3d3/2, respectively, with an energy separation of 2.73 eV. These binding energy values are consistent with previously reported data for Nb in the +5 oxidation state, confirming the presence of Nb5+ species in the film [18]. The sharpness and well-defined nature of these peaks indicate the homogeneity and stoichiometric integrity of the Nb2O5 phase. The O 1s spectrum, as depicted in Figure 3c, displayed two individual peaks. The primary peak, centered at 529.22 eV, is attributed to oxygen ions (O2−) in Nb-O bonds, indicative of the Nb-O-Nb lattice in the Nb2O5 structure. A secondary shoulder peak at 530.58 eV corresponds to surface oxygen species (-OH) [19]. Notably, the area under the Nb-O-Nb peak was significantly larger than that of the -OH peak, affirming the dominance of the Nb2O5 phase within the thin film.
The FE-SEM analysis of Nb2O5 thin films synthesized at different hydrothermal temperatures (140 °C, 160 °C, 180 °C, and 200 °C) reveals a progressive transformation in surface morphology, directly influenced by the synthesis temperature. At the lower hydrothermal temperature of 140 °C (N-140), shown in Figure 4A(a1–a3), the Nb2O5 structures exhibit a highly aggregated and densely packed morphology with noticeable cracks. The limited thermal energy at this stage hinders sufficient crystal growth, leading to irregularly shaped nanoparticles with poor structural uniformity. The presence of cracks and compact regions indicates a constrained nucleation process where the particles cluster together without forming a well-defined porous network. Such a morphology may result in inefficient ion transport and hinder EC performance due to reduced electrolyte penetration. As the hydrothermal temperature increases to 160 °C (Figure 4A(b1–b3)), morphological evolution is evident, but the surface still exhibits noticeable cracks and the persistence of aggregated particle formation. While the increased thermal energy facilitates partial crystallization and structural rearrangement, the material has not yet achieved a fully developed porous network. The nano-aggregates remain densely packed and the presence of cracks suggests incomplete grain growth and structural stress within the Nb2O5 framework. This indicates that, although some degree of reorganization occurs, the nucleation process is still dominant over grain growth, limiting the formation of a well-defined porous architecture. Such morphology may lead to suboptimal ion diffusion and charge transport, making further temperature optimization essential to achieve an ideal EC performance. At 180 °C, the Nb2O5 morphology reaches an optimal state, characterized by a highly uniform porous architecture with well-defined nanospheres, depicted in Figure 4A(c1–c3). The balance between nucleation and grain growth at this temperature facilitates the development of an open-structured network, significantly enhancing electrochemical properties. The well-organized porous morphology ensures efficient electrolyte penetration, faster ion diffusion, and improved EC switching kinetics. The enhanced surface area at this stage makes the material highly suitable for EC applications, as it offers better charge accommodation and increased reaction sites. However, at an even higher synthesis temperature for N-200 sample, the morphology undergoes excessive densification (Figure 4A(d1–d3)). The increased thermal energy accelerates crystal growth at the expense of porosity, leading to a compact surface with closely packed grains. The initially porous architecture collapses into a more rigid and dense structure, reducing the number of active sites available for electrochemical reactions. This structural densification limits ion intercalation, ultimately compromising EC performance. Overall, these findings emphasize the importance of precise temperature control during synthesis to achieve the desired morphology for high-performance electrochromic energy storage applications.
To delve deeper, the grain sizes have measured from multiple regions of the FE-SEM images and have plotted the average results in the form of plot to (Figure 4B(a)) illustrate the size distribution at each temperature. The calculated sizes are as follows: N-140: 32.75 nm, N-160: 47.13 nm, N-180: 51.19 nm, N-200: 24.06 nm. These measurements reflect the changes in particle size and are presented in the revised manuscript. The variation in particle size observed in the Nb2O5 thin films synthesized at different hydrothermal temperatures (140 °C, 160 °C, 180 °C, and 200 °C) can be attributed to the thermal effects on crystal nucleation and growth processes during the hydrothermal synthesis. At 140 °C (N-140), the lower temperature provides insufficient energy for the material to undergo significant crystallization. As a result, the grains remain more aggregated and less defined (Figure 4B(b)) and the material exhibits cracks and a more compact structure. At 160 °C, the synthesis process is more thermally driven, promoting some degree of rearrangement. However, the particles are still relatively small (47.13 nm) due to the continuing dominance of nucleation over crystal growth. The grain size increases slightly, but the material remains in an aggregated state, with some cracks still visible. At 180 °C (N-180), it promotes the formation of larger and more uniform grains (51.19 nm). The increased thermal energy allows the particles to undergo further crystallization, resulting in a more defined and uniform porous structure (Figure 4B(b)). The higher temperature enhances the rate of diffusion and crystal growth, contributing to a larger particle size compared to the lower temperatures. At 200 °C (N-200), the particle size decreases (24.06 nm), which can be attributed to the excessive thermal energy that promotes rapid crystal growth, leading to the densification of the Nb2O5 structure. The high temperature accelerates the grain growth process at the expense of the formation of pores, resulting in a more compact, rigid structure with closely packed grains (Figure 4B(b)).
The thickness of the Nb2O5 thin films was determined through cross-sectional analysis, shown in Figure 5A(a–d). The measured film thickness values for different reaction temperatures are 240 nm, 300 nm, 350 nm, and 405 nm for N-140, N-160, N-180, and N-200 thin films, respectively. These results indicate a clear development where the film thickness increases with higher reaction temperatures. This is attributed to enhanced nucleation and growth kinetics at elevated temperatures, leading to the formation of thicker films.
Figure 5B(a1–d1) presents the EDS spectra for the N-140, N-160, N-180, and N-200 samples, providing insights into their elemental composition. The spectra reveal the presence of Nb and O as the primary constituents, confirming the successful synthesis of Nb2O5. The inset table further quantifies the elemental composition in terms of weight percentage (wt.%), illustrating the consistency of elemental distribution across different samples. Additionally, EDS elemental mapping, as depicted in Figure 5B(a2–d2,a3–d3) for N-140, N-160, N-180, and N-200, respectively, was performed to assess the spatial distribution of Nb and O within the synthesized films. The mapping results indicate a homogeneous dispersion of elements, ensuring uniform material formation, which is crucial for maintaining consistent electrochemical and electrochromic properties.

