Experimental and DEM-Based Numerical Studies on the Shearing Characteristics of Talus-like Rock Mass
Abstract
:1. Introduction
2. Large-Scale Direct Shear Test
2.1. Testing Apparatus
2.2. Testing Materials
2.3. Testing Procedures
2.4. Results
2.4.1. Shear–Displacement Relationship
2.4.2. Shear Strength Parameters
2.4.3. Dilatancy
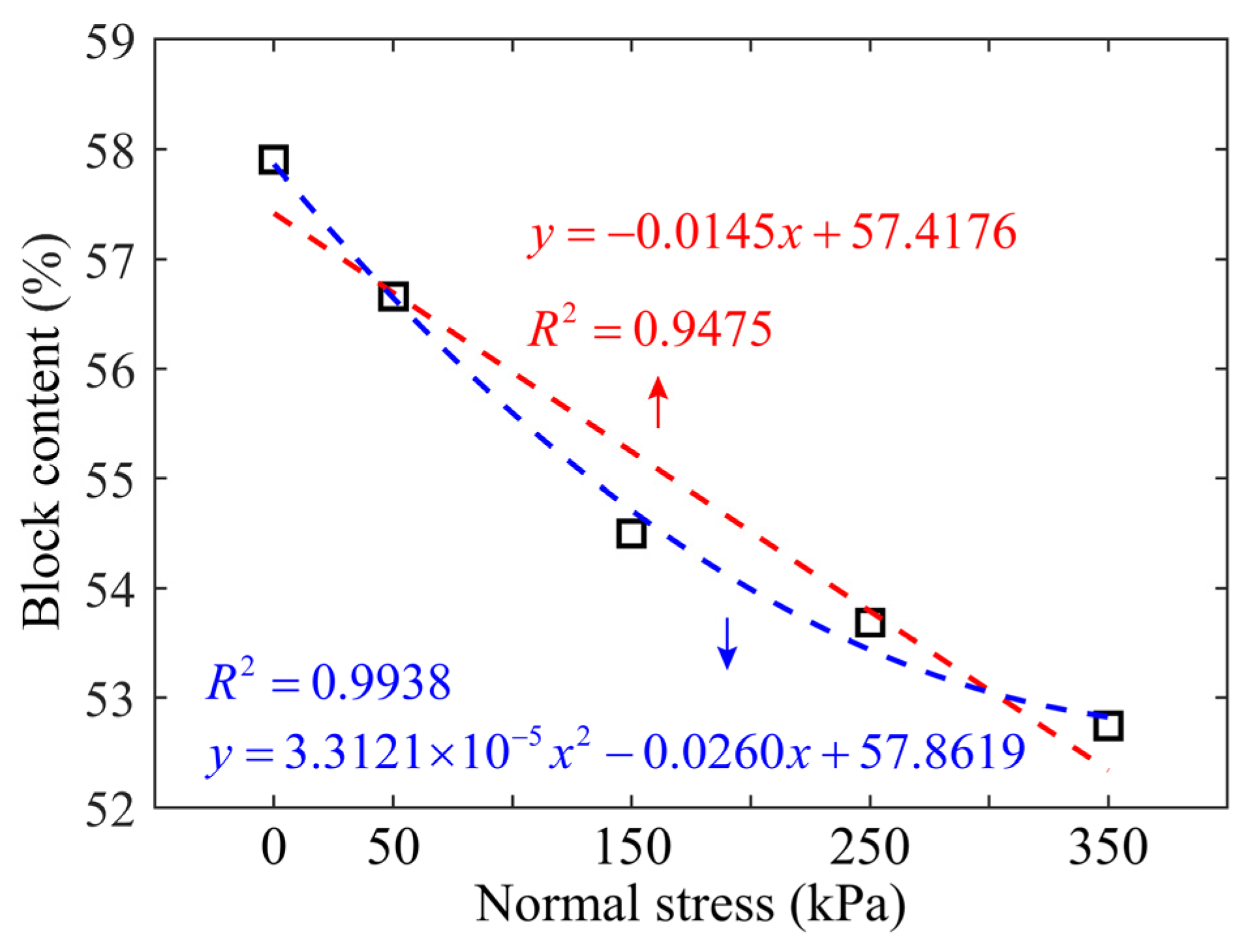
2.4.4. Particle Crushing
3. DEM Simulation on Shear Test
3.1. Model Setup
3.2. Calibration of Micro Parameters
3.3. Simulation Results
3.3.1. Force Chain
3.3.2. Coordination Number
3.3.3. Bond-Break Evolution
4. Conclusions
- (1)
- In the laboratory tests, it was observed that the strain hardening phenomenon mainly occurred at the later of the shearing tests for the mixture and rocky block samples. For the fine grains, the small normal stress (e.g., 50 kPa) induced plastic flow and strain hardening whereas larger normal stresses promoted weak strain softening. Both the cohesion and friction angle increased from fine grains to rocky blocks, showing a dependency on the increasing block content. It was also found that the higher normal stress induced less dilatancy and the increased block content promoted the dilatancy.
