Cost-Effective Laser Powder Bed Fusion of Ti-6Al-4V Grade 5: The Effect of Expanding Powder Size Distribution on Mechanical Performance
Abstract
1. Introduction
2. Procedure
2.1. Equipment
2.2. Material
2.3. Parameter Optimization
2.4. Mechanical Property Test
2.5. Statistical Analysis for Reliability Assurance
3. Results
3.1. Parameter Optimization Results
3.2. Mechanical Property Test Results
3.2.1. Tensile Test Result (ASTM E8)
3.2.2. Compression Test Result (ASTM E9)
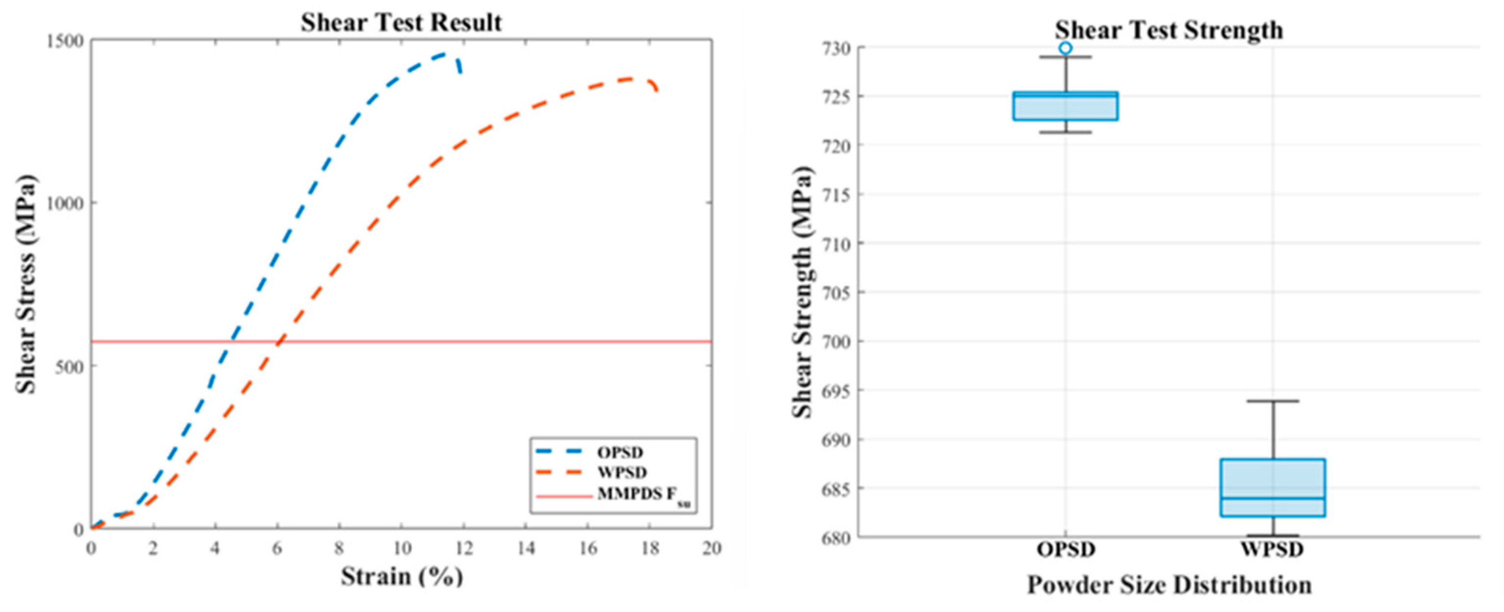
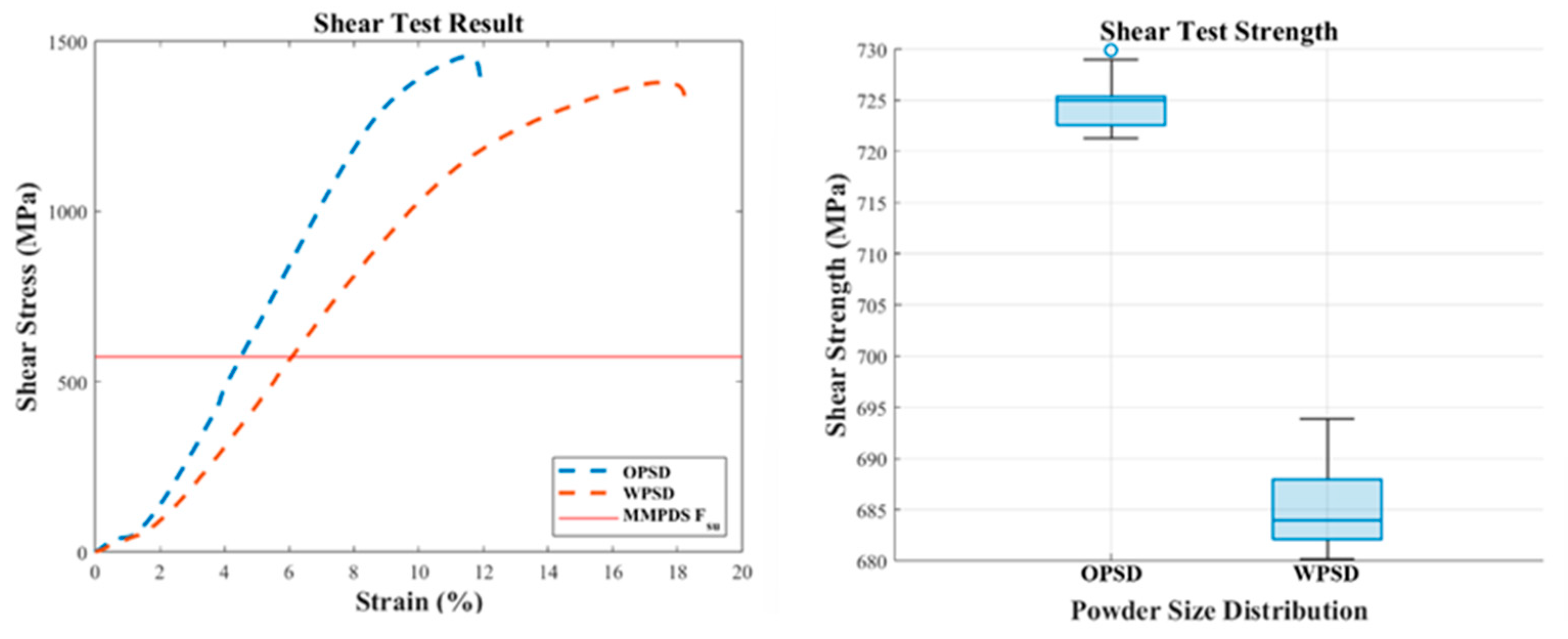
3.2.3. Shear Test Result (ASTM B769)
3.2.4. Pin-Type Bearing Test Result (ASTM E238)
3.3. Statistical Analysis for Reliability Assurance Result
3.3.1. Statistically Analyzed Tensile Test Results
3.3.2. Statistically Analyzed Compression Test Results
3.3.3. Statistically Analyzed Shear Test Results
3.3.4. Statistically Analyzed Bearing Test Results
4. Discussion
5. Conclusions
Author Contributions
Funding
Institutional Review Board Statement
Informed Consent Statement
Data Availability Statement
Conflicts of Interest
References
- Stavropoulos, P.; Foteinopoulos, P.; Papacharalampopoulos, A.; Bikas, H. Addressing the challenges for the industrial application of additive manufacturing: Towards a hybrid solution. Int. J. Light. Mater. Manuf. 2018, 1, 157–168. [Google Scholar] [CrossRef]
- Armstrong, M.; Mehrabi, H.; Naveed, N. An overview of modern metal additive manufacturing technology. J. Manuf. Process. 2022, 84, 1001–1029. [Google Scholar] [CrossRef]
- Selema, A.; Ibrahim, M.N.; Sergeant, P. Metal additive manufacturing for electrical machines: Technology review and latest advancements. Energies 2022, 15, 1076. [Google Scholar] [CrossRef]
- Sæterbø, M.; Solvang, W.D. Metal additive manufacturing adoption in SMEs: Technical attributes, challenges, and opportunities. J. Manuf. Process. 2024, 128, 175–189. [Google Scholar] [CrossRef]