4.2. Reaction Mechanism

In this study, the effect of hydrothermal temperature variation on the synthesis and reaction mechanism was meticulously explored. The synthesis begins with the dissolution of niobium chloride (NbCl5) in DI water, leading to the formation of hydrated niobic acid precursors as represented in Reaction (1). In the aqueous environment, the introduction of oxalic acid acts as a complexing agent, facilitating the formation of stable oxalate complexes. This step is critical as it stabilizes the Nb5+ ions and prevents premature precipitation. The reaction between hydrated niobic acid and oxalic acid produces [NbO(C2O4)2(H2O)2] and [NbO(C2O4)3]3− complexes, as illustrated in Reaction (2). It should be noted that during the course of the reaction, the oxalate ligands may undergo decomposition or transformation. The oxalate, once coordinated to the Nb center, may either be displaced by other ligands or decompose, potentially releasing CO2 as a byproduct. This occurs as a result of hydrolysis or oxidative processes depending on the reaction conditions. This step is significant in understanding the overall reaction mechanism as the oxalate is no longer present in the final product, either being removed or transformed into other species, as detailed in Reaction (3). The hydrolysis of Nb5+ ions in solution releases OH ions, which react with the oxalate complexes to regenerate hydrated niobium oxide. The process continues with thermal dehydration at elevated hydrothermal temperatures ( Δ ), resulting in the formation of pure Nb2O5, as shown in Reaction (3) [16]. The hydrothermal temperature is a crucial parameter in this mechanism, as it significantly impacts the nucleation, growth kinetics, and final crystallinity of the Nb2O5 material. At lower hydrothermal temperatures, the reaction rate slows, leading to the formation of smaller or less crystalline Nb2O5 structures. Conversely, the optimum hydrothermal temperatures promote rapid dehydration and enhanced crystallinity, yielding highly ordered Nb2O5 with improved structural properties. When the hydrothermal temperature is increased beyond the optimum level, the reaction kinetics are significantly accelerated. This rapid dehydration can lead to the formation of overly dense structures with reduced porosity, potentially hindering ionic transport and active site accessibility [20].
2 N b C l 5 H 2 O N b 2 O 5 · n H 2 O
N b 2 O 5 · n H 2 O C 2 H 2 O 4 N b O C 2 O 4 2 H 2 O 2 + N b O C 2 O 4 3 3 + C 2 O 4 2
N b O C 2 O 4 2 H 2 O 2 + N b O C 2 O 4 3 3 2 O H N b 2 O 5 · n H 2 O Δ N b 2 O 5 + H 2 O

