Bioactivity Evaluation of Biphasic Hydroxyapatite Bone Substitutes Immersed and Grown with Supersaturated Calcium Phosphate Solution
Abstract
1. Introduction
2. Materials and Methods
2.1. Preparation of Supersaturated Calcium Phosphate Solution
2.2. Determination of Ca and P Concentrations in Supernatants of Supersaturated Calcium Phosphate Solution by Absorbance Measurement
2.3. Morphological Observation of Precipitates
2.4. X-ray Diffraction Analysis and Fourier Transform Infrared Spectrophotometry of HA Granules and Precipitates
2.5. Preparation of Biphasic Bone Substitute Granules
2.6. Observation of Biphasic Bone Substitute Granules
2.7. Cell Culturing
2.8. Cytotoxicity Testing
2.9. Cell Differentiation Testing
2.10. Animal Experiment
2.11. Statistical Evaluation
3. Results
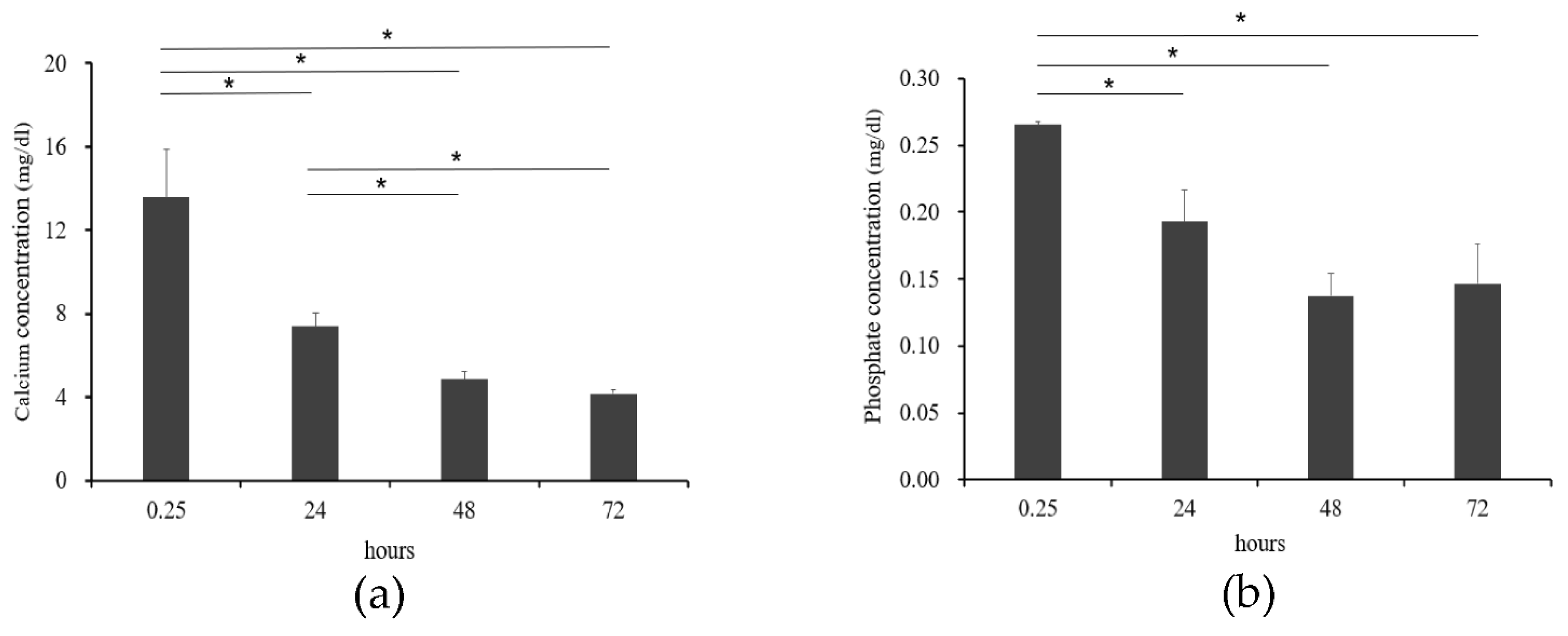
3.1. Absorbance Analysis of Ca and P Concentrations in Supernatants
3.2. Morphological Observation of Precipitates
3.3. XRD and FT-IR Analysis of Precipitates
3.4. Observation of the Surface of Biphasic HA Granules
3.5. Cytotoxicity Testing
3.6. Cell Differentiation Testing
3.7. Animal Experiment
4. Discussion
5. Conclusions
Author Contributions
Funding
Institutional Review Board Statement
Informed Consent Statement
Data Availability Statement
Acknowledgments
Conflicts of Interest
References
- Chavda, S.; Levin, L. Human studies of vertical and horizontal alveolar ridge augmentation comparing different types of bone graft materials: A systematic review. J. Oral Implantol. 2018, 44, 74–84. [Google Scholar] [CrossRef] [PubMed]
- Kudoh, K.; Fukuda, N.; Kasugai, S.; Tachikawa, N.; Koyano, K.; Matsushita, Y.; Ogino, Y.; Ishikawa, K.; Miyamoto, Y. Maxillary sinus floor augmentation using low-crystalline carbonate apatite granules with simultaneous implant installation: First-in-human clinical trial. J. Oral Maxillofac. Surg. 2019, 77, 985.e1–985.e11. [Google Scholar] [CrossRef]
- Nakagawa, T.; Kudoh, K.; Fukuda, N.; Kasugai, S.; Tahikawa, N.; Koyano, K.; Matsushita, Y.; Sasaki, M.; Ishikawa, K.; Miyamoto, Y. Application of low-crystalline carbonate apatite granules in 2-stage sinus floor augmentation: A prospective clinical trial and histomorphometric evaluation. J. Periodontal Implant Sci. 2019, 49, 382–396. [Google Scholar] [CrossRef] [PubMed]
- Matsuno, T.; Omata, K.; Hashimoto, Y.; Satoh, T. Alveolar bone tissue engineering using composite scaffolds for drug delivery. Jpn. Dent. Sci. Rev. 2010, 46, 188–192. [Google Scholar] [CrossRef]
- Shigeishi, H.; Takechi, M.; Nishimura, M.; Takamoto, M.; Minami, M.; Ohta, K.; Kamata, N. Clinical evaluation of novel interconnected porous hydroxyapatite ceramics (IP-CHA) in a maxillary sinus floor augmentation procedure. Dent. Mater. J. 2012, 31, 54–60. [Google Scholar] [CrossRef][Green Version]
