Elastic–Plastic Deformation Analysis of Cantilever Beams with Tension–Compression Asymmetry of Materials
Abstract
1. Introduction
2. Elastic–Plastic Analysis of Cantilever Beam with Tension–Compression Asymmetry
2.1. Mechanical Model and Basic Assumptions
2.2. Elastic–Plastic Analysis in Loading
2.3. Deflection of the Beam in Loading
2.3.1. Deflection in Elastic Stage
2.3.2. Deflection in Elastic–Plastic Stage
2.4. Deflection of the Beam in Unloading
3. Numerical Simulation and Comparison
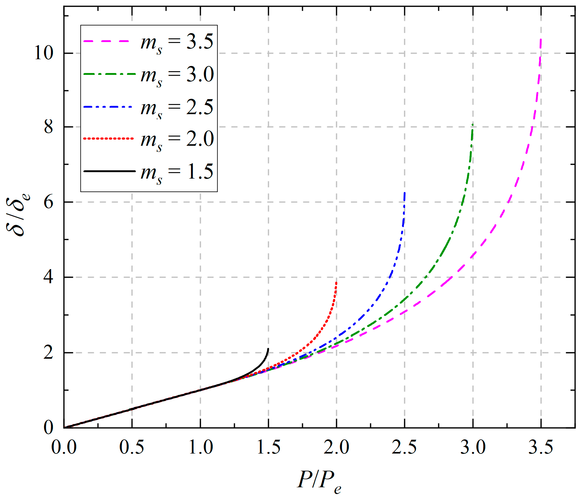
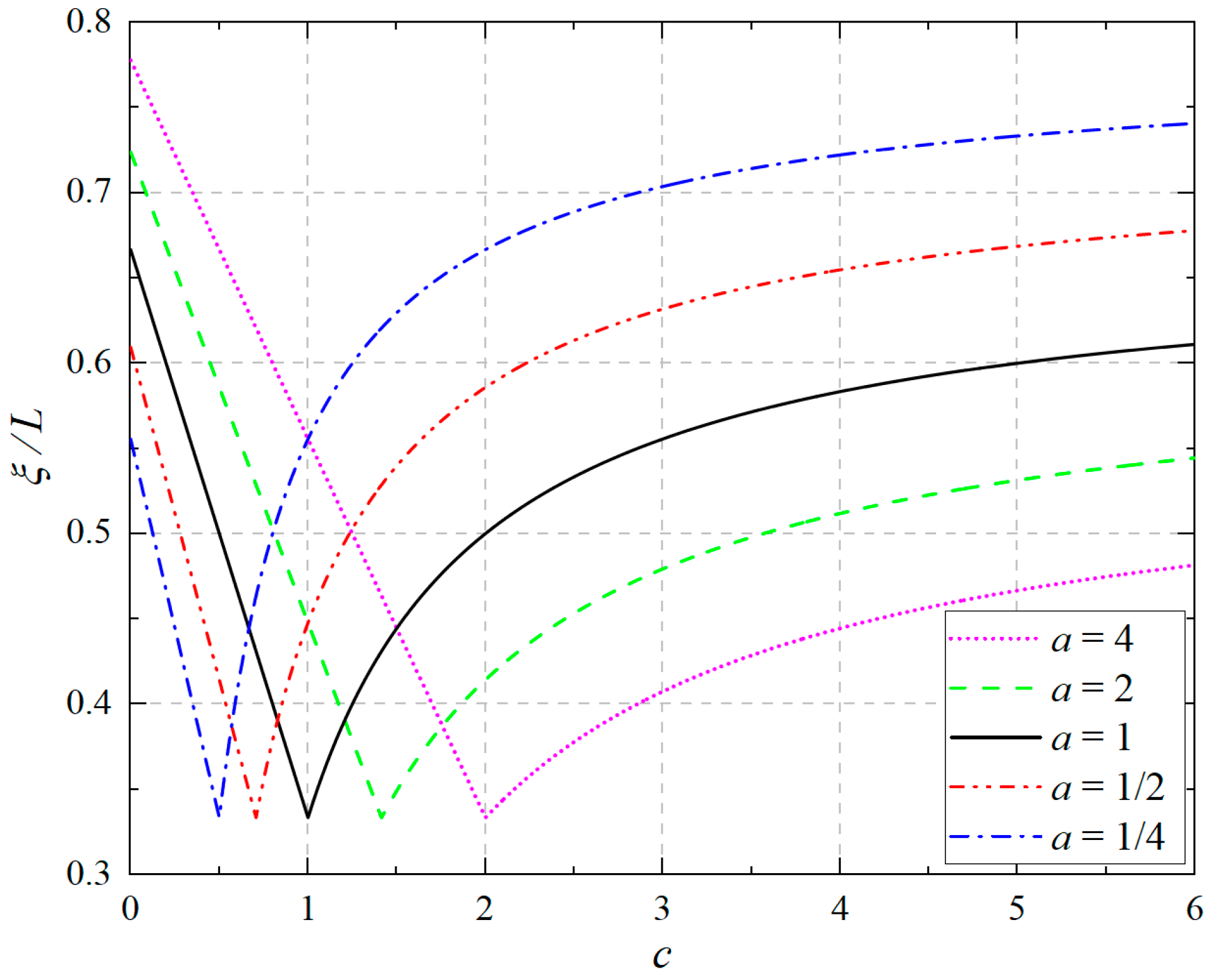
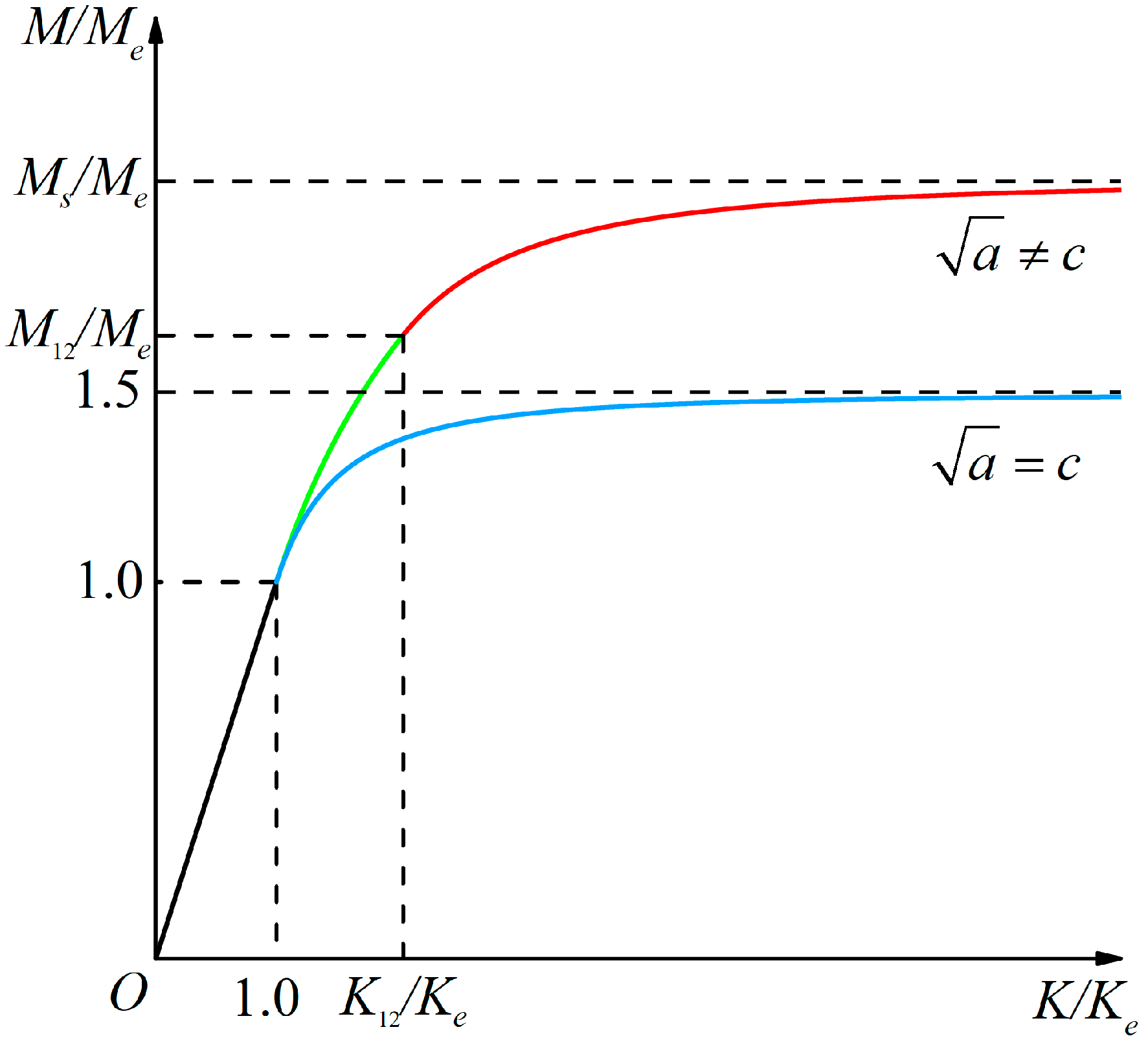
4. Results and Discussion
5. Concluding Remarks
- When the fixed end of the cantilever beam forms a plastic hinge, the plastic zone length from the fixed end no longer keeps the classical value ξ/L = 1/3 and will increase if considering the tension–compression asymmetry.