4.3. Electrochromic Characteristics

The electrochemical performance of Nb2O5 thin films was systematically investigated using cyclic voltammetry (CV), chronocoulometry, and in-situ transmittance measurements in a three-electrode configuration. The electrolyte used was a 1 M LiClO4 + PC, enabling the intercalation and deintercalation of Li+ ions, a key mechanism underlying the films’ EC functionality. The CV response of Nb2O5 samples synthesized at varying hydrothermal temperatures (140 °C, 160 °C, 180 °C, and 200 °C) was recorded in the potential range of +1 V to −2 V at a scan rate of 10 mV/s (Figure 6a), allowing for a comprehensive evaluation of the effect of reaction temperature on electrochemical properties. The CV profiles revealed distinct broad redox peaks, notably at approximately −1.0 V and in the range of −1.3 V to −1.6 V, which are associated with the reversible oxidation and reduction processes facilitated by Li+ ion insertion and extraction within the Nb2O5 matrix. These redox reactions highlight the material’s electrochemical kinetics and EC modulation [1]. Among the samples, the Nb2O5 film synthesized at 180 °C (N-180) exhibited the most pronounced current response, indicating superior electrochemical activity. The enhanced performance of the N-180 sample can be attributed to its optimized structural and morphological characteristics, achieved through precise hydrothermal synthesis. At 180 °C, the material displayed a well-defined porous morphology and a high degree of crystallinity, which collectively facilitated efficient ion diffusion and electron transport [21]. In contrast, films synthesized at lower temperatures (N-140 and N-160) exhibited reduced electrochemical activity, likely due to the presence of structural defects, whereas the N-200 sample, fabricated at an elevated temperature, showed diminished performance due to excessive densification and a disruption in the porous network, which hindered ion accessibility and transport pathways. The CV analysis was extended across varying scan rates (10–100 mV/s) to evaluate the rate-dependent behavior and reversibility of the Nb2O5 electrodes, shown in Figure 6b–e. All samples maintained consistent CV profiles with symmetrical redox peaks across the tested range, indicating excellent structural stability and electrochemical reversibility. As the scan rate increased, a proportional broadening of the hysteresis loop was observed, reflecting enhanced Li+ ion insertion/extraction kinetics and higher electrochemical activity under dynamic conditions. Notably, the N-180 electrode exhibited the highest peak currents across all scan rates, highlighting its superior rate capability and capacity retention. This superior performance underscores the critical role of hydrothermal temperature in tuning the material’s structural characteristics, which directly influences ion diffusion and charge transfer efficiency.
The EC transition of Nb2O5 is governed by its reversible redox behavior, where color modulation occurs due to the intercalation and deintercalation of Li+ ions. During the cathodic scan, simultaneous insertion of Li+ ions and electrons induces the reduction of Nb5+ to Nb4+, initiating below −1 V. This reduction process leads to the formation of a deep blue coloration. On the other hand, in the anodic scan, Li+ ions are extracted, promoting the oxidation of Nb4+ to Nb5+. As a result, the film reverts to a transparent, bleached state, demonstrating its robust EC functionality. The redox reaction governing this process can be expressed as follows (4) [22]:
N b 2 O 5 c o l o r l e s s + x L i + + x e L i x N b 2 O 5 b l u e
Figure 6f provides critical insights into the rate-determining step of the electrochemical process and the diffusion coefficient, explaining the charge-transfer kinetics. A distinct linear correlation between peak current densities (ip) and the square root of the scan rate ( ϑ 1/2), signifies that the Li+ ion insertion mechanism is predominantly governed by solid-state diffusion. To quantify the diffusion behavior, the Randles–Sevcik equation was employed (5) [23]:
D 1 2 = i p 2.69 × 10 5 × n 3 / 2 × A × C × ϑ 1 / 2
where D represents the diffusion coefficient (cm2/s), ip is the peak current density (mA/cm2), n denotes the number of electrons participating in the redox reaction (assumed to be 1), A is the working electrode’s surface area (cm2), C is the active electrolyte ion concentration, and ϑ signifies the scan rate (mV/s). The diffusion coefficients calculated for Nb2O5 electrodes at a 10 mV/s scan rate revealed a systematic trend. During the oxidation process, N-180 exhibited the highest diffusion coefficient (1.15 × 10−9 cm2/s), followed by N-140 (0.47 × 10−9 cm2/s), N-160 (0.55 × 10−9 cm2/s), and N-200 (0.69 × 10−9 cm2/s). Similarly, during reduction, the diffusion coefficients followed a comparable order, with N-180 attaining the maximum value (1.4 × 10−9 cm2/s), surpassing N-140 (0.502 × 10−9 cm2/s), N-160 (0.607 × 10−9 cm2/s), and N-200 (0.84 × 10−9 cm2/s). The comparable performance is presented in Figure 6g. The variation in diffusion coefficients across different samples is attributed to the structural and morphological disparities in the films. A higher diffusion coefficient suggests enhanced Li+ mobility within the material, which is strongly influenced by its porous nanostructure. Notably, N-180 sample’s superior diffusion kinetics can be ascribed to its well-defined porous architecture, facilitating efficient ion transport through reduced diffusion pathways and abundant active sites. The interplay between the structural attributes and diffusion characteristics highlights the crucial role of film morphology in optimizing electrochemical performance [24].
Chronocoulometry (CC) was used to assess ion insertion and extraction during voltage application over time. The study examined how different nanostructures and reaction times affect charge dynamics, providing insights into the influence of these variables on the material’s electrochemical performance. CC measurements for the Nb2O5 electrodes were performed by applying voltage sweeps ranging from +1.0 V to −2.0 V vs. Ag/AgCl in a 1 M LiClO4+ PC electrolyte. This setup was used to evaluate the intercalation and deintercalation of Li+ ions. The charge versus time transients for the N-140, N-160, N-180, and N-200 samples are presented in Figure 7a–d. When charges are introduced into the Nb2O5 films through a diffusion process, cathodic polarization induces the reduction of Nb5+ to Nb4+, resulting in a colored state due to the intercalation of ions, typically Li+. During anodic polarization, the films revert to a bleached (colorless) state as the intercalated ions are extracted, with Nb4+ being oxidized back to Nb5+. This reversible process of ion intercalation (Qi) and de-intercalation (Qdi) governs the EC behavior of the Nb2O5 films, allowing for the modulation of color and electronic properties based on the applied voltage. The corresponding EC reversibility of the thin films was assessed by calculating the Qi and Qdi values, using the equation provided (6) [24]:
R e v e r s i b i l i t y = Q d i Q i × 100
Table 1 summarizes the Qi and Qdi values along with the EC reversibility percentages for N-140, N-160, N-180, and N-200 thin films, revealing that N-180 exhibited the highest reversibility at 99%. This exceptional performance is attributed to the optimized surface area and increased density of active sites in N-180, which facilitate efficient ion insertion and extraction processes. The enhanced ion transport pathways allow for faster and more complete intercalation and de-intercalation, minimizing charge retention and improving electrochemical stability. These results emphasize the significance of precise structural optimization, particularly the role of reaction temperature in achieving superior EC performance.
The EC behavior of Nb2O5 thin films synthesized at varying hydrothermal temperatures was systematically evaluated through in-situ optical transmittance measurements. These investigations, conducted using a UV–Vis spectrophotometer coupled with an electrochemical workstation, provided profound insights into the dynamic modulation of transmittance between the colored and bleached states. Measurements covering a broad spectral range (400–1100 nm) were performed with FTO glass as the reference baseline to ensure accurate optical assessments. Figure 8a–d presents the transmittance spectra of Nb2O5 thin films fabricated at reaction temperatures of 140 °C (N-140), 160 °C (N-160), 180 °C (N-180), and 200 °C (N-200) under applied electrochemical potentials. Upon cathodic polarization at −2 V, a remarkable color transformation to deep blue was observed, which is attributed to the electrochemical reduction process involving Li+ insertion and charge compensation. Conversely, anodic switching to +1 V (vs. Ag/AgCl) facilitated the extraction of Li+ ions, restoring the films to their bleached state, thus enabling the evaluation of their optical transparency. A comparative analysis of transmittance values in both states revealed significant variations across the samples, underscoring the critical influence of hydrothermal temperature on EC performance. Table 1 consolidates the in-situ transmittance values for the bleached (Tb %) and colored (Tc %) states, along with the optical modulation (ΔT = Tb − Tc) at 600 nm, a key wavelength in the visible spectrum. All samples exhibited high optical transmittance in their bleached states; however, substantial differences emerged in their coloration characteristics. Notably, the N-180 film demonstrated the lowest transmittance in the colored state (7.07% at 600 nm), dominating N-140 (16.07%), N-160 (13.41%), and N-200 (13.2%). These variations highlight the substantial impact of nanostructural and morphological attributes on EC efficiency [25]. Further supporting this, Figure 8e visually illustrates the superior color-switching capability of the N-180 film, transitioning from a fully transparent state to an intense dark blue coloration. The optical modulation parameter, which quantitatively expresses the extent of transmittance variation, strengthened these findings. The N-180 film exhibited an outstanding ΔT of 74.13% at 600 nm, significantly superior than the values observed for N-140 (42.63%), N-160 (60.64%), and N-200 (66.82%). This exceptional performance can be imputed to the optimized hydrothermal temperature, which enhances charge-transfer kinetics, promotes a highly porous and electrochemically active nanostructure, and facilitates rapid Li+ diffusion. Overall, the findings demonstrate that the hydrothermal reaction temperature plays a pivotal role in dictating the EC properties of Nb2O5 thin films. The N-180 sample emerged as the optimal composition, exhibiting remarkable EC reversibility, and superior optical modulation. The enhanced performance is likely a result of the film’s well-balanced nanostructure, providing both high surface area and efficient ion transport pathways, thereby maximizing electrochemical response and optical contrast [26,27].
The EC performance of Nb2O5 thin films synthesized under different hydrothermal temperatures was thoroughly assessed by evaluating their coloration efficiency (CE). As a fundamental parameter governing EC performance, CE represents the optical modulation capability of the material per unit charge density and is mathematically expressed as (7) [28]:
CE = Δ O D Q i A
where Qi/A denotes the charge inserted per unit area of the working electrode, which is derived from the CC plot. The optical density variation (ΔOD) is a charge-dependent function defined by (8) [29]:
Δ O D = l n T b T c
where Tb and Tc correspond to the transmittance values of the thin film in its bleached and colored states, respectively. This parameter fundamentally dictates the degree of optical contrast achieved during the EC switching process. Table 1 presents the ΔOD and CE values for the Nb2O5 thin films synthesized at hydrothermal reaction temperatures of 140 °C (N-140), 160 °C (N-160), 180 °C (N-180), and 200 °C (N-200). A direct correlation between ΔOD and CE was observed, with the N-180 thin film exhibiting the highest values. At 600 nm, the N-180 sample demonstrated a superior CE of 81.33 cm2/C, significantly incomparable to those of the other films. Figure 8f depicts the equivalent EC parameters of all samples in terms of optical modulation and CE, which can relate their performance metrics. The exceptional EC response of N-180 is intrinsically linked to its well-defined porous morphology, which provides a highly accessible framework for efficient charge transport and Li+ intercalation. The structural refinement at this specific reaction temperature resulted in a highly dispersed Nb2O5 matrix, enabling greater interaction between Nb atoms and Li+ ions. This interaction is crucial in the formation of stable niobium bronze complexes (LixNb2O5) which play a pivotal role in enhancing coloration efficiency [30]. Comparative analysis with the other samples underscores the influence of hydrothermal temperature variation on EC performance. The N-140, N-160, and N-200 films, despite exhibiting notable EC activity, displayed relatively lower ΔOD and CE values due to suboptimal structural characteristics. The N-140 sample suffered from limited ion diffusion due to its dense and less porous nature, whereas the N-200 film exhibited excessive grain growth, leading to structural coalescence that hindered effective charge intercalation. Herein, this study reveals that hydrothermal temperature plays a crucial role in determining the EC properties of Nb2O5 thin films. The optimized reaction conditions at 180 °C resulted in an ideal nanostructural arrangement, facilitating improved optical modulation, making it a strong candidate for high-performance smart window applications and other energy-efficient EC devices.
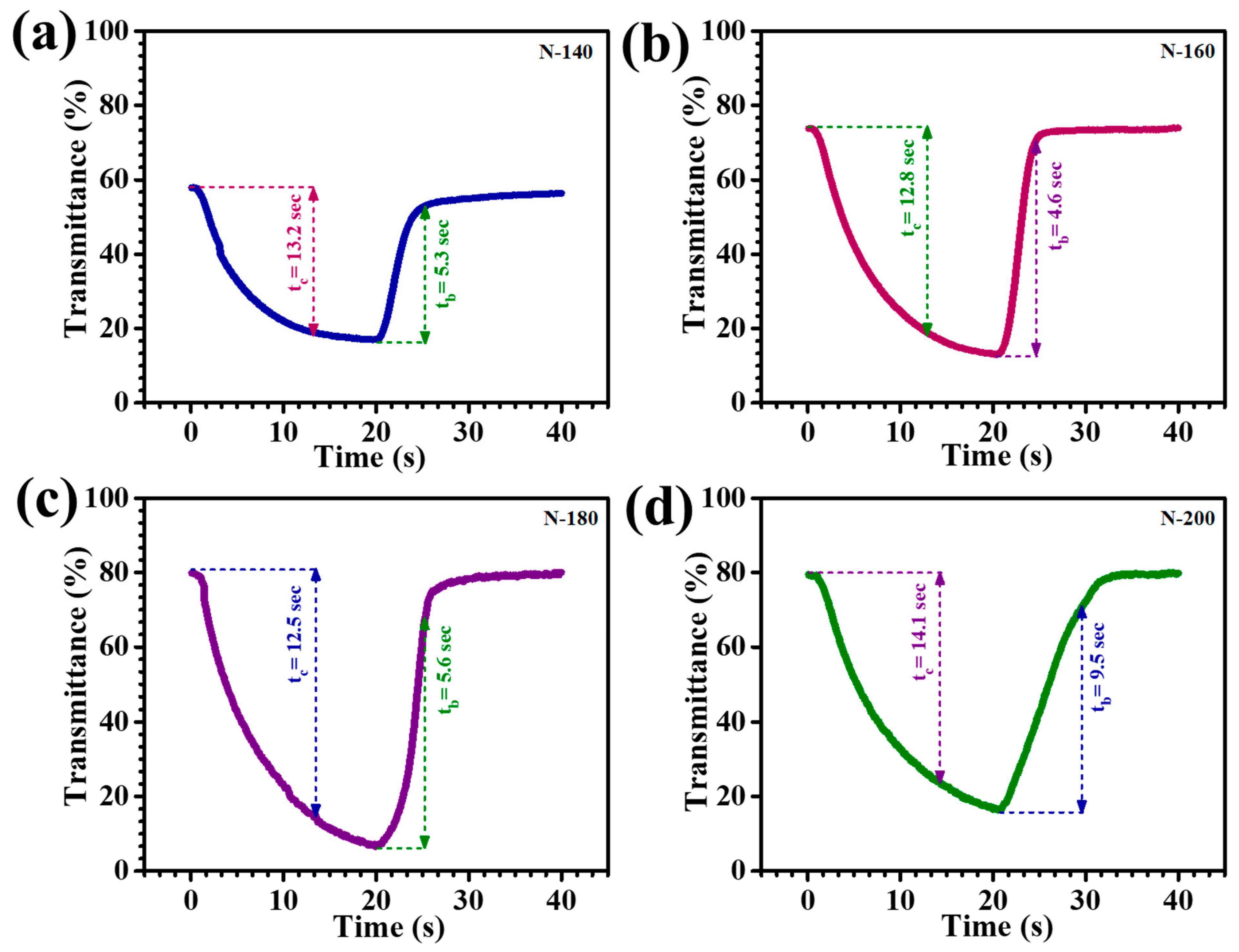
The rate at which EC films transition between their colored and transparent states is a critical parameter determining their functionality and practical application. The coloration time refers to the duration required for the film to attain its fully colored state, while the bleaching time indicates the time needed to revert to transparency. Rapid coloration and bleaching are essential for enhancing the usability of EC films in applications such as smart windows and electronic displays, where swift optical transitions are required to meet dynamic operational demands. In this study, the switching characteristics of Nb2O5 thin films were evaluated by monitoring the in-situ transmittance at 600 nm under a cyclic voltage step between +1 V and −2 V vs. Ag/AgCl. The switching times for coloration and bleaching were determined over a 20-s interval, providing insights into the films’ optical response and dynamic performance. The in-situ transmittance plots, shown in Figure 9a N-140, Figure 9b N-160, Figure 9c N-180, and Figure 9d N-200, illustrate the efficiency and speed of optical modulation, highlighting the potential of these heterostructures for advanced EC applications. The response time of EC films was determined as the time required to achieve 90% of the total transmittance change. These switching depend on electron transfer and the diffusion rate of Li+ ions. Table 1 summarizes the coloration (tc) and bleaching (tb) times for each thin film. This indicates that the Li+ extraction process (bleaching) is faster than insertion (coloration), consistent with typical EC behavior. The faster bleaching in N-180 thin films can be attributed to the higher electronic conductivity of the bleached states, likely due to the presence of LixNb2O5 phase [31].
The long-term cycling stability of EC materials plays a pivotal role in determining their viability for smart window applications, where durability and consistent performance over extended cycles are paramount. In this study, the influence of hydrothermal reaction temperature on the cycling stability of Nb2O5 thin films was systematically examined through in-situ transmittance measurements at 600 nm during repeated coloration and bleaching cycles. The films were subjected to alternating potentials within a three-electrode electrochemical setup, within a voltage range of +1 V to −2 V. Among the synthesized films, the N-180 sample exhibited superior EC stability, retaining a remarkable optical modulation with an almost negligible decline of 1.4% over 5000 s of continuous cycling (Figure 10a). The film demonstrated sustained EC reversibility, maintaining a stable coloration and bleaching response even after prolonged ion intercalation/deintercalation cycles, showcasing a consistent EC response without significant attenuation, thereby confirming the film’s robust electrochemical durability. In contrast, the other samples, N-140, N-160, and N-200 displayed a considerable decline in their EC performance over 1000 s of cycling, with optical modulation reductions of 29%, 12.07%, and 12.6%, respectively (Figure 10b N-140, Figure 10c N-160, and Figure 10d N-200). The pronounced degradation observed in these films can be ascribed to the presence of excess ion-trapping sites and structural inconsistencies, which hinder efficient charge transfer and induce irreversible electrochemical losses. Over time, N-140 film exhibited a noticeable decrease in their bleached and colored state transmittance, while for N-160 and N-200 films, their colored-state transmittance relatively unstable, indicative of ion accumulation and limited reversibility in charge exchange processes. The exceptional stability of the N-180 film resulted from its optimal nanostructural configuration, achieved through precise hydrothermal temperature modulation. The film’s uniform morphology and well-defined porous network enhance Li+ ion diffusion dynamics, mitigating ion-trapping effects and ensuring sustained EC activity. Thus, by fine-tuning the synthesis temperature, a significant enhancement in EC material longevity and performance can be achieved, paving the way for next-generation energy-efficient smart window technologies.
The XRD pattern of the N-180 thin film after long-term cycling is presented in Figure 11a. The diffraction peaks remain well-aligned with those of the pristine sample, indexed to the T-Nb2O5 phase (JCPDS card no. 00-030-0875). This suggests that the overall crystal structure remains stable even after extended electrochemical cycling. However, a slight shift in peak positions and minor noise in the XRD pattern indicate a small degree of structural distortion, possibly due to lattice strain or minor phase relaxation caused by prolonged ion intercalation and deintercalation during cycling. To further investigate degradation at the electronic structure level, the XPS analysis was conducted on the N-180 thin film post-cycling (Figure 11b,c). The high-resolution Nb 3d spectrum (Figure 11b) exhibit the characteristic Nb5+ peaks at 207.08 eV and 209.45 eV, consistent with the pristine sample. However, additional peaks at 207.70 eV and 209.97 eV corresponding to the Nb4+ state are observed after cycling. The emergence of Nb4+ states suggests partial reduction of Nb5+ due to prolonged redox cycling, indicating a gradual loss of oxygen or subtle changes in the local Nb-O bonding environment. In contrast, the O 1s spectrum (Figure 11c) exhibits no significant new features apart from a slight peak shift, suggesting minor structural rearrangements rather than severe degradation. Based on the XRD and XPS findings, the primary degradation mechanism appears to involve subtle lattice distortions and partial Nb5+ to Nb4+ reduction rather than drastic structural collapse or severe electrolyte-induced degradation. These observations suggest that while the N-180 thin film maintains its crystalline integrity over extended cycling, minor structural variations and electronic state changes occur, which could impact long-term performance.
Over the past 25 years, extensive research has been conducted on pristine and doped Nb2O5 thin films for EC applications. However, comparing these studies remains challenging due to the varying synthesis conditions and processing techniques. To address this, we have compiled a comparative analysis of Nb2O5-based EC materials, highlighting the superior EC performance of our optimized N-180 sample, presented in Table 2. The T-Nb2O5 phase with a well-defined nanostructured morphology is a key factor contributing to its exceptional coloration efficiency, optical modulation, and electrochemical reversibility. Several recent studies have explored Nb2O5-based heterostructures and composite systems to enhance EC properties including Y. Park et al. reported WO3/Nb2O5 stacked films for electrochromic application by sputtering method. They found irregular shaped particles morphology having 82.21% optical modulation and 83.33 cm2/C coloration efficiency [32]. E. Costa et al. studied Nb2O5-TiO2 mixed oxides, synthesized via sol-gel/dip coating method. The shown homogeneous small particles exhibited 60% optical modulation [33]. Furthermore, A. Santhosh et al. reported the study of Nb2O5-NiO mixed oxide films prepared by simple spin coating technique, which absorbed 65% IR radiation [34]. N. Usha et al. reported the electrochromic study of Nb2O5:MoO3 thin films prepared by RF magnetron sputtering. This study exhibited the coloration efficiency of 2.303 mm2/C [35]. N. Akkurt et al. studied graphene doped Nb2O5 thin films prepared by a thermionic vacuum arc technique. They reported the highest coloration efficiency of 56 cm2/C at 550 nm with optical modulation of 42% [36]. C. Tang et al. studied WO3-Nb2O5 electrochromic films deposited via magnetron sputtering. The film exhibited larger grains surface morphology that showed 75.5% transmittance modulation at 633 nm with 35.2 cm2/C coloration efficiency [37]. G. Azevedo et al. reported sol-gel prepared Nb2O5:Li+:V2O5 material for advanced EC application; it demonstrated 66% of optical transmittance at 633 nm [38]. A. Kumar et al. studied W-doped Nb2O5, synthesized via dip coating method exhibited nano-fibrous morphology. They demonstrated 68.7 cm2/C coloration efficiency at 600 nm [39]. By integrating these insights, we demonstrate that the N-180 Nb2O5 thin film outperforms several reported systems, particularly in terms of coloration efficiency, reversibility, and overall EC response. The exceptional performance is attributed to the T-Nb2O5 crystal structure, which provides enhanced ion transport pathways and a stable nanostructured morphology. This reinforces the novelty and scalability of our approach for practical EC applications.