- (2)
- The laboratory tests showed that the particle crushing phenomenon became more obvious as the normal stress increased, resulting in the decrease in coarse particle proportion and the increase in fine grain proportion. Meanwhile, the particles in the middle range remained almost unchanged for both the mixture and rocky block samples.
- (3)
- In the DEM-based numerical simulations, the dependency of the force chains on the block content was obtained. The fine grain specimen mainly generated uniform thin force chains while coarser force chains were formed in the samples with higher block content, i.e., the rocky block and mixture samples. In addition, the obvious rock skeleton was observed in the models of rocky blocks and the mixture, implying that the coarse grains were the main bearing component as block content increased.
- (4)
- The evolution of the coordination number was also found to be dependent on the block content, showing that the rocky blocks inside the specimen could help stabilize the fabric during shearing, consistent with the gradual decrease in coordination number during shearing. It is also observed that the larger normal stress promoted larger coordination number and more compacted and stable fabric during the shear process.
- (5)
- The bond-break evolution obtained by the DEM simulation revealed its dependency on the normal stress, i.e., higher normal stress increased the bond-break number and promoted the increase rate. Consequently, the meso-ratio of block breakage had a positive relationship with the normal stress. It was also found that more bond breaks occurred inside the rocky block specimen than in the mixture of the talus-like rock mass.
Author Contributions
Funding
Institutional Review Board Statement
Informed Consent Statement
Data Availability Statement
Conflicts of Interest
References
- Xu, G.; He, C.; Chen, Z.; Yang, Q. Transversely isotropic creep behavior of phyllite and its influence on the long-term safety of the secondary lining of tunnels. Eng. Geol. 2020, 278, 105834. [Google Scholar] [CrossRef]
- Xu, W.J.; Hu, R.L.; Tan, R.J. Some geomechanical properties of soil—rock mixtures in the Hutiao Gorge area, China. Geotechnique 2007, 57, 255–264. [Google Scholar] [CrossRef]
- Zhang, S.; Li, W.; Tan, J.; Li, B.; Li, X.; Wang, S.; Zhang, Z. Stability of a Rock Tunnel Passing through Talus-Like Formations: A Case Study in Southwestern China. Adv. Civ. Eng. 2021, 2021, 5453764. [Google Scholar] [CrossRef]
- Dobrzycki, P.; Kongar-Syuryun, C.; Khairutdinov, A. Vibration Reduction Techniques for Rapid Impulse Compaction (RIC). In Journal of Physics: Conference Series; Institute of Physics Publishing: Bristol, UK, 2020; Volume 1425. [Google Scholar]
- Golik, V.I.; Kongar-Syuryun, C.B.; Michałek, A.; Pires, P.; Rybak, A. Ground Transmitted Vibrations in Course of Innovative Vinyl Sheet Piles Driving. In Journal of Physics: Conference Series; IOP Publishing Ltd.: Bristol, UK, 2021; Volume 1921. [Google Scholar]
- Coli, N.; Berry, P.; Boldini, D. In situ non-conventional shear tests for the mechanical characterisation of a bimrock. Int. J. Rock Mech. Min. Sci. 2011, 48, 95–102. [Google Scholar] [CrossRef]
- Coli, N.; Berry, P.; Boldini, D.; Bruno, R. The contribution of geostatistics to the characterisation of some bimrock properties. Eng. Geol. 2012, 137–138, 53–63. [Google Scholar] [CrossRef]
