Preparation of UV Debonding Acrylate Adhesives by a Postgrafting Reaction
Abstract
:1. Introduction
2. Experimental
2.1. Materials
2.2. Synthesis and Preparation
2.2.1. Samples
2.2.2. Preparation
2.3. Fourier Transform Infrared Spectroscopy (FTIR)
2.4. Nuclear Magnetic Resonance of Protons (1H-NMR)
2.5. Gel Permeation Chromatography (GPC)
2.6. Differential Scanning Calorimetry (DSC) and Thermogravimetry Analysis (TGA)
2.7. Rheological Behaviour of Adhesives
2.8. Peel Strength
2.9. Light Microscopy
3. Results and Discussion
3.1. Preparation of IPDI-H and BA-H
- Tg—the glass transition temperature of the copolymer, °C;
- ωn—the mass fraction of each monomer involved in copolymerization;
- Tgn—the glass transition temperature of each monomer used in copolymerization, °C.
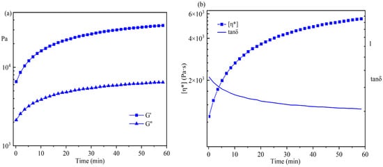
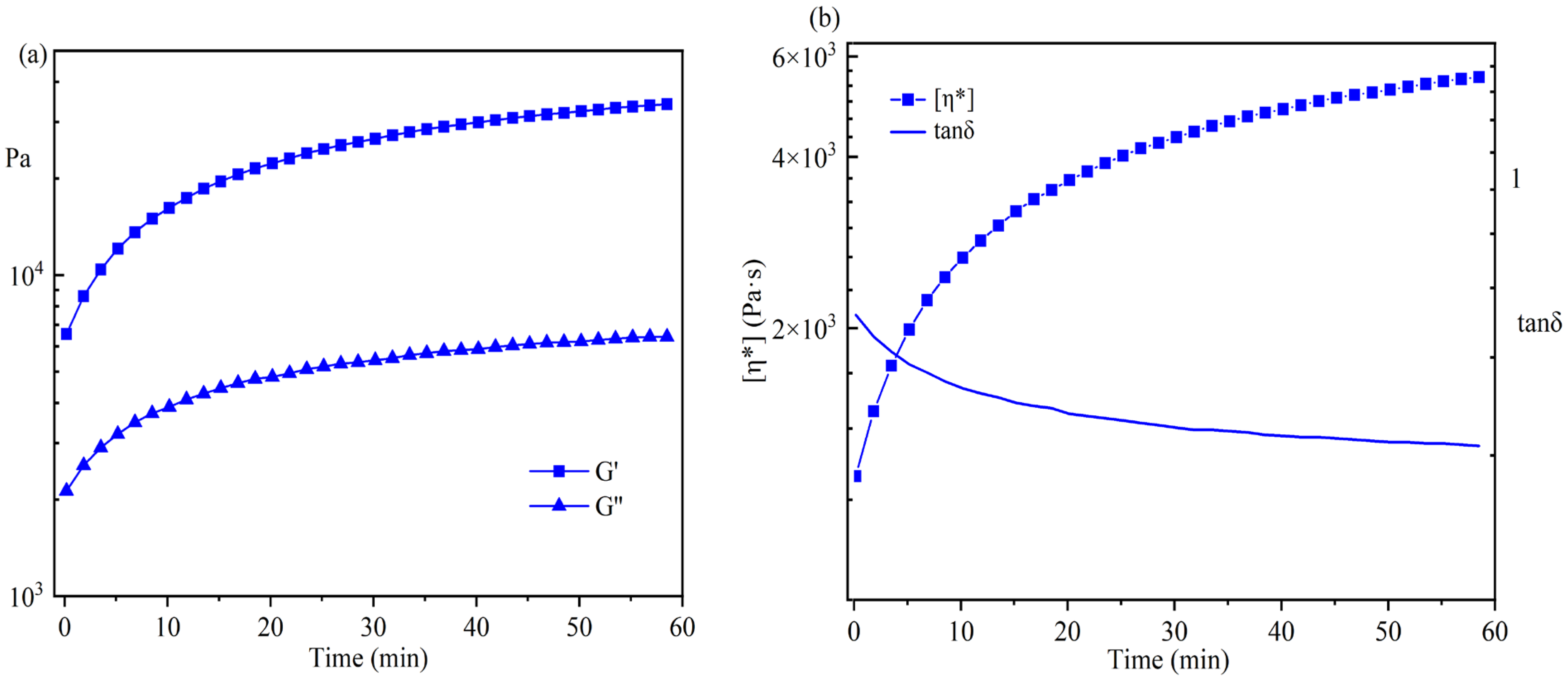
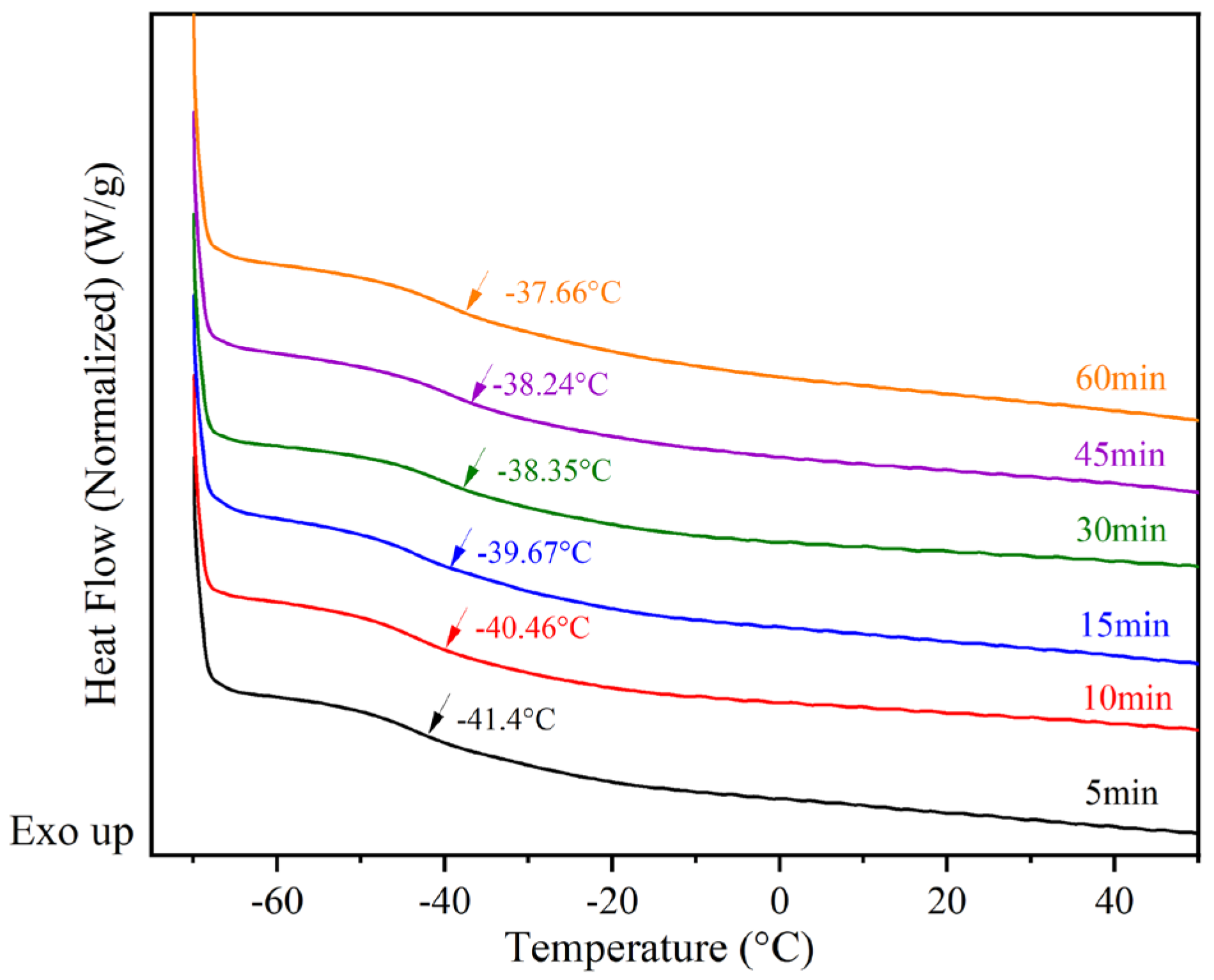
3.2. The Postgrafting Reaction of IPDI-H and BA-H
3.3. Preparation of UDAAs
4. Conclusions
Author Contributions
Funding
Institutional Review Board Statement
Informed Consent Statement
Data Availability Statement
Conflicts of Interest
References
- Zhang, W.Q.; Shentu, B.Q.; Weng, Z.X. Preparation and properties of heat and ultraviolet-induced bonding and debonding epoxy/epoxy acrylate adhesives. J. Appl. Polym. Sci. 2018, 135, 46435. [Google Scholar] [CrossRef]
- Ryu, C.-M.; Pang, B.-L.; Han, J.-H.; Kim, H.-I. Effect of Photo-crosslinking on Clean Debonding of Acrylic Pressure Sensitive Adhesives from Silicon Wafer. J. Photopolym. Sci. Technol. 2012, 25, 705–712. [Google Scholar] [CrossRef]
- Czech, Z.; Butwin, A. New Developments in the Area of Solvent-Borne Acrylic Pressure-Sensitive Adhesives. J. Adhes. Sci. Technol. 2009, 23, 1689–1707. [Google Scholar] [CrossRef]
- Sato, E.; Yamanishi, K.; Inui, T.; Horibe, H.; Matsumoto, A. Acetal-protected acrylic copolymers for dismantlable adhesives with spontaneous and complete removability. Polymer 2015, 64, 260–267. [Google Scholar] [CrossRef]
- Kim, I.; Lee, M. Adhesive and Removable Characteristics of UV Curable Adhesive. Korean Chem. Eng. Res. 2008, 46, 76–81. [Google Scholar]
- Han, J.; Zhou, Y.; Bai, G.; Wei, W.; Liu, X.; Li, X. Preparation of photo-crosslinkable acrylic copolymer and its debonding property on silicon wafer. J. Adhes. Sci. Technol. 2022, 36, 424–436. [Google Scholar] [CrossRef]