5. Electrochromic Device

The practical realization of EC materials into functional devices is a fundamental step toward their commercial integration, particularly for advanced smart window technologies. In this study, the superior-performing N-180 thin film, synthesized via a hydrothermal approach, was employed as the core EC component in a large-scale prototype device. The architectural configuration adhered to a conventional sandwich-type assembly, encompassing an EC working electrode, an electrolyte medium, and a counter electrode layer, ensuring optimal charge transport and electrochemical stability. The fabricated device exhibited exceptional EC modulation, as evidenced by the distinct optical transition captured in Figure 12a. Upon the application of an external voltage, the device transitioned seamlessly from a transparent (bleached) state to a deep blue (colored) state, underscoring its dynamic EC functionality. To quantify its EC dynamics, in-situ transmittance spectra were recorded over the 400–1000 nm wavelength range (Figure 12b), revealing a substantial optical modulation, peaking at 72.35% at 600 nm. Such a remarkable performance affirms the superior light regulation capability of the synthesized Nb2O5 film, aligning with the demands for energy-efficient smart windows and display technologies. This striking color shift endorses the excellent Li+ ion intercalation/deintercalation capability of the N-180 thin film, which is essential for achieving high contrast and rapid switching kinetics. Furthermore, the long-term durability of the EC device was examined through cyclic coloration and bleaching over a period of 1000 s (Figure 12c). The optical contrast remained stable during the initial cycles, confirming the structural integrity of the material under continuous operation. However, a slight decline of 4.07% in optical modulation was observed over prolonged cycling. Despite this minor degradation, the overall stability of the EC response validate the scalability of the synthesized films. The results unequivocally demonstrate that the hydrothermal temperature-optimized N-180 thin film not only delivers superior EC performance on electrode scale but also retains its efficacy in large-scale device configurations. This breakthrough strengthens its potential for next-generation smart windows and other advanced optoelectronic applications, where efficiency, durability, and scalability are paramount.

6. Conclusions

In summary, this study precisely investigated the influence of hydrothermal temperature variation on the structural, morphological, and EC properties of Nb2O5 thin films, shedding light on their potential for next-generation energy-efficient smart window applications. The controlled synthesis of Nb2O5 at different temperatures (140 °C, 160 °C, 180 °C, and 200 °C) revealed a profound impact on surface morphology, crystallinity, and electrochemical behavior. At optimal temperature (180 °C), a well-defined nanostructured morphology emerged, characterized by a highly porous framework with interconnected grains. This structural evolution enhanced the electrochemical active surface area, facilitating efficient charge transfer and superior ion intercalation/deintercalation kinetics, thereby maximizing the material’s EC capabilities. Notably, the N-180 film demonstrated the most favorable EC performance, exhibiting a pronounced optical modulation of 74.13% at 600 nm, rapid switching dynamics (tc = 12.5 s and tb = 5.6 s) and high coloration efficiency of 81.33 cm2/C. Moreover, cyclic stability assessments revealed that the film retained a considerable fraction of its EC activity over prolonged operational cycles, affirming the structural robustness of the synthesized material. The assembled EC device, incorporating the optimized thin film, showcased excellent reversible optical transitions, with a substantial modulation in the visible region. The insights gained from this study provide a strong foundation for advancing Nb2O5-based EC materials, paving the way for their integration into smart energy devices, flexible optoelectronics, and adaptive display technologies. Ultimately, this work contributes significantly to the growing demand for high-performance, scalable EC materials, fostering innovations in sustainable energy and intelligent optical systems.

Author Contributions

R.U.A.: writing—original draft, conceptualization, methodology; P.J.M.: investigation, visualization, validation, review; N.A.A.: review and editing, formal analysis; C.-W.J.: supervision, writing—review and editing, project administration, funding acquisition. All authors have read and agreed to the published version of the manuscript.

Funding

This work was supported by a Korea Institute of Energy Technology Evaluation and Planning (KETEP) grant funded by the Korean government (MOTIE) (No. 20204010600100, Hydrogen Education and Research Consortium).

Institutional Review Board Statement

Not applicable.

Informed Consent Statement

Not applicable.

Data Availability Statement

The data presented in this study are available on request from the corresponding author. The data are not publicly available due to restrictions.

Acknowledgments

This work was supported by a Korea Institute of Energy Technology Evaluation and Planning (KETEP) grant funded by the Korean government (MOTIE) (No. 20204010600100, Hydrogen Education and Research Consortium).