- The consideration for the tension–compression asymmetry will enlarge the influence on the displacement during the elastic–plastic mechanical response; the greater ms values will produce the greater end displacements. Similarly, the end displacement in the classical problem without tension–compression asymmetry is minimal.
- The tension–compression asymmetry will enlarge the ultimate deflection and residual deflection of the free end of the beam, and more importantly, the more obvious the tension–compression asymmetry is, the larger these two deflection values will be.
Author Contributions
Funding
Data Availability Statement
Conflicts of Interest
References
- Cazacu, O.; Revil-Baudard, B. Tension-compression asymmetry effects on the plastic response in bending: New theoretical and numerical results. Mech. Res. Commun. 2021, 114, 103596. [Google Scholar] [CrossRef]
- Rym, H.; Olfa, D.; Amna, Z. Strategy for identification of HCP structure materials: Study of Ti–6Al–4V under tensile and compressive load conditions. Arch. Appl. Mech. 2020, 90, 1685–1703. [Google Scholar] [CrossRef]
- Xu, Z.; Li, G.; Zhou, Y.; Guo, C.; Huang, Y.; Hu, X.; Li, X.; Zhu, Q. Tension-compression asymmetry of nickel-based superalloys: A focused review. J. Alloys Compd. 2023, 945, 169313. [Google Scholar] [CrossRef]
- Tang, B.; Wang, Z.; Guo, N.; Wang, Q.; Liu, P. An extended Drucker yield criterion to consider tension–compression asymmetry and anisotropy on metallic materials: Modeling and verification. Metals 2020, 10, 20. [Google Scholar] [CrossRef]
- Wang, L.; Feng, P.; Wu, Y.; Liu, Z. A temperature-dependent model of shape memory alloys considering tensile-compressive asymmetry and the ratcheting effect. Materials 2020, 13, 3116. [Google Scholar] [CrossRef]
- Ostadrahimi, A.; Taheri-Behrooz, F.; Choi, E. Effect of tension-compression asymmetry response on the bending of prismatic martensitic SMA beams: Analytical and experimental study. Materials 2021, 14, 5415. [Google Scholar] [CrossRef] [PubMed]
- Zhang, P.; Han, W.; Zhou, D.; Wu, H. Structural integrity assessment of an NEPE propellant grain considering the tension–compression asymmetry in its mechanical property. Polymers 2023, 15, 3339. [Google Scholar] [CrossRef]
- Jones, R.M. Apparent flexural modulus and strength of multimodulus materials. J. Compos. Mater. 1976, 10, 342–354. [Google Scholar] [CrossRef]
- Drucker, D.C. Plasticity theory strength-differential (SD) phenomenon, and volume expansion in metals and plastics. Metall. Trans. 1973, 4, 667–673. [Google Scholar] [CrossRef]
- Casey, J.; Sullivan, T.D. Pressure dependency, strength-differential effect, and plastic volume expansion in metals. Int. J. Plast. 1985, 1, 39–61. [Google Scholar] [CrossRef]
- Jones, R.M. Stress-strain relations for materials with different moduli in tension and compression. AIAA J. 1977, 15, 16–23. [Google Scholar] [CrossRef]
- Destrade, M.; Gilchrist, M.D.; Motherway, J.A.; Murphy, J.G. Bimodular rubber buckles early in bending. Mech. Mater. 2010, 42, 469–476. [Google Scholar] [CrossRef]
- Patel, S.; Martin, C.D. Evaluation of tensile young’s modulus and poisson’s ratio of a bi-modular rock from the displacement measurements in a Brazilian test. Rock Mech. Rock Eng. 2017, 51, 361–373. [Google Scholar] [CrossRef]
