Effect of B on Microstructure and Properties of Surfacing Layer of Austenitic Stainless Steel Flux Cored Wire
Abstract
:1. Introduction
2. Materials and Methods
3. Experimental Results and Discussion
3.1. Effect of B Content on Phase Structure
3.2. Effect of B Content on Microstructure
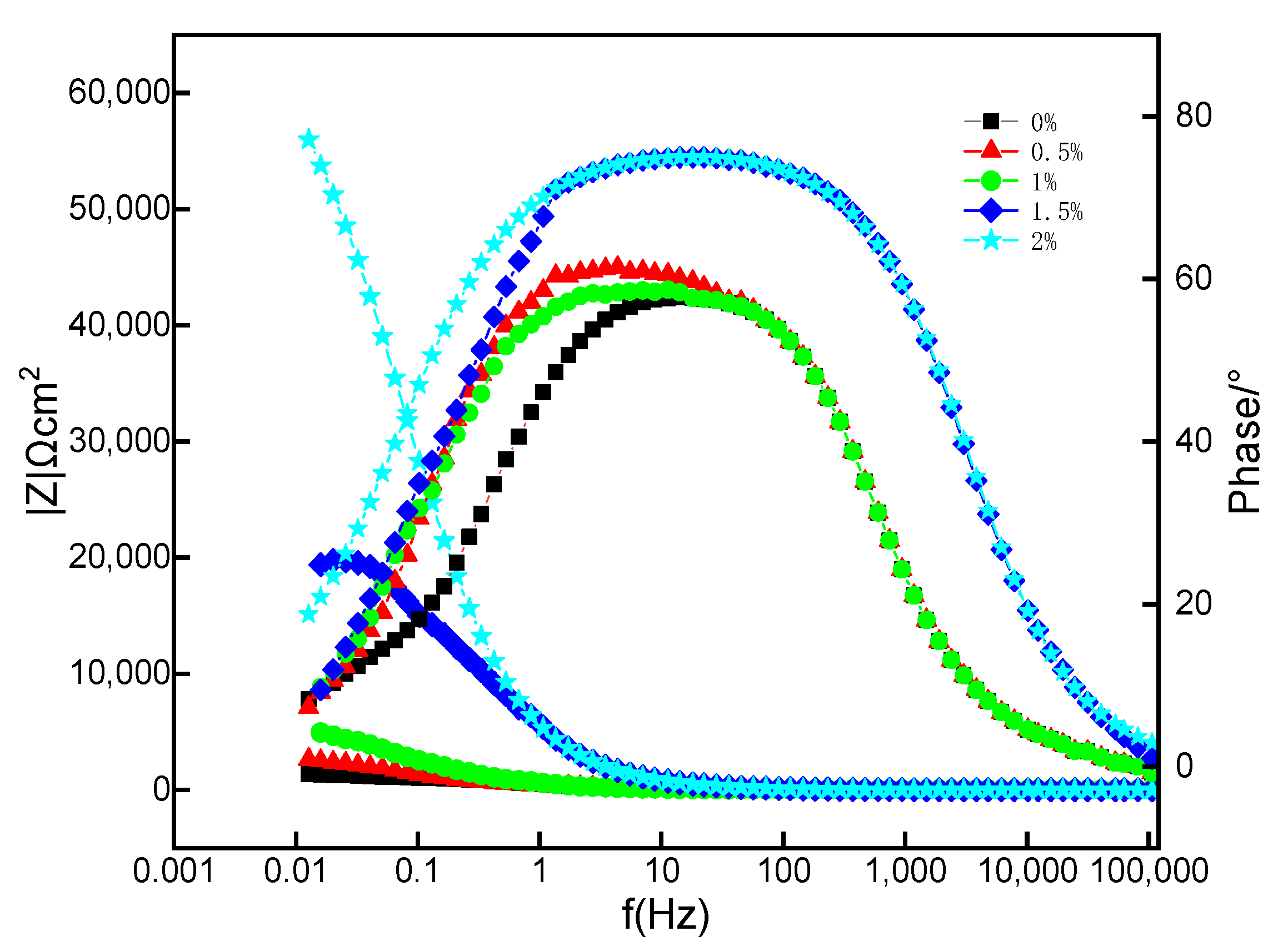
3.3. Effect of B Content on Corrosion Resistance
3.4. B Effect on Mechanical Properties
4. Conclusions
Author Contributions
Funding
Data Availability Statement
Conflicts of Interest
References
- Mohammadi, F.; Nickchi, T.; Attar, M.; Alfantazi, A. EIS study of potentiostatically formed passive film on 304 stainless steel. Electrochim. Acta 2011, 56, 8727–8733. [Google Scholar] [CrossRef]
- Wang, J.; Cui, Y.; Bai, J.; Dong, N.; Liu, Y.; Zhang, C.; Han, P. Effect of B addition on the microstructure and corrosion resistance of S31254 super austenitic stainless steels after solid solution treatment. Mater. Lett. 2019, 252, 60–63. [Google Scholar] [CrossRef]
- Fu, H.; Xing, J. Manufacturing Technology of Wear-Resistant Castings; China Machine Press: Beijing, China, 2009. [Google Scholar]
- Kocaman, E.; Kılınç, B.; Şen, Ş.; Şen, U. Effect of chromium content on Fe(18−x)CrxB2(X = 3,4,5) hardfacing electrode on microstructure, abrasion and corrosion behavior. J. Fac. Eng. Archit. Gazi Univ. 2021, 36, 177–190. [Google Scholar]
- Medvedovski, E. Advanced iron boride coatings to enhance corrosion resistance of steels in geothermal power generation. Adv. Appl. Ceram. 2020, 119, 462–481. [Google Scholar] [CrossRef]
- Günen, A.; Karahan, I.H.; Karakaş, M.S.; Kurt, B.; Kanca, Y.; Çay, V.V.; Yıldız, M. Properties and Corrosion Resistance of AISI H13 Hot-Work Tool Steel with Borided B4C Powders. Met. Mater. Int. 2019, 26, 1329–1340. [Google Scholar] [CrossRef]
- Zhang, C.; Chen, G.J.; Dai, P.Q. Evolution of the microstructure and properties of laser- clad FeCrNiCoBx high-entropy alloy coatings. Met. Sci. J. 2016, 32, 1666–1672. [Google Scholar] [CrossRef]
- Ouyang, X.; Chen, G.; Yin, F.; Liu, Y.; Zhao, M. Effect of Molybdenum on the Microstructures of As-Cast Fe-B Alloys and Their Corrosion Resistance in Molten Zinc. Corros. J. Sci. Eng. 2017, 73, 942–952. [Google Scholar] [CrossRef]
- Tsuchiya, H.; Fujimoto, S.; Chihara, O.; Shibata, T. Semiconductive behavior of passive films formed on pure Cr and Fe–Cr alloys in sulfuric acid solution. Electrochim. Acta 2003, 47, 4357–4366. [Google Scholar] [CrossRef]