Conflicts of Interest

The authors declare no conflicts of interest.

References

  1. Koo, B.-R.; Jo, M.-H.; Kim, K.-H.; Ahn, H.-J. Amorphous-Quantized WO3·H2O Films as Novel Flexible Electrodes for Advanced Electrochromic Energy Storage Devices. Chem. Eng. J. 2021, 424, 130383. [Google Scholar] [CrossRef]
  2. Dalavi, D.S.; Desai, R.S.; Patil, P.S. Nanostructured Materials for Electrochromic Energy Storage Systems. J. Mater. Chem. A 2022, 10, 1179–1226. [Google Scholar] [CrossRef]
  3. Lu, H.-C.; Zydlewski, B.Z.; Tandon, B.; Shubert-Zuleta, S.A.; Milliron, D.J. Understanding the Role of Charge Storage Mechanisms in the Electrochromic Switching Kinetics of Metal Oxide Nanocrystals. Chem. Mater. 2022, 34, 5621–5633. [Google Scholar] [CrossRef]
  4. Kumar, R.; Pathak, D.K.; Chaudhary, A. Current Status of Some Electrochromic Materials and Devices: A Brief Review. J. Phys. D Appl. Phys. 2021, 54, 503002. [Google Scholar] [CrossRef]
  5. Ye, T.; Xiang, Y.; Ji, H.; Hu, C.; Wu, G. Electrodeposition-Based Electrochromic Devices with Reversible Three-State Optical Transformation Using Titanium Dioxide Nanoparticle-Modified FTO Electrode. RSC Adv. 2016, 6, 30769–30775. [Google Scholar] [CrossRef]
  6. Verma, A.; Singh, P. Sol-Gel Derived Nanostructured Niobium Pentoxide Thin Films for Electrochromic Applications. Indian J. Chem. Sect. A 2013, 52, 593–598. [Google Scholar]
  7. Yu, C.; Ma, D.; Wang, Z.; Zhu, L.; Guo, H.; Zhu, X.; Wang, J. Solvothermal Growth of Nb2O5 Films on FTO Coated Glasses and Their Electrochromic Properties. Ceram. Int. 2021, 47, 9651–9658. [Google Scholar] [CrossRef]
  8. Zhao, G.; Ye, C.; Zhang, L.; Li, C.; Sun, K. T-Nb2O5 Quantum Dots Prepared by Electrodeposition for Fast Li Ion Intercalation/Deintercalation. Nanotechnology 2017, 28, 215401. [Google Scholar] [CrossRef]
  9. Ouendi, S.; Arico, C.; Blanchard, F.; Codron, J.-L.; Wallart, X.; Taberna, P.L.; Roussel, P.; Clavier, L.; Simon, P.; Lethien, C. Synthesis of T-Nb2O5 Thin-Films Deposited by Atomic Layer Deposition for Miniaturized Electrochemical Energy Storage Devices. Energy Storage Mater. 2019, 16, 581–588. [Google Scholar] [CrossRef]
  10. Sun, J.; Chen, G.; Wu, J.; Dong, H.; Xiong, G. Bismuth Vanadate Hollow Spheres: Bubble Template Synthesis and Enhanced Photocatalytic Properties for Photodegradation. Appl. Catal. B Environ. 2013, 132, 304–314. [Google Scholar] [CrossRef]
  11. Kong, L.; Liu, X.; Wei, J.; Wang, S.; Xu, B.B.; Long, D.; Chen, F. T-Nb2O5 Nanoparticle Enabled Pseudocapacitance with Fast Li-Ion Intercalation. Nanoscale 2018, 10, 14165–14170. [Google Scholar] [CrossRef] [PubMed]
  12. Come, J.; Augustyn, V.; Kim, J.W.; Rozier, P.; Taberna, P.-L.; Gogotsi, P.; Long, J.W.; Dunn, B.; Simon, P. Electrochemical Kinetics of Nanostructured Nb2O5 Electrodes. J. Electrochem. Soc. 2014, 161, A718. [Google Scholar] [CrossRef]
  13. Salim, E.T.; Ismail, R.A.; Halbos, H.T. Growth of Nb2O5 Film Using Hydrothermal Method: Effect of Nb Concentration on Physical Properties. Mater. Res. Express 2019, 6, 116429. [Google Scholar] [CrossRef]
  14. Wang, W.-N.; Widiyastuti, W.; Ogi, T.; Lenggoro, I.W.; Okuyama, K. Correlations Between Crystallite/Particle Size and Photoluminescence Properties of Submicrometer Phosphors. Chem. Mater. 2007, 19, 1723–1730. [Google Scholar] [CrossRef]
  15. Ong, G.K.; Saez Cabezas, C.A.; Dominguez, M.N.; Skjærvø, S.L.; Heo, S.; Milliron, D.J. Electrochromic Niobium Oxide Nanorods. Chem. Mater. 2019, 32, 468–475. [Google Scholar] [CrossRef]
  16. Amate, R.U.; Morankar, P.J.; Chavan, G.T.; Teli, A.M.; Desai, R.S.; Dalavi, D.S.; Jeon, C.-W. Bi-functional Electrochromic Supercapacitor Based on Hydrothermal-grown 3D Nb2O5 Nanospheres. Electrochim. Acta 2023, 459, 142522. [Google Scholar] [CrossRef]
  17. Jehng, J.M.; Wachs, I.E. Structural Chemistry and Raman Spectra of Niobium Oxides. Chem. Mater. 1991, 3, 100–107. [Google Scholar] [CrossRef]
  18. Amate, R.U.; Morankar, P.J.; Teli, A.M.; Beknalkar, S.A.; Jeon, C.-W. Molybdenum-Modified Niobium Oxide: A Pathway to Superior Electrochromic Materials for Smart Windows and Displays. Crystals 2024, 14, 906. [Google Scholar] [CrossRef]
  19. Wen, R.-T.; Granqvist, C.G.; Niklasson, G.A. Eliminating Degradation and Uncovering Ion-Trapping Dynamics in Electrochromic WO3 Thin Films. Nat. Mater. 2015, 14, 996–1001. [Google Scholar] [CrossRef]
  20. Huang, R.; Shen, Y.; Zhao, L.; Yan, M. Effect of Hydrothermal Temperature on Structure and Photochromic Properties of WO3 Powder. Adv. Powder Technol. 2012, 23, 211–214. [Google Scholar] [CrossRef]
  21. Xie, S.; Bi, Z.; Chen, Y.; He, X.; Guo, X.; Gao, X.; Li, X. Electrodeposited Mo-Doped WO3 Film with Large Optical Modulation and High Areal Capacitance Toward Electrochromic Energy-Storage Applications. Appl. Surf. Sci. 2018, 459, 774–781. [Google Scholar] [CrossRef]
  22. Pat, S.; Korkmaz, Ş. Enhanced Cycle Performance and Stability for an Electrochromic Application; Detailed Surface and Electrochromic Analysis of MXene (Ti2AlC)-Doped Nb2O5 Cathodic Coloration Layer. 2D Mater. 2021, 8, 045013. [Google Scholar] [CrossRef]
  23. Wang, Y.; Zeng, J.; Zhou, Z.; Shen, G.; Tang, T.; Sagar, R.U.R.; Qi, X. Growth of a High-Performance WO3 Nanofilm Directly on a Polydopamine-Modified ITO Electrode for Electrochromism and Power Storage Applications. Appl. Surf. Sci. 2022, 573, 151603. [Google Scholar] [CrossRef]
  24. Morankar, P.J.; Amate, R.U.; Teli, A.M.; Beknalkar, S.A.; Jeon, C.-W. Exploring Electrochromic Performance via Layered Deposition of Tungsten Oxide on Niobium Oxide Composite Electrode. J. Power Sources 2024, 613, 234930. [Google Scholar] [CrossRef]
  25. Panetta, R.; Latini, A.; Pettiti, I.; Cavallo, C. Synthesis and Characterization of Nb2O5 Mesostructures with Tunable Morphology and Their Application in Dye-Sensitized Solar Cells. Mater. Chem. Phys. 2017, 202, 289–301. [Google Scholar] [CrossRef]
  26. Adhikari, S.; Sarkar, D. Hydrothermal Synthesis and Electrochromism of WO3 Nanocuboids. RSC Adv. 2014, 4, 20145–20153. [Google Scholar] [CrossRef]
  27. Xu, K.; Wang, L.; Xiong, S.; Ge, C.; Wang, L.; Wang, B.; Wang, W.; Chen, M.; Liu, G. Hydrothermally Prepared Ultra-Stable Multilayer Nanoflake NiO-Based Electrochromic Films. Electrochim. Acta 2023, 441, 141812. [Google Scholar] [CrossRef]
  28. Bhattacharjee, S.; Sen, S.; Samanta, S.; Kundu, S. Study on the Role of rGO in Enhancing the Electrochromic Performance of WO3 Film. Electrochim. Acta 2022, 427, 140820. [Google Scholar] [CrossRef]
  29. Arvizu, M.A.; Niklasson, G.A.; Granqvist, C.-G. Electrochromic W1–x–yTixMoyO3 Thin Films Made by Sputter Deposition: Large Optical Modulation, Good Cycling Durability, and Approximate Color Neutrality. Chem. Mater. 2017, 29, 2246–2253. [Google Scholar] [CrossRef]
  30. Hu, A.; Jiang, Z.; Kuai, C.; McGuigan, S.; Nordlund, D.; Liu, Y.; Lin, F. Uncovering Phase Transformation, Morphological Evolution, and Nanoscale Color Heterogeneity in Tungsten Oxide Electrochromic Materials. J. Mater. Chem. A 2020, 8, 20000–20010. [Google Scholar] [CrossRef]
  31. Bathe, S.R.; Patil, P. Influence of Nb Doping on the Electrochromic Properties of WO3 Films. J. Phys. D Appl. Phys. 2007, 40, 7423. [Google Scholar] [CrossRef]
  32. Park, Y.J.; Kang, K.M.; Kang, J.H.; Han, S.H.; Jang, H.S.; Lee, J.Y.; Yoon, T.S.; Nah, Y.C.; Kim, D.H. Enhancement of electrochromic response and cyclic durability of WO3 thin films by stacking Nb2O5 layers. Appl. Surf. Sci. 2022, 582, 152431. [Google Scholar] [CrossRef]
  33. Costa, E.D.; Avellaneda, C.O.; Pawlicka, A. Alternative Nb2O5-TiO2 thin films for electrochromic devices. J. Mater. Sci. 2001, 36, 1407–1410. [Google Scholar] [CrossRef]
  34. Santhosh, S.; Balamurugan, K.; Mathankumar, M.; Shankar, K.; Subramanian, B. Electrochromic and optical studies on Nb2O5–NiO mixed oxide films for smart window applications. Opt. Mater. 2023, 135, 113248. [Google Scholar] [CrossRef]