- Wang, Y.; Zhai, W.; Yang, L.; Cheng, S.; Cui, W.; Li, J. Establishments and Evaluations of Post-Operative Adhesion Animal Models. Adv. Ther. 2023, 6, 2200297. [Google Scholar] [CrossRef]
- Zhang, J.; Zhong, A.; Huang, G.; Yang, M.; Li, D.; Teng, M.; Han, D. Enhanced efficiency with CDCA co-adsorption for dye-sensitized solar cells based on metallosalophen complexes. Sol. Energy 2020, 209, 316–324. [Google Scholar] [CrossRef]
- Zhou, S.; Lu, C.; Zhu, X.; Li, F. Preparation and Characterization of High-Strength Geopolymer Based on BH-1 Lunar Soil Simulant with Low Alkali Content. Engineering 2021, 7, 1631–1645. [Google Scholar] [CrossRef]
- Guo, B.; Wang, Y.; Feng, Y.; Liang, C.; Tang, L.; Yao, X.; Hu, F. The effects of environmental tax reform on urban air pollution: A quasi-natural experiment based on the Environmental Protection Tax Law. Front. Public Health 2022, 10, 967524. [Google Scholar] [CrossRef]
- Son, S.-R.; An, J.; Choi, J.-W.; Kim, S.; Park, J.; Park, C.B.; Lee, J.H. Moisture-resistant and highly adhesive acrylate-based sealing materials embedded with oxime-based photoinitiators for hermetic optical devices. Korean J. Chem. Eng. 2021, 38, 2567–2573. [Google Scholar] [CrossRef]
- Zhang, X.; Liu, H.; Yue, L.; Bai, Y.; He, J. Fabrication of acrylic pressure-sensitive adhesives containing maleimide for heat-resistant adhesive applications. Polym. Bull. 2018, 76, 3093–3112. [Google Scholar] [CrossRef]
- Zhu, M.L.; Cao, Z.S.; Zhou, H.J.; Xie, Y.J.; Li, G.H.; Wang, N.Y.; Liu, Y.C.; He, L.Q.; Qu, X.W. Preparation of environmentally friendly acrylic pressure-sensitive adhesives by bulk photopolymerization and their performance. RSC Adv. 2020, 10, 10277–10284. [Google Scholar] [CrossRef]
- Kim, M.; Chung, H. Photo-responsive bio-inspired adhesives: Facile control of adhesion strength via a photocleavable crosslinker. Polym. Chem. 2017, 8, 6300–6308. [Google Scholar] [CrossRef]
- Kawashima, S.; Chaouche, M.; Corr, D.J.; Shah, S.P. Influence of purified attapulgite clays on the adhesive properties of cement pastes as measured by the tack test. Cem. Concr. Compos. 2014, 48, 35–41. [Google Scholar] [CrossRef]