- Hartl, A.M.; Jerabek, M.; Lang, R.W. Anisotropy and compression/tension asymmetry of PP containing soft and hard particles and short glass fibers. Express Polym. Lett. 2015, 9, 658–670. [Google Scholar] [CrossRef]
- Barak, M.M.; Currey, J.D.; Weiner, S.; Shahar, R. Are tensile and compressive Young’s moduli of compact bone different? J. Mech. Behav. Biomed. Mater. 2009, 2, 51–60. [Google Scholar] [CrossRef]
- Bertoldi, K.; Bigoni, D.; Drugan, W.J. Nacre: An orthotropic and bimodular elastic material. Compos. Sci. Technol. 2008, 68, 1363–1375. [Google Scholar] [CrossRef]
- Bert, C.W. Models for fibrous composites with different properties in tension and compression. ASME J. Eng. Mater. Technol. 1977, 99, 344–349. [Google Scholar] [CrossRef]
- Zinno, R.; Greco, F. Damage evolution in bimodular laminated composites under cyclic loading. Compos. Struct. 2001, 53, 381–402. [Google Scholar] [CrossRef]
- Khan, A.H.; Patel, B.P. Nonlinear periodic response of bimodular laminated composite annular sector plates. Compos. Part B Eng. 2019, 169, 96–108. [Google Scholar] [CrossRef]
- Ambartsumyan, S.A. Elasticity Theory of Different Moduli; Wu, R.F.; Zhang, Y.Z., Translators; China Railway Press: Beijing, China, 1986. [Google Scholar]
- Yao, W.J.; Ye, Z.M. Analytical solution for bending beam subject to lateral force with different modulus. Appl. Math. Mech. Engl. Ed. 2004, 25, 1107–1117. [Google Scholar]
- Li, X.; Sun, J.-Y.; Dong, J.; He, X.-T. One-dimensional and two-dimensional analytical solutions for functionally graded beams with different moduli in tension and compression. Materials 2018, 11, 830. [Google Scholar] [CrossRef]
- He, X.-T.; Chen, Q.; Sun, J.-Y.; Zheng, Z.-L.; Chen, S.-L. Application of the Kirchhoff hypothesis to bending thin plates with different moduli in tension and compression. J. Mech. Mater. Struct. 2010, 5, 755–769. [Google Scholar] [CrossRef]
- He, X.-T.; Sun, J.-Y.; Wang, Z.-X.; Chen, Q.; Zheng, Z.-L. General perturbation solution of large-deflection circular plate with different moduli in tension and compression under various edge conditions. Int. J. Non-Linear Mech. 2013, 55, 110–119. [Google Scholar] [CrossRef]
- He, X.-T.; Chang, H.; Sun, J.-Y. Axisymmetric large deformation problems of thin shallow shells with different moduli in tension and compression. Thin-Walled Struct. 2023, 182, 110297. [Google Scholar] [CrossRef]
- He, X.-T.; Wang, X.-G.; Sun, J.-Y. Application of perturbation-variation method in large deformation bimodular cylindrical shells: A comparative study of bending theory and membrane theory. Appl. Math. Model. 2024, 129, 448–478. [Google Scholar] [CrossRef]
- Zhang, Y.Z.; Wang, Z.F. Finite element method of elasticity problem with different tension and compression moduli. Chin. J. Comput. Struct. Mech. Appl. 1989, 6, 236–245. [Google Scholar]
- Ye, Z.M.; Wang, D.J.; Chen, T. Numerical study for load-carrying capacity of beam-column members having different Young’s moduli in tension and compression. Int. J. Modell. Identif. Control 2009, 7, 255–262. [Google Scholar] [CrossRef]