- Madhavadas, V.; Srivastava, D.; Chadha, U.; Raj, S.A.; Sultan, M.T.H.; Shahar, F.S.; Shah, A.U.M. A review on metal additive manufacturing for intricately shaped aerospace components. CIRP J. Manuf. Sci. Technol. 2022, 39, 18–36. [Google Scholar] [CrossRef]
- Blakey-Milner, B.; Gradl, P.; Snedden, G.; Brooks, M.; Pitot, J.; Lopez, E.; Du Plessis, A. Metal additive manufacturing in aerospace: A review. Mater. Des. 2021, 209, 110008. [Google Scholar] [CrossRef]
- Vafadar, A.; Guzzomi, F.; Rassau, A.; Hayward, K. Advances in metal additive manufacturing: A review of common processes, industrial applications, and current challenges. Appl. Sci. 2021, 11, 1213. [Google Scholar] [CrossRef]
- Paul, C.P.; Jinoop, A.N.; Kumar, A.; Bindra, K.S. Laser-based metal additive manufacturing: Technology, global scenario and our experiences. Trans. Indian Natl. Acad. Eng. 2021, 6, 895–908. [Google Scholar] [CrossRef]
- Mazzucato, F.; Avram, O.; Valente, A.; Carpanzano, E. Recent advances toward the industrialization of metal additive manufacturing. In Systems Engineering in the Fourth Industrial Revolution; Wiley: Hoboken, NJ, USA, 2019; pp. 273–319. [Google Scholar] [CrossRef]
- King, W.E.; Anderson, A.T.; Ferencz, R.M.; Hodge, N.E.; Kamath, C.; Khairallah, S.A.; Rubenchik, A.M. Laser powder bed fusion additive manufacturing of metals: Physics, computational, and materials challenges. Appl. Phys. Rev. 2015, 2, 041304. [Google Scholar] [CrossRef]
- Ladani, L.; Sadeghilaridjani, M. Review of powder bed fusion additive manufacturing for metals. Metals 2021, 11, 1391. [Google Scholar] [CrossRef]
- Cao, S.; Zou, Y.; Lim, C.V.S.; Wu, X. Review of laser powder bed fusion (LPBF) fabricated Ti-6Al-4V: Process, post-process treatment, microstructure, and property. Light Adv. Manuf. 2021, 2, 313–332. [Google Scholar] [CrossRef]
- Liu, S.; Shin, Y.C. Additive manufacturing of Ti6Al4V alloy: A review. Mater. Des. 2019, 164, 107552. [Google Scholar] [CrossRef]