  35. Usha, N.; Sivakumar, R.; Sanjeeviraja, C. Structural, optical and electrochromic properties of Nb2O5:MoO3 (95:5, 90:10, and 85:15) thin films prepared by RF magnetron sputtering technique. Mater. Lett. 2018, 229, 189–192. [Google Scholar] [CrossRef]
  36. Akkurt, N.; Pat, S.; Mohammadigharehbagh, R.; Olkun, A.; Korkmaz, Ş. Electrochromic properties of graphene doped Nb2O5 thin film. ECS J. Solid State Sci. Technol. 2020, 9, 125004. [Google Scholar] [CrossRef]
  37. Tang, C.J.; He, J.L.; Jaing, C.C.; Liang, C.J.; Chou, C.H.; Han, C.Y.; Tien, C.L. An all-solid-state electrochromic device based on WO3–Nb2O5 composite films prepared by fast-alternating bipolar-pulsed reactive magnetron sputtering. Coatings 2018, 9, 9. [Google Scholar] [CrossRef]
  38. Azevedo, G.F.; Lemos, R.M.J.; Andrade, J.; Castagno, K.R.L.; Gundel, A.; Cholant, C.M.; Azevedo, C.F.; Pawlicka, A.; Avellaneda, C.O. Influence of Li+:V2O5 doping on Nb2O5 thin films electrochemical performance. Mol. Cryst. Liquid Cryst. 2017, 655, 71–78. [Google Scholar] [CrossRef]
  39. Kumar, A.; Sahay, P.P. Microstructural, optical and electrochromical properties of W-doped Nb2O5 thin films prepared by dip-coating process using sols obtained by the chloroalkoxide route. J. Mater. Sci. Mataer. Electron. 2019, 30, 17999–18014. [Google Scholar] [CrossRef]
Figure 1. Schematic illustration of the synthesis process for Nb2O5 thin films via the hydrothermal method.
Figure 1. Schematic illustration of the synthesis process for Nb2O5 thin films via the hydrothermal method.
Materials 18 01264 g001
Figure 2. (a) XRD patterns of Nb2O5 thin films synthesized at different hydrothermal temperatures, (be) Raman spectra of N-140, N-160, N-180, and N-200 thin films.
Figure 2. (a) XRD patterns of Nb2O5 thin films synthesized at different hydrothermal temperatures, (be) Raman spectra of N-140, N-160, N-180, and N-200 thin films.
Materials 18 01264 g002
Figure 3. (a) XPS survey spectrum of the N-180 sample, high-resolution (b) Nb 3d spectrum, and (c) O 1s spectrum.
Figure 3. (a) XPS survey spectrum of the N-180 sample, high-resolution (b) Nb 3d spectrum, and (c) O 1s spectrum.
Materials 18 01264 g003
Figure 4. FE-SEM images of (A) (a1a3) N-140, (b1b3) N-160, (c1c3) N-180, and (d1d3) N-200 samples at different magnifications, (B) (a) grain size of samples, (b) schematic presentation of morphological evolution from cracked to porous to dense.
Figure 4. FE-SEM images of (A) (a1a3) N-140, (b1b3) N-160, (c1c3) N-180, and (d1d3) N-200 samples at different magnifications, (B) (a) grain size of samples, (b) schematic presentation of morphological evolution from cracked to porous to dense.
Materials 18 01264 g004
Figure 5. (A) (ad) Cross-section images of all samples, (B) EDS and elemental mapping analysis of (a1a3) N-140, (b1b3) N-160, (c1c3) N-180, and (d1d3) N-200 samples.
Figure 5. (A) (ad) Cross-section images of all samples, (B) EDS and elemental mapping analysis of (a1a3) N-140, (b1b3) N-160, (c1c3) N-180, and (d1d3) N-200 samples.
Materials 18 01264 g005
Figure 6. (a) Cyclic voltammetry profiles of all Nb2O5 thin films recorded at a scan rate of 10 mV/s, CV curves of (b) N-140, (c) N-160, (d) N-180, and (e) N-200 samples at different scan rates (10–100 mV/s), (f) linear relationship between peak current and square root of scan rate, and (g) assessment of diffusion coefficient.
Figure 6. (a) Cyclic voltammetry profiles of all Nb2O5 thin films recorded at a scan rate of 10 mV/s, CV curves of (b) N-140, (c) N-160, (d) N-180, and (e) N-200 samples at different scan rates (10–100 mV/s), (f) linear relationship between peak current and square root of scan rate, and (g) assessment of diffusion coefficient.
Materials 18 01264 g006
Figure 7. Chronocoulometry plots of (a) N-140, (b) N-160, (c) N-180, and (d) N-200 thin films.
Figure 7. Chronocoulometry plots of (a) N-140, (b) N-160, (c) N-180, and (d) N-200 thin films.
Materials 18 01264 g007
Figure 8. In-situ transmittance spectrum of (a) N-140, (b) N-160, (c) N-180, and (d) N-200 thin films at the colored and bleached states from 400 to 1100 nm range, and (e) digital photographs of N-180 thin film in both states, (f) comparative evaluation of electrochromic performance parameters of all samples.
Figure 8. In-situ transmittance spectrum of (a) N-140, (b) N-160, (c) N-180, and (d) N-200 thin films at the colored and bleached states from 400 to 1100 nm range, and (e) digital photographs of N-180 thin film in both states, (f) comparative evaluation of electrochromic performance parameters of all samples.
Materials 18 01264 g008
Figure 9. Electrochromic switching response time of (a) N-140, (b) N-160, (c) N-180, and (d) N-200 thin films in the colored and bleached state.
Figure 9. Electrochromic switching response time of (a) N-140, (b) N-160, (c) N-180, and (d) N-200 thin films in the colored and bleached state.
Materials 18 01264 g009
Figure 10. (a) The long-term transmittance stability over 5000 s duration of N-180 sample, transmittance stability profiles of (b) N-140, (c) N-160, and (d) N-200 samples measured for 1000 s.
Figure 10. (a) The long-term transmittance stability over 5000 s duration of N-180 sample, transmittance stability profiles of (b) N-140, (c) N-160, and (d) N-200 samples measured for 1000 s.
Materials 18 01264 g010
Figure 11. (a) XRD pattern of N-180 sample after stability test, (b) Nb 3d core-level spectrum, and (c) O 1s core-level spectrum of N-180 film after stability.
Figure 11. (a) XRD pattern of N-180 sample after stability test, (b) Nb 3d core-level spectrum, and (c) O 1s core-level spectrum of N-180 film after stability.
Materials 18 01264 g011
Figure 12. (a) Photograph of N-180 EC device in its colored and bleached states, (b) in-situ transmittance spectrum of N-180 device, and (c) stability test of the EC device.
Figure 12. (a) Photograph of N-180 EC device in its colored and bleached states, (b) in-situ transmittance spectrum of N-180 device, and (c) stability test of the EC device.
Materials 18 01264 g012
Table 1. Electrochromic performance evaluation of N-140, N-160, N-180, and N-200 thin films synthesized at variable hydrothermal temperatures.
Table 1. Electrochromic performance evaluation of N-140, N-160, N-180, and N-200 thin films synthesized at variable hydrothermal temperatures.
Sample CodeCharge Intercalation (Qi) (C/cm2)Charge Deintercalation
(Qdi) (C/cm2)
Reversibility (%)Coloration Time
(s) (tC)
Bleaching
Time
(s) (tb)
Tb %TC %Optical Modulation
(ΔT600nm%)
Optical Density (ΔOD)Coloration Efficiency
(cm2/C)
N-1400.0580.05697%13.25.358.7%16.0742.63%2.543.10
N-1600.0650.06498%12.84.674.05%13.41%60.64%3.452.3
N-1800.060.059899%12.55.681.2%7.07%74.13%4.8881.33
N-2000.0680.06698%14.19.580.02%13.2%66.82%3.653.04
Table 2. Comparative analysis of electrochromic performance with reported Nb2O5-based compositions.
Table 2. Comparative analysis of electrochromic performance with reported Nb2O5-based compositions.
Sr. No.MaterialMethodMorphologyΔT%Coloration Efficiency (cm2/C)Switching SpeedDevice ΔT%StabilityRef.
1WO3/Nb2O5SputteringIrregular particles82.21
(630 nm)
83.33tb: 0.55 s
tc: 1.79 s
-3500 cycles (40% loss)[32]
2Nb2O5-TiO2Sol-gel/dip coatingSmall particles60%---200 s[33]
3Nb2O5-NiOSpin coating-65% IR----[34]
4Nb2O5:MoO3Sputtering-20%
(630 nm)
2.303 mm2/C---[35]
5Graphene-doped Nb2O5Thermionic vacuum arc-42%
(550 nm)
56 tb: 3.4 s
tc: 1.5 s
-2000 s[36]
6WO3-Nb2O5SputteringLarger grain75.5%
(633 nm)
35.2tb: 0.7 s
tc: 7 s
33%180 cycle[37]
7Nb2O5:Li+:V2O5Sol-gelSmall grains66%
(633 nm)
----[38]
8W-doped Nb2O5Dip coatingNano-fibrous-68.7
(600 nm)
tb: 3.5 s
tc: 25.3 s
--[39]
9N-180HydrothermalNanospheres74.13%
(600 nm)
81.33tb: 5.6 s
tc: 12.5 s
72.35%5000 sThis work
Disclaimer/Publisher’s Note: The statements, opinions and data contained in all publications are solely those of the individual author(s) and contributor(s) and not of MDPI and/or the editor(s). MDPI and/or the editor(s) disclaim responsibility for any injury to people or property resulting from any ideas, methods, instructions or products referred to in the content.

