Antibody CD133 Biofunctionalization of Ammonium Acryloyldimethyltaurate and Vinylpyrrolidone Co-Polymer-Based Coating of the Vascular Implants
Abstract
1. Introduction
2. Materials and Methods
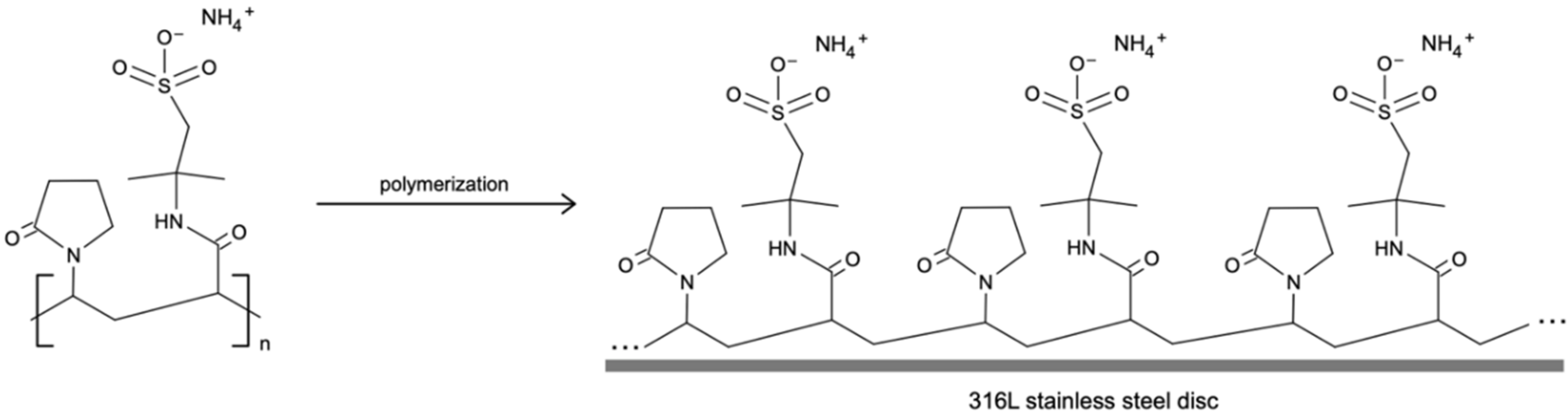
2.1. AVC Film Formation
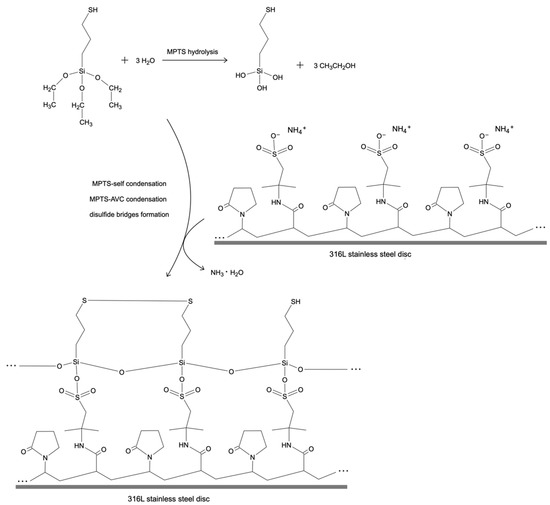
2.2. Mercaptosilanization
2.3. Surface Biofunctionalization with Anti-CD133 Antibodies
2.4. ATR-FTIR Spectroscopy
2.5. FT-Raman Spectroscopy
2.6. Scanning Electron Microscopy
2.7. Atomic Force Microscopy
2.8. Cell Cultures
2.9. Hemolysis Assay
2.10. Bright-Field Microscopy
2.11. Cell Counting
3. Results
3.1. Spectroscopic Evaluation of Functionalized Surfaces
3.2. Nanostructural Characterization of Biofunctionalized Surfaces
3.3. Biosafety Assessment of Biofunctionalized AVC Surfaces
4. Discussion
Author Contributions
Funding
Conflicts of Interest
Abbreviations
| AFM | Atomic Force Microscopy |
| ATR-FTIR | Attenuated Total Reflection Fourier Transform Infrared Spectroscopy |
| AVC | Ammonium Acryloyldimethyltaurate/Vinylpyrrolidone co-polymer |
| BMS | Bare Metal Stents |
| BRS | Bioresorbable Scaffolds |
| DES | Drug Eluting Stents |
| DTT | Dithiothreitol |
| ECs | Endothelial Cells |
| EPCs | Endothelial Progenitor Cells |
| FCS | Fetal Calf Serum |
| FT-Raman | Fourier Transform Raman Spectroscopy |
| MPST | (3-Mercaptopropyl) trimethoxysilane |
| PBS | Phosphate Buffered Saline |
| SEM | Scanning Electron Microscopy |
References
- Ates, H.C.; Ozgur, E.; Kulah, H. Comparative study on antibody immobilization strategies for efficient circulating tumor cell capture. Biointerphases 2018, 13, 1–10. [Google Scholar] [CrossRef] [PubMed]
- Wawrzyńska, M.; Kraskiewicz, H.; Paprocka, M.; Krawczenko, A.; Bielawska-Pohl, A.; Biały, D.; Roleder, T.; Wojakowski, W.; O’Connor, I.B.; Duda, M.; et al. Functionalization with a VEGFR2-binding antibody fragment leads to enhanced endothelialization of a cardiovascular stent in vitro and in vivo. J. Biomed. Mater. Res. B Appl. Biomater. 2020, 108, 213–224. [Google Scholar] [CrossRef] [PubMed]
- Foerster, A.; Hołowacz, I.; Sunil Kumar, G.B.; Anandakumar, A.; Wall, J.G.; Wawrzyńska, M.; Paprocka, M.; Kantor, A.; Kraskiewicz, H.; Olsztyńska-Janus, S.; et al. Stainless steel surface functionalization for immobilization of antibody fragments for cardiovascular applications. J. Biomed. Mater. Res. A 2016, 104, 821–832. [Google Scholar] [CrossRef] [PubMed]