- DebRoy, T.; Wei, H.L.; Zuback, J.S.; Mukherjee, T.; Elmer, J.W.; Milewski, J.O.; Zhang, W. Additive manufacturing of metallic components–process, structure, and properties. Prog. Mater. Sci. 2018, 92, 112–224. [Google Scholar] [CrossRef]
- Dong, Y.P.; Li, Y.L.; Zhou, S.Y.; Zhou, Y.H.; Dargusch, M.S.; Peng, H.X.; Yan, M. Cost-affordable Ti-6Al-4V for additive manufacturing: Powder modification, compositional modulation and laser in-situ alloying. Addit. Manuf. 2021, 37, 101699. [Google Scholar] [CrossRef]
- Froes, F.H.; Imam, M.A. Cost affordable developments in titanium technology and applications. Key Eng. Mater. 2010, 436, 1–11. [Google Scholar] [CrossRef]
- Capus, J.M. More roads point to cheaper titanium powder. Metal Powder Rep. 2005, 60, 22–23. [Google Scholar] [CrossRef]
- Sadeghi, M.H.; Haddad, M.J.; Tawakoli, T.; Emami, M. Minimal quantity lubrication-MQL in grinding of Ti–6Al–4V titanium alloy. Int. J. Adv. Manuf. Technol. 2009, 44, 487–500. [Google Scholar] [CrossRef]
- Meier, B.; Warchomicka, F.; Petrusa, J.; Angerer, P.; Wosik, J.; Kaindl, R.; Sommitsch, C. Influence of powder production process and properties on material properties of Ti6Al4V manufactured by L-PBF. Int. J. Adv. Manuf. Technol. 2022, 123, 1577–1588. [Google Scholar] [CrossRef]
- Alamos, F.J.; Schiltz, J.; Kozlovsky, K.; Attardo, R.; Tomonto, C.; Pelletiers, T.; Schmid, S.R. Effect of powder reuse on mechanical properties of Ti-6Al-4V produced through selective laser melting. Int. J. Refract. Met. Hard Mater. 2020, 91, 105273. [Google Scholar] [CrossRef]
- Lutter-Günther, M.; Gebbe, C.; Kamps, T.; Seidel, C.; Reinhart, G. Powder recycling in laser beam melting: Strategies, consumption modeling and influence on resource efficiency. Prod. Eng. 2018, 12, 377–389. [Google Scholar] [CrossRef]