Share and Cite

MDPI and ACS Style

Amate, R.U.; Morankar, P.J.; Ahir, N.A.; Jeon, C.-W. Interplay of Temperature-Induced Modification in Niobium Oxide Thin Films for Electrochromic Advancements. Materials 2025, 18, 1264. https://doi.org/10.3390/ma18061264

AMA Style

Amate RU, Morankar PJ, Ahir NA, Jeon C-W. Interplay of Temperature-Induced Modification in Niobium Oxide Thin Films for Electrochromic Advancements. Materials. 2025; 18(6):1264. https://doi.org/10.3390/ma18061264

Chicago/Turabian Style

Amate, Rutuja U., Pritam J. Morankar, Namita A. Ahir, and Chan-Wook Jeon. 2025. "Interplay of Temperature-Induced Modification in Niobium Oxide Thin Films for Electrochromic Advancements" Materials 18, no. 6: 1264. https://doi.org/10.3390/ma18061264

APA Style

Amate, R. U., Morankar, P. J., Ahir, N. A., & Jeon, C.-W. (2025). Interplay of Temperature-Induced Modification in Niobium Oxide Thin Films for Electrochromic Advancements. Materials, 18(6), 1264. https://doi.org/10.3390/ma18061264

Note that from the first issue of 2016, this journal uses article numbers instead of page numbers. See further details here.

Article Metrics

Back to TopTop