- Waterhouse, A.; Wise, S.G.; Yin, Y.B.; Wu, B.C.; James, B.; Zreiqat, H.; McKenzie, D.R.; Bao, S.S.; Weiss, A.S.; Ng, M.K.C. In vivo biocompatibility of a plasma-activated coronary stent coating. Biomaterials 2012, 33, 7984–7992. [Google Scholar] [CrossRef]
- Avci-Adali, M.; Stoll, H.; Wilhelm, N.; Perle, N.; Schlensak, C.; Wendel, H.P. In vivo tissue engineering: Mimicry of homing factors for self-endothelialization of blood-contacting materials. Pathobiology 2013, 80, 176–181. [Google Scholar] [CrossRef]
- Kopaczyńska, M.; Sobieszczańska, B.; Ulatowska-Jarża, A.; Hołowacz, I.; Buzalewicz, I.; Wasyluk, Ł.; Tofail, S.A.M.; Biały, D.; Wawrzyńska, M.; Podbielska, H. Photoactivated titania-based nanomaterials for potential application as cardiovascular stent coatings. Biocybern. Biomed. Eng. 2014, 34, 189–197. [Google Scholar] [CrossRef]
- den Dekker, W.K.; Houtgraaf, J.H.; Onuma, Y.; Benit, E.; de Winter, R.J.; Wijnss, W.; Grisold, M.; Verheye, S.; Silber, S.; Teiger, E.; et al. Final results of the HEALING IIB trial to evaluate a bio-engineered CD34 antibody coated stent (Genous™ Stent) designed to promote vascular healing by capture of circulating endothelial progenitor cells in CAD patients. Atherosclerosis 2011, 219, 245–252. [Google Scholar] [CrossRef]
- Cirvianu-Gaita, V.; Thompson, M. Aptamers, antibody scFv, and antibody Fab’ fragments: An overview and comparison of three of the most versatile biosensor biorecognition elements. Biosens. Bioelectron. 2016, 85, 32–45. [Google Scholar] [CrossRef]
- Makaraviciute, A.; Ramanaviciene, A. Site-directed antibody immobilization techniques for immunosensors. Biosens. Bioelectron. 2013, 50, 460–471. [Google Scholar] [CrossRef]
- Trilling, A.K.; Beekwilder, J.; Zuilhof, H. Antibody orientation on biosensor surfaces: A minireview. Analyst 2013, 136, 1619–1627. [Google Scholar] [CrossRef]
- Chiado, A.; Palmara, G.; Ricciardi, S.; Frascella, F.; Castellino, M.; Tortello, M.; Ricciardi, C.; Rivolo, P. Optimization and characterization of a homogeneous carboxylic surface functionalization for silicon-based biosensing. Colloids Surf. B Biointerfaces 2016, 143, 252–259. [Google Scholar] [CrossRef] [PubMed]
- Liu, Y.; Yu, J. Oriented immobilization of proteins on solid supports for use in biosensors and biochips: A review. Microchim. Acta 2016, 183, 1–19. [Google Scholar] [CrossRef]
- Vashist, S.K. Comparison of 1-Ethyl-3-(3-Dimethylaminopropyl) Carbodiimide Based Strategies to Crosslink Antibodies on Amine-Functionalized Platforms for Immunodiagnostic Applications. Diagnostics 2012, 2, 23–33. [Google Scholar] [CrossRef] [PubMed]