- Xu, W.J.; Xu, Q.; Hu, R.L. Study on the shear strength of soil–rock mixture by large scale direct shear test. Int. J. Rock Mech. Min. 2011, 48, 1235–1247. [Google Scholar]
- Zhang, Z.-L.; Xu, W.-J.; Xia, W.; Zhang, H.-Y. Large-scale in-situ test for mechanical characterization of soil–rock mixture used in an embankment dam. Int. J. Rock Mech. Min. Sci. 2016, 86, 317–322. [Google Scholar] [CrossRef]
- Kim, D.; Ha, S. Effects of Particle Size on the Shear Behavior of Coarse Grainsed Soils Reinforced with Geogrid. Materials 2014, 7, 963–979. [Google Scholar] [CrossRef] [PubMed]
- Chang, W.-J.; Phantachang, T. Effects of gravel content on shear resistance of gravelly soils. Eng. Geol. 2016, 207, 78–90. [Google Scholar] [CrossRef]
- He, Z.; Zhang, J.; Sun, T. Influence of Maximum Particle Diameter on the Mechanical Behavior of Soil-Rock Mixtures. Adv. Civ. Eng. 2020, 2020, 8850221. [Google Scholar] [CrossRef]
- Li, S.; Yang, Z.; Tian, X.; Xiao, Y.; Li, X.; Liu, X. Influencing factors of scale effects in large-scale direct shear tests of soil-rock mixtures based on particle breakage. Transp. Geotech. 2021, 31, 100677. [Google Scholar] [CrossRef]
- Avşar, E. An experimental investigation of shear strength behavior of a welded bimrock by meso-scale direct shear tests. Eng. Geol. 2021, 294, 106321. [Google Scholar] [CrossRef]
- Yang, Z.; Li, S.; Jiang, Y.; Hu, Y.; Liu, X. Shear Mechanical Properties of the Interphase between Soil–Rock Mixtures and Benched Bedrock Slope Surfaces. Int. J. Geéomeéch. 2022, 22, 04022047. [Google Scholar] [CrossRef]
- Kalender, A.; Sonmez, H.; Medley, E.; Tunusluoglu, C.; Kasapoglu, K. An approach to predicting the overall strengths of unwelded bimrocks and bimsoils. Eng. Geol. 2014, 183, 65–79. [Google Scholar] [CrossRef]
- Afifipour, M.; Moarefvand, P. Mechanical behavior of bimrocks having high rock block proportion. Int. J. Rock Mech. Min. Sci. 2014, 65, 40–48. [Google Scholar] [CrossRef]
- Zhang, Z.; Sheng, Q.; Fu, X.; Zhou, Y.; Huang, J.; Du, Y. An approach to predicting the shear strength of soil-rock mixture based on rock block proportion. Bull. Eng. Geol. Environ. 2020, 79, 2423–2437. [Google Scholar] [CrossRef]
- Dong, H.; Peng, B.; Gao, Q.-F.; Hu, Y.; Jiang, X. Study of hidden factors affecting the mechanical behavior of soil–rock mixtures based on abstraction idea. Acta Geotech. 2021, 16, 595–611. [Google Scholar] [CrossRef]
- Wang, S.; Zhu, Y.; Ma, W.; Wang, Z.; Li, G. Effects of rock block content and confining pressure on dynamic characteristics of soil-rock mixtures. Eng. Geol. 2021, 280, 105963. [Google Scholar] [CrossRef]
- Xu, W.-J.; Zhang, H.-Y. Research on the effect of rock content and sample size on the strength behavior of soil-rock mixture. Bull. Eng. Geol. Environ. 2021, 80, 2715–2726. [Google Scholar] [CrossRef]
- Yao, Y.; Li, J.; Ni, J.; Liang, C.; Zhang, A. Effects of gravel content and shape on shear behaviour of soil-rock mixture: Experiment and DEM modelling. Comput. Geotech. 2022, 141, 104476. [Google Scholar] [CrossRef]
- Rybak, J.; Khayrutdinov, M.M.; Kuziev, D.A.; Kongar-Syuryun, C.B.; Babyr, N.V. Prediction of the Geomechanical State of the Rock Mass When Mining Salt Deposits with Stowing. J. Min. Inst. 2022, 253, 61–70. [Google Scholar] [CrossRef]
- Xu, W.-J.; Hu, L.-M.; Gao, W. Random generation of the meso-structure of a soil-rock mixture and its application in the study of the mechanical behavior in a landslide dam. Int. J. Rock Mech. Min. Sci. 2016, 86, 166–178. [Google Scholar] [CrossRef]