- Bhusari, G.S.; Umare, S.S.; Chandure, A.S. Effects of NCO:OH ratio and HEMA on the physicochemical properties of photocurable poly(ester-urethane)methacrylates. J. Coat. Technol. Res. 2015, 12, 571–585. [Google Scholar] [CrossRef]
- Toker, O.S.; Karasu, S.; Yilmaz, M.T.; Karaman, S. Three interval thixotropy test (3ITT) in food applications: A novel technique to determine structural regeneration of mayonnaise under different shear conditions. Food Res. Int. 2015, 70, 125–133. [Google Scholar] [CrossRef]
- Yılmaz, M.T.; Kutlu, G.; Tulukcu, E.; Toker, O.S.; Sagdic, O.; Karaman, S. Rheological characteristics of Salvia sclarea seed gum solutions at different hydration temperature levels: Application of three interval thixotropy test (3ITT). LWT-Food Sci. Technol. 2016, 71, 391–399. [Google Scholar] [CrossRef]
- GB/T2792-2014; Test Method for Peel Strength of Adhesive Tape. China Standard Press: Beijing, China, 2014.
- Liang, S.; Yang, Y.D.; Zhou, H.Y.; Li, Y.Q.; Wang, J.X. Novel polymerizable HMPP-type photoinitiator with carbamate: Synthesis and photoinitiating behaviors. Prog. Org. Coat. 2017, 110, 128–133. [Google Scholar] [CrossRef]
- He, Z.Q.; Wang, Y.S.; Fang, Y.Z.; Meng, Q.H. A photocuring PUA material with adjustable flexibility used in the fast photochromic coating on ophthalmic lenses. Prog. Org. Coat. 2019, 137, 105330. [Google Scholar] [CrossRef]
- Paraskar, P.M.; Hatkar, V.M.; Kulkarni, R.D. Facile synthesis and characterization of renewable dimer acid-based urethane acrylate oligomer and its utilization in UV-curable coatings. Prog. Org. Coat. 2020, 149, 105946. [Google Scholar] [CrossRef]
- Yildiz, Z.; Onen, H.A. Dual-curable PVB based adhesive formulations for cord/rubber composites: The influence of reactive diluents. Int. J. Adhes. Adhes. 2017, 78, 38–44. [Google Scholar] [CrossRef]
- Kim, D.; Lee, D.G.; Kim, J.C.; Lim, C.S.; Kong, N.S.; Jung, H.W.; Noh, S.M.; Park, Y.I. Effect of molecular weight of polyurethane toughening agent on adhesive strength and rheological characteristics of automotive structural adhesives. Int. J. Adhes. Adhes. 2017, 74, 21–27. [Google Scholar] [CrossRef]
- Luo, Z.W.; Liu, K.; Guo, M.L.; Lian, Z.Y.; Yan, H.X.; Wei, W.J.; Zhang, B.H. Modification of ethyl 2-cyanoacrylate using silica and nitrile butadiene rubber to achieve high thixotropy and low internal stress. J. Adhes. Sci. Technol. 2018, 32, 1128–1141. [Google Scholar] [CrossRef]