- Seyda, V.; Kaufmann, N.; Emmelmann, C. Investigation of aging processes of Ti-6Al-4V powder material in laser melting. Phys. Procedia 2012, 39, 425–431. [Google Scholar] [CrossRef]
- Bolzoni, L.; Herraiz, E.; Ruiz-Navas, E.M.; Gordo, E. Study of the properties of low-cost powder metallurgy titanium alloys by 430 stainless steel addition. Mater. Des. 2014, 60, 628–636. [Google Scholar] [CrossRef]
- Sun, P.; Fang, Z.Z.; Zhang, Y.; Xia, Y. Review of the methods for production of spherical Ti and Ti alloy powder. JOM 2017, 69, 1853–1860. [Google Scholar] [CrossRef]
- Soltani-Tehrani, A.; Habibnejad-Korayem, M.; Shao, S.; Haghshenas, M.; Shamsaei, N. Ti-6Al-4V powder characteristics in laser powder bed fusion: The effect on tensile and fatigue behavior. Addit. Manuf. 2022, 51, 102584. [Google Scholar] [CrossRef]
- Rauniyar, S.K.; Chou, K. Melt pool analysis and mesoscale simulation of laser powder bed fusion process (L-PBF) with Ti-6Al-4V powder particles. JOM 2019, 71, 938–945. [Google Scholar] [CrossRef]
- Peta, K. Multiscale Wettability of Microtextured Irregular Surfaces. Materials 2024, 17, 5716. [Google Scholar] [CrossRef]
- Meier, C.; Weissbach, R.; Weinberg, J.; Wall, W.A.; Hart, A.J. Critical influences of particle size and adhesion on the powder layer uniformity in metal additive manufacturing. J. Mater. Process. Technol. 2019, 266, 484–501. [Google Scholar] [CrossRef]
- Chu, F.; Li, E.; Shen, H.; Chen, Z.; Li, Y.; Liu, H.; Huang, A. Influence of powder size on defect generation in laser powder bed fusion of AlSi10Mg alloy. J. Manuf. Process. 2023, 94, 183–195. [Google Scholar] [CrossRef]
- Ludwig, I.; Kluge, M. Investigation of an Increased Particle Size Distribution of Ti-6Al-4V Powders Used for Laser-Based Powder Bed Fusion of Metals. Materials 2024, 17, 2942. [Google Scholar] [CrossRef]
- ISO 9100; Quality Management Systems—Requirements for Aviation, Space, and Defense Organizations. ISO: Geneva, Switzerland, 2015.