- Xu, W.-J.; Wang, S.; Zhang, H.-Y.; Zhang, Z.-L. Discrete element modelling of a soil-rock mixture used in an embankment dam. Int. J. Rock Mech. Min. Sci. 2016, 86, 141–156. [Google Scholar] [CrossRef]
- Xu, W.-J.; Liu, G.-Y.; Yang, H. Study on the mechanical behavior of sands using 3D discrete element method with realistic particle models. Acta Geotech. 2020, 15, 2813–2828. [Google Scholar] [CrossRef]
- Wang, S.N.; Shi, C.; Xu, W.Y.; Wang, H.L.; Zhu, Q. Numerical direct shear tests for outwash deposits with random structure and composition. Granul. Matter 2014, 16, 771–783. [Google Scholar] [CrossRef]
- Cen, D.; Huang, D.; Ren, F. Shear deformation and strength of the interphase between the soil–rock mixture and the benched bedrock slope surface. Acta Geotech. 2017, 12, 391–413. [Google Scholar] [CrossRef]
- Qian, J.; Yao, Y.; Li, J.; Xiao, H.; Luo, S. Resilient Properties of Soil-Rock Mixture Materials: Preliminary Investigation of the Effect of Composition and Structure. Materials 2020, 13, 1658. [Google Scholar] [CrossRef]
- Yu, J.; Jia, C.; Xu, W.; Zhang, Q.; Wu, C. Granular discrete element simulation of the evolution characteristics of the shear band in soil–rock mixture based on particle rotation analysis. Environ. Earth Sci. 2021, 80, 213. [Google Scholar] [CrossRef]
- Hu, X.; Zhang, H.; Boldini, D.; Liu, C.; He, C.; Wu, S. 3D modelling of soil-rock mixtures considering the morphology and fracture characteristics of breakable blocks. Comput. Geotech. 2021, 132, 103985. [Google Scholar] [CrossRef]
- Zhang, H.; Boldini, D.; Wang, L.; Deng, H.; Liu, C. Influence of Block form on the Shear Behaviour of Soft Soil–Rock Mixtures by 3D Block Modelling Approaches. Rock Mech. Rock Eng. 2022, 55, 3279–3300. [Google Scholar] [CrossRef]
- Gao, W.; Yang, H.; Wang, L.; Hu, R. Numerical Simulations of the Soil–Rock Mixture Mechanical Properties Considering the Influence of Rock Block Proportions by PFC2D. Materials 2021, 14, 5442. [Google Scholar] [CrossRef] [PubMed]
- Lee, D.-S.; Kim, K.-Y.; Oh, G.-D.; Jeong, S.-S. Shear characteristics of coarse aggregates sourced from quarries. Int. J. Rock Mech. Min. Sci. 2009, 46, 210–218. [Google Scholar] [CrossRef]
- Wiącek, J.; Molenda, M.; Ooi, J.Y.; Favier, J. Experimental and numerical determination of representative elementary volume for granular plant materials. Granul. Matter 2012, 14, 449–456. [Google Scholar] [CrossRef]
- Liu, X.; Tu, Y.; Wang, P.; Zhong, Z.; Tang, W.; Du, L. Particle breakage of soil-rock aggregate based on large-scale direct shear tests. Chin. J. Geotech. Eng. 2017, 39, 1425–1434. [Google Scholar]
- Marsal, R.J. Large Scale Testing of Rockfill Materials. J. Soil Mech. Found. Div. 1967, 93, 27–43. [Google Scholar] [CrossRef]
- Hardin, B.O. Crushing of Soil Particles. J. Geotech. Eng. 1985, 111, 1177–1192. [Google Scholar] [CrossRef]
- Lade, P.V.; Yamamuro, J.A.; Bopp, P.A. Significance of Particle Crushing in Granular Materials. J. Geotech. Eng. 1996, 122, 309–316. [Google Scholar] [CrossRef]
- Zhang, S.; Zhang, B.; Han, B.; Zhang, Q.; Liu, D. Study on Meso-Material Parameters of Submarine Weathered Granite Based on Parallel Bond Model. Materials 2022, 15, 3878. [Google Scholar] [CrossRef]
- Jiang, M.; Yu, H.-S.; Harris, D. A novel discrete model for granular material incorporating rolling resistance. Comput. Geotech. 2005, 32, 340–357. [Google Scholar] [CrossRef]