- Niu, F.; Kou, M.; Fan, J.; Pan, W.; Feng, Z.-J.; Su, Y.; Yang, Y.; Zhou, W. Structural characteristics and rheological properties of ovalbumin-gum arabic complex coacervates. Food Chem. 2018, 260, 1–6. [Google Scholar] [CrossRef]
- Lee, S.H.; You, R.; Yoon, Y.I.; Park, W.H. Preparation and characterization of acrylic pressure-sensitive adhesives based on UV and heat curing systems. Int. J. Adhes. Adhes. 2017, 75, 190–195. [Google Scholar] [CrossRef]
- Güler, B.; Önen, H.; Karahasanoğlu, M.; Serhatlı, E.; Çanak, T.Ç. Preparation and characterization of chalcone functional urethane acrylates for coating applications. Prog. Org. Coat. 2017, 109, 152–159. [Google Scholar] [CrossRef]
- Nakayama, N.; Hayashi, T. Synthesis of novel UV-curable difunctional thiourethane methacrylate and studies on organic–inorganic nanocomposite hard coatings for high refractive index plastic lenses. Prog. Org. Coat. 2008, 62, 274–284. [Google Scholar] [CrossRef]
- Babra, T.S.; Trivedi, A.; Warriner, C.N.; Bazin, N.; Castiglione, D.; Sivour, C.; Hayes, W.; Greenland, B.W. Fluoride degradable and thermally debondable polyurethane based adhesive. Polym. Chem. 2017, 8, 7207–7216. [Google Scholar] [CrossRef]
- Li, M.; Xia, J.; Mao, W.; Yang, X.; Xu, L.; Huang, K.; Li, S. Preparation and Properties of Castor Oil-Based Dual Cross-Linked Polymer Networks with Polyurethane and Polyoxazolidinone Structures. ACS Sustain. Chem. Eng. 2017, 5, 6883–6893. [Google Scholar] [CrossRef]
- Keramatinia, M.; Najafi, F.; Saeb, M.R. Synthesis and viscoelastic properties of acrylated hyperbranched polyamidoamine UV-curable coatings with variable microstructures. Prog. Org. Coat. 2017, 113, 151–159. [Google Scholar] [CrossRef]
- Todorovic, T.; Malmström, E.; Fogelström, L. Effect of Hemicellulose Molecular Weight on Bonding Properties in Biobased Wood Adhesives. ACS Sustain. Chem. Eng. 2022, 10, 15372–15379. [Google Scholar] [CrossRef]
- Bonnefond, A.; Paulis, M.; Leiza, J. Kinetics of the emulsion copolymerization of MMA/BA in the presence of sodium montmorillonite. Appl. Clay Sci. 2011, 51, 110–116. [Google Scholar] [CrossRef]
- Lu, Z.-R. Molecular imaging of HPMA copolymers: Visualizing drug delivery in cell, mouse and man. Adv. Drug Deliv. Rev. 2010, 62, 246–257. [Google Scholar] [CrossRef] [PubMed]