- AS9100D; Quality Management Systems—Requirements for Aviation, Space, and Defense Organizations, 2016. SAE International: Warrendale, PA, USA, 2016.
- ASTM E2371-21; Standard Test Method for Analysis of Titanium and Titanium Alloys by Atomic Emission Plasma Spectrometry. ASTM International: West Conshohocken, PA, USA, 2021.
- ASTM E1409-13; Standard Test Method for Determination of Oxygen and Nitrogen in Titanium and Titanium Alloys by Inert Gas Fusion. ASTM International: West Conshohocken, PA, USA, 2013.
- ASTM E1941-10; Standard Test Method for Determination of Carbon in Refractory and Reactive Metals and Their Alloys by Combustion Analysis. ASTM International: West Conshohocken, PA, USA, 2010.
- Müller, C.; Kloft, H. Parameterbestimmung mit dem Anderson–Darling Test bei Versuchen an Glas. Stahlbau 2015, 84, 229–240. [Google Scholar] [CrossRef]
- Anderson, T.W.; Darling, D.A. Asymptotic theory of certain “goodness of fit” criteria based on stochastic processes. Ann. Math. Stat. 1952, 23, 193–212. [Google Scholar] [CrossRef]
- Anderson, T.W.; Darling, D.A. A test of goodness of fit. J. Am. Stat. Assoc. 1954, 49, 765–769. [Google Scholar] [CrossRef]
- Bagheri, S.F.; Alizadeh, M.; Nadarajah, S.; Deiri, E. Efficient estimation of the PDF and the CDF of the Weibull extension model. Commun. Stat. Simul. Comput. 2016, 45, 2191–2207. [Google Scholar] [CrossRef]
- Jäntschi, L.; Bolboacă, S.D. Computation of probability associated with Anderson–Darling statistic. Mathematics 2018, 6, 88. [Google Scholar] [CrossRef]
- Berlinger, M.; Kolling, S.; Schneider, J. A generalized Anderson–Darling test for the goodness-of-fit evaluation of the fracture strain distribution of acrylic glass. Glass Struct. Eng. 2021, 6, 195–208. [Google Scholar] [CrossRef]
- Du, S.; Song, Y.; He, Y.; Wei, C.; Chen, R.; Guo, S.; Liu, X. Evolution of Microstructure and Mechanical Properties of Ti-6Al-4V Alloy under Heat Treatment and Multi-Axial Forging. Materials 2024, 17, 1060. [Google Scholar] [CrossRef]
- Choe, J.S.; Lee, D.H.; Choi, G.S.; Kil, D.S.; Suh, C.Y.; Kim, W.B.; Ha, H. The Effect of Oxygen on the Sintering of Titanium Powders. Korean J. Mater. Res. 2000, 10, 464–470. [Google Scholar]











| Parameter | Value |
|---|---|
| Maximum laser power (P) | 400 W |
| Maximum scan speed (V) | 4500 mm/s |
| Focus diameter (D) | 70–500 µm |
| Layer thickness (t) | 25–100 µm |
| Item | Unit | Minimum Limit | Maximum Limit | Testing Method | Status |
|---|---|---|---|---|---|
| Powder composition | |||||
| Al | Wt. % | 5.50 | 6.75 | ASTM E2371-21 [33] | Conforming |
| V | Wt. % | 3.50 | 4.50 | ASTM E2371-21 | Conforming |
| Fe | Wt. % | - | 0.30 | ASTM E2371-21 | Conforming |
| O | Wt. % | - | 0.20 | ASTM E1409-13 [34] | Conforming |
| C | Wt. % | - | 0.08 | ASTM E1941-10 [35] | Conforming |
| N | Wt. % | - | 0.05 | ASTM E1409-13 | Conforming |
| H | Wt. % | - | 0.015 | ASTM E1447-09 | Conforming |