- Zeng, L.; Guo, X.P.; Zhang, G.A.; Chen, H.X. Semiconductivities of passive films formed on stainless steel bend under erosion-corrosion conditions. Corros. Sci. 2018, 144, 258–265. [Google Scholar] [CrossRef]
- Zhang, G.A.; Cheng, Y.F. Micro-electrochemical characterization and Mott–Schottky analysis of corrosion of welded X70 pipeline steel in carbonate/bicarbonate solution. Electrochim. Acta 2009, 55, 316–324. [Google Scholar] [CrossRef]
- Xu, T.; Wei, C.; Han, X.; Liu, J.; He, Z.; Lü, N. Effect of Carbon Content and Elements Mo and V on the Microstructure and Properties of Stainless Steel Powder Surfacing Layer. Coatings 2020, 10, 371. [Google Scholar] [CrossRef] [Green Version]
- Lu, Y.C.; Bandy, R.; Clayton, C.R.; Newman, R.C. Cheminform Abstract: Surface Enrichment of Nitrogen During Passivation of a Highly Resistant Stainless Steel. Chem. Inf. 1983, 14, 306–314. [Google Scholar] [CrossRef]
- Nunes, M.M.; Gomes, J.H.D.F.; Brito, T.G.; Renzetti, R.A. Effect of Flux Cored arc Welding Process Parameters on Corrosion Resistance of Austenitic Stainless Steel Claddings. Mater. Res. 2020, 23. [Google Scholar] [CrossRef]
- Kumar, P.; Sinha, A.N. Effect of average beam power on microstructure and mechanical properties of Nd: YAG laser welding of 304L and st37 steel. Mil. Oper. Res. 2019, 16, 377–388. [Google Scholar] [CrossRef]
- Wu, C.L.; Zhang, S.; Zhang, C.H.; Zhang, H.; Dong, S.Y. Phase evolution and properties in laser surface alloying of FeCoCrAlCuNix high-entropy alloy on copper substrate. Surf. Coat. Technol. 2017, 315, 368–376. [Google Scholar] [CrossRef]
- Tian, Y.; Ju, J.; Fu, H.; Ma, S.; Lin, J.; Lei, Y. Effect of chromium content on microstructure, hardness, and wear resistance of as-cast Fe-Cr-B alloy. J. Mater. Eng. Perform. 2019, 28, 6428–6437. [Google Scholar] [CrossRef]
- Zhang, Z.; Dong, Q.; Song, B.; He, H.; Chai, L.; Guo, N.; Wang, B.; Yao, Z. Effect of Shear Strain Rate on Microstructure and Properties of Austenitic Steel Processed by Cyclic Forward/Reverse Torsion. Materials 2019, 12, 506. [Google Scholar] [CrossRef] [PubMed]
- Li, X.; Gong, B.; Deng, C.; Li, Y. Effect of pre-strain on microstructure and hydrogen embrittlement of K-TIG welded austenitic stainless steel-ScienceDirect. Corros. Sci. 2019, 149, 1–17. [Google Scholar] [CrossRef]













| Element | C | Si | Mn | Ni | Cr | Fe |
|---|---|---|---|---|---|---|
| Content | <0.08 | ≤1 | ≤2 | 8 | 18 | Bal |
| Experimental Force (N) | Wear Time (min) | Friction Torque (N·m) | Revolutions (r/min) |
|---|---|---|---|
| 200 | 30 | 10 | 100 |