- Tenorio-Alfonso, A.; Sánchez, M.C.; Franco, J.M. Preparation, Characterization and Mechanical Properties of Bio-Based Polyurethane Adhesives from Isocyanate-Functionalized Cellulose Acetate and Castor Oil for Bonding Wood. Polymers 2017, 9, 132. [Google Scholar] [CrossRef]
- Feng, Y.; Wu, D.; Li, R.; Akcora, P. Rheological properties of crosslinked unentangled and entangled Poly(methyl acrylate) nanocomposite networks. Polymer 2022, 255, 125150. [Google Scholar] [CrossRef]
- Li, C.; Xiao, H.; Wang, X.; Zhao, T. Development of green waterborne UV-curable vegetable oil-based urethane acrylate pigment prints adhesive: Preparation and application. J. Clean. Prod. 2018, 180, 272–279. [Google Scholar] [CrossRef]
- Asahara, J.; Hori, N.; Takemura, A.; Ono, H. Crosslinked acrylic pressure-sensitive adhesives. I. Effect of the crosslinking reaction on the peel strength. J. Appl. Polym. Sci. 2003, 87, 1493–1499. [Google Scholar] [CrossRef]
- Horigome, K.; Ebe, K.; Kuroda, S.-I. UV curable pressure-sensitive adhesives for fabricating semiconductors. II. The effect of functionality of acrylate monomers on the adhesive properties. J. Appl. Polym. Sci. 2004, 93, 2889–2895. [Google Scholar] [CrossRef]
- Poh, B.T.; Chew, C.E. Effect of Kaolin on Adhesion Property of Epoxidized Natural Rubber-based Pressure-sensitive Adhesive Using Gum Rosin as the Tackifier. J. Elastomers Plast. 2009, 41, 447–456. [Google Scholar] [CrossRef]
- Huang, W.; Lin, Y.-C.; Feng, C. 52.4: Properties of High Bonding Force Ultra-Violet Induced Debonding Adhesives Film and Application on Process of Flexible AMOLED Modules Lamination. SID Symp. Dig. Tech. Pap. 2021, 52, 621–624. [Google Scholar] [CrossRef]

















| Sample | BA-H/g | IPDI-H/g | Isocyanate Curing Agent/wt% | PETA/wt% | Photoinitator/wt% |
|---|---|---|---|---|---|
| 0% N75 | 20 | 2.08 | 0 | 10 | 2 |
| 0.2% N75 | 20 | 2.08 | 0.2 | 10 | 2 |
| 0.4% N75 | 20 | 2.08 | 0.4 | 10 | 2 |
| 0.6% N75 | 20 | 2.08 | 0.6 | 10 | 2 |
| 0.8% N75 | 20 | 2.08 | 0.8 | 10 | 2 |
| PETA | 5 wt% | 10 wt% | 15 wt% | 20 wt% | 30 wt% | 60 wt% | |
|---|---|---|---|---|---|---|---|
| Fn/N | |||||||
| 0 s | 6.38 | 11.57 | 6.56 | 4.76 | 8.36 | 5.6 | |
| 5 s | 4.71 | 3.86 | 2.34 | 3.46 | 2.45 | 2.24 | |
| 10 s | 0.82 | 2.56 | 2.27 | 3.56 | 1.13 | 0.05 | |
| 15 s | 0.79 | 0.53 | 1.65 | 0.72 | 0.19 | 0.03 | |