- He, X.-T.; Zheng, Z.-L.; Sun, J.-Y.; Li, Y.-M.; Chen, S. -L Convergence analysis of a finite element method based on different moduli in tension and compression. Int. J. Solids Struct. 2009, 46, 3734–3740. [Google Scholar] [CrossRef]
- Zhang, L.; Gao, Q.; Zhang, H.W. An efficient algorithm for mechanical analysis of bimodular truss and tensegrity structures. Int. J. Mech. Sci. 2013, 70, 57–68. [Google Scholar] [CrossRef]
- Li, H.; Zheng, Y.G.; Zhang, Y.X.; Ye, H.F.; Zhang, H.W. Large deformation and wrinkling analyses of bimodular structures and membranes based on a peridynamic computational framework. Acta Mech. Sinica 2019, 35, 1226–1240. [Google Scholar] [CrossRef]
- Singh, A.P.; Padmanabhan, K.A.; Pandey, G.N.; Murty, G.M.D.; Jha, S. Strength differential effect in four commercial steels. J. Mater. Sci. 2000, 35, 1379–1388. [Google Scholar] [CrossRef]
- Holmen, J.K.; Frodal, B.H.; Hopperstad, O.S.; Børvik, T. Strength differential effect in age hardened aluminum alloys. Int. J. Plast. 2017, 99, 144–161. [Google Scholar] [CrossRef]
- Cazacu, O.; Barlat, F. A criterion for description of anisotropy and yield differential effects in pressure-insensitive materials. Int. J. Plast. 2004, 20, 2027–2045. [Google Scholar] [CrossRef]
- Lee, S.-Y.; Kim, J.-H.; Barlat, F. Appropriateness of hydrostatic pressure-based modeling for strength differential effect in advanced high strength steel. Mech. Mater. 2023, 186, 104807. [Google Scholar] [CrossRef]
- Yu, M.-H. Twin shear stress yield criterion. Int. J. Mech. Sci. 1983, 25, 71–74. [Google Scholar] [CrossRef]
- Yu, M.-H. Unified Strength Theory and Applications; Springer: Berlin/Heidelberg, Germany, 2002. [Google Scholar]
- Lewandowski, J.J.; Lowhaphandu, P. Effects of hydrostatic pressure on mechanical behaviour and deformation processing of materials. Int. Mater. Rev. 1998, 43, 145–187. [Google Scholar] [CrossRef]
- Ellermann, A.; Scholtes, B. The strength differential effect in different heat treatment conditions of the steels 42CrMoS4 and 100Cr6. Mater. Sci. Eng. A 2015, 620, 262–272. [Google Scholar] [CrossRef]
- Fletcher, F.B.; Cohen, M.; Hirth, J.P. Temperature dependence of the strength-differential effect in hardened steels. Metall. Trans. 1974, 5, 905–908. [Google Scholar] [CrossRef]
- Pham, D.C. Safety and collapse of elastic–plastic beams against dynamic loads. Int. J. Mech. Sci. 2000, 42, 575–592. [Google Scholar] [CrossRef]
- Chen, X.W.; Yu, T.X. Elastic–plastic beam-on-foundation under quasi-static loading. Int. J. Mech. Sci. 2000, 42, 2261–2281. [Google Scholar] [CrossRef]
- Shi, Z.F.; Huang, B.; Tan, H.; Huang, Y.; Zhang, T.Y.; Wu, P.D.; Hwang, K.C.; Gao, H. Determination of the microscale stress–strain curve and strain gradient effect from the micro-bend of ultra-thin beams. Int. J. Plast. 2008, 24, 1606–1624. [Google Scholar] [CrossRef]
- Mladensky, A.; Rizov, V. Application of J-integral for investigation of elastic–plastic fracture in single cantilever beam. Arch. Appl. Mech. 2016, 86, 411–431. [Google Scholar] [CrossRef]
- Fazlali, M.R.; Arghavani, J.; Eskandari, M. An analytical study on the elastic–plastic pure bending of a linear kinematic hardening curved beam. Int. J. Mech. Sci. 2018, 144, 274–282. [Google Scholar] [CrossRef]