- Andree, K.C.; Barradas, A.M.C.; Nguyen, A.T.; Mentink, A.; Stojanovic, I.; Baggerman, J.; van Dalum, J.; van Rijn, C.J.C.; Terstappen, L.W.M.M. Capture of Tumor Cells on Anti-EpCAM-Functionalized Poly(acrylic acid)-Coated Surfaces. ACS Appl. Mater. Interfaces 2016, 8, 14349–14356. [Google Scholar] [CrossRef] [PubMed]
- Yu, Q.; Wang, Q.; Li, B.; Lin, Q.; Duan, Y. Technological Development of Antibody Immobilization for Optical Immunoassays: Progress and Prospects. Crit. Rev. Anal. 2015, 45, 62–75. [Google Scholar] [CrossRef]
- McKavanagh, P.; Zawadowski, G.; Ahmed, N.; Kutryk, M. The evolution of coronary stents. Expert Rev. Cardiovasc. Ther. 2018, 16, 219–228. [Google Scholar] [CrossRef]
- Sun, Z. Endovascular Stents and Stent Grafts in the Treatment of Cardiovascular Disease. J. Biomed. Nanotechnol. 2014, 10, 2424–2463. [Google Scholar] [CrossRef]
- Tan, A.; Fahatnia, Y.; de Mel, A.; Rajadas, J.; Alavijeh, M.S.; Seifalian, A.M. Inception of actualization: Next generation coronary stent coatings incorporating nanotechnology. J. Biotechnol. 2013, 164, 151–170. [Google Scholar] [CrossRef]
- Bowen, P.K.; Drelich, J.; Goldman, J. Zinc exhibits ideal physiological corrosion behavior for bioabsorbable stents. Adv. Mater. 2013, 25, 2577–2582. [Google Scholar] [CrossRef]
- Moravej, M.; Mantovani, D. Biodegradable metals for cardiovascular stent application: Interests and new opportunities. Int. J. Mol. Sci. 2011, 12, 4250–4270. [Google Scholar] [CrossRef]
- Werkhoven, R.J.; Sillekens, W.H.; van Lieshout, J.B.J.M. Processing Aspects of Magnesium Alloy Stent Tube. In Magnesium Technology; Sillekens, W.H., Agnew, S.R., Neelameggham, N.R., Mathaudhu, S.N., Eds.; Springer: Cham, Switzerland, 2011; pp. 419–424. [Google Scholar] [CrossRef]
- Locatelli, E.; Franchini, M.C. Biodegradable PLGA-b-PEG polymeric nanoparticles: Synthesis, properties and nanomedical applications as drug delivery system. J. Nanopart. Res. 2012, 14, 1316–1332. [Google Scholar] [CrossRef]
- Wawrzyńska, M.; Duda, M.; Wysokińska, E.; Strządała, L.; Biały, D.; Ulatowska-Jarża, A.; Kałas, W.; Kraszewski, S.; Pasławski, R.; Biernat, P.; et al. Functionalised CD133 antibody coated stent Surface simultaneously promotes EPCs adjesion and inhibits smooth muscle cell proliferation—A novel approach to prevent in-stent restenosis. Colloids Surf. B Biointerfaces 2019, 174, 587–597. [Google Scholar] [CrossRef] [PubMed]