- Huang, X.; O’Sullivan, C.; Hanley, K.; Kwok, C. Discrete-element method analysis of the state parameter. Geotechnique 2014, 64, 954–965. [Google Scholar] [CrossRef]
- Huang, X.; Hanley, K.J.; O’Sullivan, C.; Kwok, C.Y. Exploring the influence of interparticle friction on critical state behaviour using DEM. Int. J. Numer. Anal. Methods Geéomeéch. 2014, 38, 1276–1297. [Google Scholar] [CrossRef]
- Kodicherla, S.P.K.; Gong, G.; Yang, Z.X.; Krabbenhoft, K.; Fan, L.; Moy, C.K.S.; Wilkinson, S. The influence of particle elongations on direct shear behaviour of granular materials using DEM. Granul. Matter 2019, 21, 86. [Google Scholar] [CrossRef]
- Zhao, S.; Zhou, X.; Liu, W. Discrete element simulations of direct shear tests with particle angularity effect. Granul. Matter 2015, 17, 793–806. [Google Scholar] [CrossRef]
- Bian, X.; Li, W.; Qian, Y.; Tutumluer, E. Micromechanical Particle Interactions in Railway Ballast through DEM Simulations of Direct Shear Tests. Int. J. Geéomeéch. 2019, 19, 04019031. [Google Scholar] [CrossRef]




























| Types | Block Content (%) | Cohesion (kPa) | Friction Angle (°) |
|---|---|---|---|
| Fine grains | 0 | 1.40 | 41.3 |
| Mixture | 57.9 | 4.56 | 45.8 |
| Rock blocks | 100 | 9.01 | 47.36 |
| Material | Contact Model | Parameter | Value |
|---|---|---|---|
| Fine grains | Rolling resistance model | Elastic modulus of contacts (MPa) | 70.0 |
| Stiffness ratio of normal to tangential contact | 1.5 | ||
| Friction coefficient | 0.5 | ||
| Rolling resistance coefficient | 3.0 | ||
| Rocky blocks | Parallel bonding model | Elastic modulus of contacts (MPa) | 100.0 |
| Stiffness ratio of normal to tangential contact | 1.5 | ||
| Friction coefficient | 0.45 | ||
| Elastic modulus of the parallel bond (MPa) | 100.0 | ||
| Stiffness ratio of normal to tangential of the parallel bond | 1.5 | ||
| Parallel bond tensile strength (MPa) | 8.0 | ||
| Parallel bond cohesion (MPa) | 4.0 | ||
| Parallel bond frictional angle (°) | 45.0 | ||
| Contacts of fine grain–block and block–block | Rolling resistance model | Elastic modulus of contacts (MPa) | 100.0 |
| Stiffness ratio of normal to tangential contact | 1.5 | ||
| Friction coefficient | 0.45 | ||
| Rolling resistance coefficient | 1.0 |
Publisher’s Note: MDPI stays neutral with regard to jurisdictional claims in published maps and institutional affiliations. |
© 2022 by the authors. Licensee MDPI, Basel, Switzerland. This article is an open access article distributed under the terms and conditions of the Creative Commons Attribution (CC BY) license (https://creativecommons.org/licenses/by/4.0/).
Share and Cite
Li, X.; Zhang, Z.; Yi, Y.; Wang, S. Experimental and DEM-Based Numerical Studies on the Shearing Characteristics of Talus-like Rock Mass. Materials 2022, 15, 6372. https://doi.org/10.3390/ma15186372
Li X, Zhang Z, Yi Y, Wang S. Experimental and DEM-Based Numerical Studies on the Shearing Characteristics of Talus-like Rock Mass. Materials. 2022; 15(18):6372. https://doi.org/10.3390/ma15186372
Chicago/Turabian StyleLi, Xiaochang, Zixin Zhang, Yinlian Yi, and Shuaifeng Wang. 2022. "Experimental and DEM-Based Numerical Studies on the Shearing Characteristics of Talus-like Rock Mass" Materials 15, no. 18: 6372. https://doi.org/10.3390/ma15186372
APA StyleLi, X., Zhang, Z., Yi, Y., & Wang, S. (2022). Experimental and DEM-Based Numerical Studies on the Shearing Characteristics of Talus-like Rock Mass. Materials, 15(18), 6372. https://doi.org/10.3390/ma15186372