| Element content | 0 | 0.5 | 1 | 1.5 | 2 |
| grain size | 180 | 169 | 155 | 135 | 119 |
| Component | B | C | Cr | Ni | Mo | Si | Fe |
|---|---|---|---|---|---|---|---|
| At% | 29.41 | 3 | 26.35 | 4.48 | 0.41 | 3.71 | 32.44 |
| Wt% | 8.56 | 1.5 | 39.83 | 7.94 | 1.76 | 3.15 | 53.04 |
| B Addition (%) | Self Corrosion Potential (V) | Self Corrosion Current (mA·cm2) |
|---|---|---|
| 0 | −0.111 | 1.47 × 10−7 |
| 0.5 | −0.115873 | 6.67054 × 10−9 |
| 1 | −0.135169 | 3.3419 × 10−9 |
| 1.5 | −0.18051 | 3.80451 × 10−10 |
| 2 | −0.254438 | 1.75766 × 10−11 |
| Sample | Rs (Ωcm2) | CPE1 (Ω-1s-ncm2) | N1 | Rt (Ωcm2) | CPE2 (Ω-1s-ncm2) | N2 | Rf (Ωcm2) |
|---|---|---|---|---|---|---|---|
| A | 6.556 | 3.983 × 10−4 | 0.7378 | 1.221 × 103 | 2.123 × 10−2 | 0.766 | 1.085 × 102 |
| B | 6.683 | 2.913 × 10−4 | 0.7824 | 3.023 × 103 | 3.905 × 10−4 | 0.7226 | 2.285 × 103 |
| C | 6.627 | 3.253 × 10−4 | 0.7643 | 4.584 × 102 | 3.678 × 10−5 | 1 | 4.377 × 103 |
| D | 6.02 | 3.61 × 10−5 | 0.8474 | 1.825 × 104 | 4.341 × 10−4 | 0.3310 | 5.19 × 103 |
| E | 6.016 | 3.59 × 10−5 | 0.8 | 2.161 × 102 | 1.89 × 10−5 | 0.8471 | 7.7 × 103 |
| Addition Amount | 0 | 0.5 | 1 | 1.5 | 2 |
|---|---|---|---|---|---|
| Average hardness | 18 | 28 | 35 | 40 | 43.5 |
| wear loss | 0.0827 | 0.0528 | 0.0228 | 0.0172 | 0.0141 |
Publisher’s Note: MDPI stays neutral with regard to jurisdictional claims in published maps and institutional affiliations. |
© 2022 by the authors. Licensee MDPI, Basel, Switzerland. This article is an open access article distributed under the terms and conditions of the Creative Commons Attribution (CC BY) license (https://creativecommons.org/licenses/by/4.0/).
Share and Cite
Guo, J.; Liu, Z.; Su, Y. Effect of B on Microstructure and Properties of Surfacing Layer of Austenitic Stainless Steel Flux Cored Wire. Materials 2022, 15, 5884. https://doi.org/10.3390/ma15175884
Guo J, Liu Z, Su Y. Effect of B on Microstructure and Properties of Surfacing Layer of Austenitic Stainless Steel Flux Cored Wire. Materials. 2022; 15(17):5884. https://doi.org/10.3390/ma15175884
Chicago/Turabian StyleGuo, Jianbo, Zhengjun Liu, and Yunhai Su. 2022. "Effect of B on Microstructure and Properties of Surfacing Layer of Austenitic Stainless Steel Flux Cored Wire" Materials 15, no. 17: 5884. https://doi.org/10.3390/ma15175884
APA StyleGuo, J., Liu, Z., & Su, Y. (2022). Effect of B on Microstructure and Properties of Surfacing Layer of Austenitic Stainless Steel Flux Cored Wire. Materials, 15(17), 5884. https://doi.org/10.3390/ma15175884