- Zhang, S.; Zhang, F.; Feng, B.; Fan, Q.; Yang, F.; Shang, D.; Sui, J.; Zhao, H. Hematopoietic stem cell capture and directional differentiation into vascular endothelial cells for metal stent-coated chitosan/hyaluronic acid loading CD133 antibody. Tissue Eng. Part A 2015, 21, 1173–1183. [Google Scholar] [CrossRef] [PubMed]
- Gandolfi, L.; Galleguillos, R. Rheology Modifiers and Consumer Perception. In Harry’s Cosmeticology, 9th ed.; Rosen, M.R., Ed.; Chemical Publishing: Palm Springs, CA, USA, 2015; pp. 768–806. [Google Scholar]
- Bazylewski, P.; Divigalpitiya, R.; Fanchini, G. In situ Raman spectroscopy distinguishes between reversible and irreversible thiol modifications in l-cysteine. RSC Adv. 2017, 7, 2964–2970. [Google Scholar] [CrossRef]
- Adochitei, A.; Drochioiu, G. Rapid Characterization of Peptide Secondary Structure by FT-IR Spectroscopy. Rev. Roum. Chim. 2011, 56, 783–791. [Google Scholar]










Publisher’s Note: MDPI stays neutral with regard to jurisdictional claims in published maps and institutional affiliations. |
© 2020 by the authors. Licensee MDPI, Basel, Switzerland. This article is an open access article distributed under the terms and conditions of the Creative Commons Attribution (CC BY) license (http://creativecommons.org/licenses/by/4.0/).
Share and Cite
Sareło, P.; Duda, M.; Gąsior-Głogowska, M.; Wysokińska, E.; Kałas, W.; Podbielska, H.; Wawrzyńska, M.; Kopaczyńska, M. Antibody CD133 Biofunctionalization of Ammonium Acryloyldimethyltaurate and Vinylpyrrolidone Co-Polymer-Based Coating of the Vascular Implants. Materials 2020, 13, 5634. https://doi.org/10.3390/ma13245634
Sareło P, Duda M, Gąsior-Głogowska M, Wysokińska E, Kałas W, Podbielska H, Wawrzyńska M, Kopaczyńska M. Antibody CD133 Biofunctionalization of Ammonium Acryloyldimethyltaurate and Vinylpyrrolidone Co-Polymer-Based Coating of the Vascular Implants. Materials. 2020; 13(24):5634. https://doi.org/10.3390/ma13245634
Chicago/Turabian StyleSareło, Przemysław, Maciej Duda, Marlena Gąsior-Głogowska, Edyta Wysokińska, Wojciech Kałas, Halina Podbielska, Magdalena Wawrzyńska, and Marta Kopaczyńska. 2020. "Antibody CD133 Biofunctionalization of Ammonium Acryloyldimethyltaurate and Vinylpyrrolidone Co-Polymer-Based Coating of the Vascular Implants" Materials 13, no. 24: 5634. https://doi.org/10.3390/ma13245634
APA StyleSareło, P., Duda, M., Gąsior-Głogowska, M., Wysokińska, E., Kałas, W., Podbielska, H., Wawrzyńska, M., & Kopaczyńska, M. (2020). Antibody CD133 Biofunctionalization of Ammonium Acryloyldimethyltaurate and Vinylpyrrolidone Co-Polymer-Based Coating of the Vascular Implants. Materials, 13(24), 5634. https://doi.org/10.3390/ma13245634