- Tang, D.; Zhou, K.; Tang, W.; Wu, P.; Wang, H. On the inhomogeneous deformation behavior of magnesium alloy beam subjected to bending. Int. J. Plast. 2022, 150, 103180. [Google Scholar] [CrossRef]
- Hu, Q.; Zhu, L.; Yu, T.X. Elastic effects on the dynamic plastic deflection of pulse-loaded beams. Int. J. Impact Eng. 2023, 176, 104550. [Google Scholar] [CrossRef]
- Karagiozova, D.; Yu, T.X. Long beam on Winkler-type elastic foundation under a localized rectangular pressure pulse. Int. J. Impact Eng. 2024, 187, 104921. [Google Scholar] [CrossRef]
- He, X.-T.; Chen, Z.-P.; Sun, J.-Y. Elastic–plastic bending analysis of beams with tension–compression asymmetry: Bimodular effect and strength differential effect. Arch. Appl. Mech. 2025, 95, 54. [Google Scholar] [CrossRef]
- Wang, R.; Huang, W.B.; Huang, Z.P. Introduction to Plasticity; Press of Beijing University: Beijing, China, 1992. [Google Scholar]













| Material Parameters | Ep | En | σsp | σsn |
|---|---|---|---|---|
| 7460 | 11,930 | 27.90 | 68.41 |
| Concentrated Forces (N) | Analytical Solutions (mm) | Numerical Results (mm) | Relative Errors (%) |
|---|---|---|---|
| 100 | 0.579 | 0.576 | 0.521 |
| 200 | 1.158 | 1.151 | 0.608 |
| 300 | 1.737 | 1.727 | 0.579 |
| 400 | 2.316 | 2.302 | 0.608 |
| 500 | 2.895 | 2.878 | 0.591 |
| 600 | 3.474 | 3.453 | 0.608 |
| 700 | 4.053 | 4.030 | 0.571 |
| 800 | 4.632 | 4.617 | 0.325 |
| 900 | 5.227 | 5.233 | 0.115 |
| 1000 | 5.878 | 5.910 | 0.541 |
| 1100 | 6.638 | 6.689 | 0.762 |
| 1200 | 7.584 | 7.620 | 0.472 |
| 1300 | 8.879 | 8.796 | 0.944 |
| 1400 | 11.029 | 10.579 | 4.254 |
Disclaimer/Publisher’s Note: The statements, opinions and data contained in all publications are solely those of the individual author(s) and contributor(s) and not of MDPI and/or the editor(s). MDPI and/or the editor(s) disclaim responsibility for any injury to people or property resulting from any ideas, methods, instructions or products referred to in the content. |
© 2025 by the authors. Licensee MDPI, Basel, Switzerland. This article is an open access article distributed under the terms and conditions of the Creative Commons Attribution (CC BY) license (https://creativecommons.org/licenses/by/4.0/).
Share and Cite
He, X.-T.; Yin, J.-M.; Chen, Z.-P.; Sun, J.-Y. Elastic–Plastic Deformation Analysis of Cantilever Beams with Tension–Compression Asymmetry of Materials. Materials 2025, 18, 5611. https://doi.org/10.3390/ma18245611
He X-T, Yin J-M, Chen Z-P, Sun J-Y. Elastic–Plastic Deformation Analysis of Cantilever Beams with Tension–Compression Asymmetry of Materials. Materials. 2025; 18(24):5611. https://doi.org/10.3390/ma18245611
Chicago/Turabian StyleHe, Xiao-Ting, Jing-Miao Yin, Zhi-Peng Chen, and Jun-Yi Sun. 2025. "Elastic–Plastic Deformation Analysis of Cantilever Beams with Tension–Compression Asymmetry of Materials" Materials 18, no. 24: 5611. https://doi.org/10.3390/ma18245611
APA StyleHe, X.-T., Yin, J.-M., Chen, Z.-P., & Sun, J.-Y. (2025). Elastic–Plastic Deformation Analysis of Cantilever Beams with Tension–Compression Asymmetry of Materials. Materials, 18(24), 5611. https://doi.org/10.3390/ma18245611