| 20 s | 0.65 | 0.34 | 1.57 | 0.61 | 0.14 | 0.02 | |
| 30 s | 0.71 | 0.36 | 1.63 | 0.68 | 0.05 | 0.03 | |
| 40 s | 0.32 | 0.41 | 0.62 | 0.21 | 0.03 | 0.04 | |
| 50 s | 0.13 | 0.23 | 0.18 | 0.36 | 0.04 | 0.02 | |
| 60 s | 0.17 | 0.19 | 0.06 | 0.03 | 0.02 | 0.03 | |
| Samples | Types of Tackifying Resins | Tackifying Resin Content (wt%) |
|---|---|---|
| 1 | Reference tackifying resin | 0 |
| 2 | 10 | |
| 3 | 20 | |
| 4 | 30 | |
| 5 | 40 | |
| 6 | Rosin tackifying resin | 10 |
| 7 | 20 | |
| 8 | 30 | |
| 9 | 40 | |
| 10 | C5 tackifying resin | 10 |
| 11 | 20 | |
| 12 | 30 | |
| 13 | C9 tackifying resin | 30 |
| Samples | 30 wt% Rosin Tackifying Resin (Number of Parts) | 30 wt% C5 Tackifying Resin (Number of Parts) | 30 wt% Reference Tackifying Resin (Number of Parts) |
|---|---|---|---|
| 1 | 10 | 0 | 0 |
| 2 | 0 | 10 | 0 |
| 3 | 5 | 5 | 0 |
| 4 | 7 | 3 | 0 |
| 5 | 0 | 0 | 10 |
| 6 | 0 | 0 | 0 |
Disclaimer/Publisher’s Note: The statements, opinions and data contained in all publications are solely those of the individual author(s) and contributor(s) and not of MDPI and/or the editor(s). MDPI and/or the editor(s) disclaim responsibility for any injury to people or property resulting from any ideas, methods, instructions or products referred to in the content. |
© 2023 by the authors. Licensee MDPI, Basel, Switzerland. This article is an open access article distributed under the terms and conditions of the Creative Commons Attribution (CC BY) license (https://creativecommons.org/licenses/by/4.0/).
Share and Cite
Wang, J.; Dong, Z.; Chen, J.; Chen, S. Preparation of UV Debonding Acrylate Adhesives by a Postgrafting Reaction. Materials 2023, 16, 5911. https://doi.org/10.3390/ma16175911
Wang J, Dong Z, Chen J, Chen S. Preparation of UV Debonding Acrylate Adhesives by a Postgrafting Reaction. Materials. 2023; 16(17):5911. https://doi.org/10.3390/ma16175911
Chicago/Turabian StyleWang, Juan, Zhikai Dong, Jingwen Chen, and Shuangjun Chen. 2023. "Preparation of UV Debonding Acrylate Adhesives by a Postgrafting Reaction" Materials 16, no. 17: 5911. https://doi.org/10.3390/ma16175911
APA StyleWang, J., Dong, Z., Chen, J., & Chen, S. (2023). Preparation of UV Debonding Acrylate Adhesives by a Postgrafting Reaction. Materials, 16(17), 5911. https://doi.org/10.3390/ma16175911