- Cabezas-Mojón, J.; Barona-Dorado, C.; Gómez-Moreno, G.; Fernández-Cáliz, F.; Martínez-González, J.M. Meta-analytic study of implant survival following sinus augmentation. Med. Oral Patol. Oral Cir. Buccal 2012, 17, e135. [Google Scholar] [CrossRef][Green Version]
- Rickert, D.; Slater, J.J.R.H.; Meijer, H.J.A.; Vissink, A.; Raghoebar, G.M. Maxillary sinus lift with solely autogenous bone compared to a combination of autogenous bone and growth factors or (solely) bone substitutes. A systematic review. Int. J. Oral Maxillofac. Surg. 2012, 41, 160–167. [Google Scholar] [CrossRef]
- Draenert, F.G.; Huetzen, D.; Neff, A.; Mueller, W.E.G. Vertical bone augmentation procedures: Basics and techniques in dental implantology. J. Biomed. Mater. Res. A 2014, 102, 1605–1613. [Google Scholar] [CrossRef]
- Suwimon, B.; Eileen, G.; Raffaella, C.; Nicholas, D.E.; David, W.M.; Alexandra, E.P.; Molly, M.S. The role of intracellular calcium phosphate in osteoblast-mediated bone apatite formation. Proc. Natl. Acad. Sci. USA 2012, 109, 14170–14175. [Google Scholar]
- White, A.A.; Best, S.M.; Kinloch, I.A. Hydroxyapatite-carbon nanotube composites for biomedical applications: A review. Int. J. Appl. Ceram. Technol. 2007, 4, 1–13. [Google Scholar] [CrossRef]
- Agnieszka, S.K.; Anna, D.; Wioletta, F.; Magdalena, G.; Sonia, K.K.; Dagmara, S.; Agnieszka, T.; Bozena, T. Review of the applications of biomedical compositions containing hydroxyapatite and collagen modified by bioactive components. Materials 2021, 14, 2096. [Google Scholar] [CrossRef]
- Kokubo, T.; Takadama, H. How useful SBF in predicting in vivo bone bioactivity? Biomaterials 2006, 27, 2907–2915. [Google Scholar] [CrossRef]
- Kokubo, T.; Ito, S.; Shigematsu, M.; Sanka, S.; Yamamuro, T. Fatigue and life-time of bioactive glass-ceramic A-W containing apatite and wollastonite. J. Mater. Sci. 1987, 22, 4067–4070. [Google Scholar] [CrossRef]
- Kokubo, T.; Kushitani, H.; Sakka, S.; Kitsugi, T.; Yamamuro, T. Solutions able to reproduce in vivo surface-structure change in bioactive glass-ceramic A–W3. J. Biomed. Mater. Res. 1990, 24, 721–734. [Google Scholar] [CrossRef]
- Kokubo, T.; Ito, S.; Huang, Z.T.; Hayashi, T.; Sakka, S.; Kitsuji, T.; Yamamuro, T. Ca, P-rich layer formed on high-strength bioactive glass-ceramic A-W3. J. Biomed. Mater. Res. 1990, 24, 331–343. [Google Scholar] [CrossRef]
- Filgueiras, M.R.; Torre, G.L.; Hench, L.L. Solution effects on the surface reactions of a bioactive glass. J. Biomed. Mater. Res. 1993, 27, 445–453. [Google Scholar] [CrossRef]
- Ohtsuki, C.; Kushitani, H.; Kokubo, T.; Kotani, S.; Yamamuro, T. Apatite formation on the surface of Ceravital-type glass-ceramic in the body. J. Biomed. Mater. Res. 1991, 25, 1363–1370. [Google Scholar] [CrossRef] [PubMed]
- Oyane, A.; Uchida, M.; Choong, C.; Triffitt, J.; Jones, J.; Ito, A. Simple surface odification of poly (ε-caprolactone) for apatite deposition from simulated body fluid. Biomaterials 2005, 26, 2407–2413. [Google Scholar] [CrossRef]