| Y | Wt. % | - | 0.005 | ASTM E2371-21 | Conforming |
| Other Each | Wt. % | - | 0.10 | ASTM E2371-21 | Conforming |
| Other Total | Wt. % | - | 0.40 | ASTM E2371-21 | Conforming |
| Ti | Wt. % | Balance | Balance | - | - |
| Original PSD (15–53 μm) | Expanded PSD (15–75 μm) | |
|---|---|---|
| Layer thickness (µm) | 60 | 60 |
| Hatching parameter | ||
| Spot size (µm) | A | A |
| Trace spacing (µm) | B | B |
| Laser power (W) | C | C |
| Scan speed (mm/s) | D | D − 100 |
| Contour parameter | ||
| Spot size (µm) | E | E |
| Trace spacing (µm) | F | F |
| Laser power (W) | G | G + 20 |
| Scan speed (mm/s) | H | H |
| MMPDS | Original PSD (15–53 μm) | Expanded PSD (15–75 μm) | |
|---|---|---|---|
| Tensile yield strength (Fty, MPa) | 861.9 | 1031 | 991.3 |
| Tensile ultimate strength (Ftu, MPa) | 930.8 | 1104 | 1057 |
| Tensile elongation (e, %) | 10.00 | 14.99 | 15.84 |
| Compressive yield strength (Fcy, MPa) | 889.4 | 1145 | 1132 |
| Shear strength (Fsu, MPa) | 572.3 | 724.9 | 685.3 |
| Bearing yield strength (Fbry, MPa) | 1413 | 1850 | 1767 |
| Bearing ultimate strength (Fbru, MPa) | 1744 | 2192 | 2182 |
Disclaimer/Publisher’s Note: The statements, opinions and data contained in all publications are solely those of the individual author(s) and contributor(s) and not of MDPI and/or the editor(s). MDPI and/or the editor(s) disclaim responsibility for any injury to people or property resulting from any ideas, methods, instructions or products referred to in the content. |
© 2024 by the authors. Licensee MDPI, Basel, Switzerland. This article is an open access article distributed under the terms and conditions of the Creative Commons Attribution (CC BY) license (https://creativecommons.org/licenses/by/4.0/).
Share and Cite
Kim, M.S.; Kim, O.; Song, Y.; Ko, C.; Kim, J.; Habibnejad-korayem, M.; Kim, J.H. Cost-Effective Laser Powder Bed Fusion of Ti-6Al-4V Grade 5: The Effect of Expanding Powder Size Distribution on Mechanical Performance. Materials 2025, 18, 6. https://doi.org/10.3390/ma18010006
Kim MS, Kim O, Song Y, Ko C, Kim J, Habibnejad-korayem M, Kim JH. Cost-Effective Laser Powder Bed Fusion of Ti-6Al-4V Grade 5: The Effect of Expanding Powder Size Distribution on Mechanical Performance. Materials. 2025; 18(1):6. https://doi.org/10.3390/ma18010006
Chicago/Turabian StyleKim, Min Soo, Ohseop Kim, Youngwon Song, Chanyoung Ko, Jonggun Kim, Mahdi Habibnejad-korayem, and Jeong Ho Kim. 2025. "Cost-Effective Laser Powder Bed Fusion of Ti-6Al-4V Grade 5: The Effect of Expanding Powder Size Distribution on Mechanical Performance" Materials 18, no. 1: 6. https://doi.org/10.3390/ma18010006
APA StyleKim, M. S., Kim, O., Song, Y., Ko, C., Kim, J., Habibnejad-korayem, M., & Kim, J. H. (2025). Cost-Effective Laser Powder Bed Fusion of Ti-6Al-4V Grade 5: The Effect of Expanding Powder Size Distribution on Mechanical Performance. Materials, 18(1), 6. https://doi.org/10.3390/ma18010006