- Mutsuzaki, H.; Ito, A.; Sakane, M.; Sogo, Y.; Oyane, A.; Ebihara, Y.; Ichinose, N.; Ochiai, N. Calcium phosphate coating formed in infusion fluid mixture to enhance fixation strength of titanium screws. J. Mater. Sci. 2007, 18, 1799–1808. [Google Scholar] [CrossRef] [PubMed]
- Yanagisawa, Y.; Ito, A.; Hara, Y.; Mutsuzaki, H.; Murai, S.; Fujii, K.; Sogo, Y.; Hirose, M.; Oyane, A.; Kobayashi, F.; et al. Initial clinical trial ofpins coated with fibroblast growth factor-2-apatite composite layer in external fixation of distal radius fractures. J. Orthop. 2018, 16, 69–73. [Google Scholar] [CrossRef] [PubMed]
- Mutsuzaki, H.; Ito, A.; Sakane, M.; Sogo, Y.; Oyane, A.; Ochiai, N. Fibroblast growth factor-2-apatite composite layers on titanium screws to reduce pin tract infection rate. J. Biomed. Mater. Res. B Appl. Biomater. 2008, 86, 365–374. [Google Scholar] [CrossRef] [PubMed]
- Fujii, K.; Ito, A.; Mutsuzaki, H.; Murai, S.; Sogo, Y.; Hara, Y.; Yamazaki, M. Reducing the risk of impaired bone apposition to titanium screws with the use of fibroblast growth factor-2-apatite composite layer coating. J. Orthop. Surg. Res. 2017, 12, 1. [Google Scholar] [CrossRef]
- Davies, O.G.; Grover, L.M.; Lewis, M.P.; Liu, Y. PDGF is a potent inhibitor of bone formation in a tissue engineered model of pathological ossification. J. Tissue Eng. Regen. Med. 2018, 12, 355–367. [Google Scholar] [CrossRef]
- Sharma, K.; Sharma, S.; Thapa, S.; Bhagat, M.; Kumar, V.; Sharma, V. Nanohydroxyapatite-, gelatin-, and acrylic acid-based novel dental restorative material. ACS Omega 2020, 5, 27886–27895. [Google Scholar] [CrossRef]
- Dagmara, M.; Kamila, B.; Agnieszka, S.K. Studies on sintering process of synthetic hydroxyapatite. Acta Biochim. Pol. 2013, 60, 851–856. [Google Scholar]
- Shimada, Y.; Chow, L.C.; Takagi, S.; Tagami, J. Properties of Injectable Apatite- Forming Premixed Cements. J. Res. Natl Stand. Technol. 2010, 115, 233–241. [Google Scholar] [CrossRef] [PubMed]
- Kikuchi, M.; Itoh, S.; Ichinose, S.; Shinomiya, K.; Tanaka, J. Self-organization mechanism in a bone-like hydroxyapatite/collagen nanocomposite synthesized in vitro and its biological reaction in vivo. Biomaterials 2001, 22, 1705–1711. [Google Scholar] [CrossRef]
- Dey, A.; Bomans, P.H.; Müller, F.A.; Will, J.; Frederik, P.M.; de With, G.; Sommerdijk, N.A. The role of prenucleation clusters in surface-induced calcium phosphate crystallization. Nat. Materials. 2010, 9, 1010–1014. [Google Scholar] [CrossRef]
- Nakajima, T. Effects of hypergravity on Migration, Proliferation and Function of Mouse Osteoblastic Cell Line MC3T3-E1. J. Stomatol. Soc. Jpn. 1991, 58, 529–544. [Google Scholar] [CrossRef] [PubMed]
- Jiwoon, J.; Jun, H.K.; Jung, H.S.; Nathaniel, S.H.; Chan, Y.H. Bioactive calcium phosphate materials and applications in bone regeneration. Biomater. Res. 2019, 23, 1–11. [Google Scholar] [CrossRef]
- Satyavrata, S.; Abby, R.W.; Aaron, S.G. Calcium phosphate ceramics in bone tissue engineering: A review of properties and their influence on cell behavior. Acta Biomater. 2013, 9, 8037–8045. [Google Scholar] [CrossRef]
- Tsuchiya, A.; Sotome, S.; Asou, Y.; Kikuchi, M.; Koyama, Y.; Ogawa, T.; Tanaka, J.; Shinomiya, K. Effects of pore size and implant volume of porous hydroxyapatite/collagen (Hap/Col) on bone formation in a rabbit bone formation in a rabbit bone defect model. J. Med. Dent. Sci. 2008, 55, 91–99. [Google Scholar] [PubMed]

















| Solution Composition | Calcium-Containing Solution (mM) | Phosphorus-Containing Solution (mM) | NaHCO3 Solution (mM) | Calcium-Phosphate Solution (mM) | ||
|---|---|---|---|---|---|---|
| Ringer’s Solution | Concyte-Ca | Klinisalz B | Conclyte-P | Meylon | - | |
| pH (37 °C) | - | - | - | - | - | 7.82 |
| Volume (mL) | 8.135 | 0.037 | 0.898 | 0.019 | 0.911 | 10.00 |
| Na+ | 147.00 | - | 45.0 | - | 833.00 | - |
| K+ | 4.00 | - | 25.0 | 1000.00 | - | 7.41 |
| Mg2+ | - | - | 5.00 | - | - | - |
| Ca2+ | 4.5 | 500.00 | - | - | - | 7.54 |
| Cl− | 156.00 | 1000.00 | 45.00 | - | - | - |
| HP2O42− | - | - | 10.00 | - | - | - |
| HPO42− | - | - | - | 500.00 | - | - |
| HCO3− | - | - | - | - | 833.00 | - |
| CH3COO− | - | - | 20.00 | - | - | - |
Publisher’s Note: MDPI stays neutral with regard to jurisdictional claims in published maps and institutional affiliations. |
© 2021 by the authors. Licensee MDPI, Basel, Switzerland. This article is an open access article distributed under the terms and conditions of the Creative Commons Attribution (CC BY) license (https://creativecommons.org/licenses/by/4.0/).
Share and Cite
Yamaguchi, Y.; Matsuno, T.; Miyazawa, A.; Hashimoto, Y.; Satomi, T. Bioactivity Evaluation of Biphasic Hydroxyapatite Bone Substitutes Immersed and Grown with Supersaturated Calcium Phosphate Solution. Materials 2021, 14, 5143. https://doi.org/10.3390/ma14185143
Yamaguchi Y, Matsuno T, Miyazawa A, Hashimoto Y, Satomi T. Bioactivity Evaluation of Biphasic Hydroxyapatite Bone Substitutes Immersed and Grown with Supersaturated Calcium Phosphate Solution. Materials. 2021; 14(18):5143. https://doi.org/10.3390/ma14185143
Chicago/Turabian StyleYamaguchi, Yusuke, Tomonori Matsuno, Atsuko Miyazawa, Yoshiya Hashimoto, and Takafumi Satomi. 2021. "Bioactivity Evaluation of Biphasic Hydroxyapatite Bone Substitutes Immersed and Grown with Supersaturated Calcium Phosphate Solution" Materials 14, no. 18: 5143. https://doi.org/10.3390/ma14185143
APA StyleYamaguchi, Y., Matsuno, T., Miyazawa, A., Hashimoto, Y., & Satomi, T. (2021). Bioactivity Evaluation of Biphasic Hydroxyapatite Bone Substitutes Immersed and Grown with Supersaturated Calcium Phosphate Solution. Materials, 14(18), 5143. https://doi.org/10.3390/ma14185143

