High Positive MR and Energy Band Structure of RuSb2+
Abstract
1. Introduction
2. Experiments
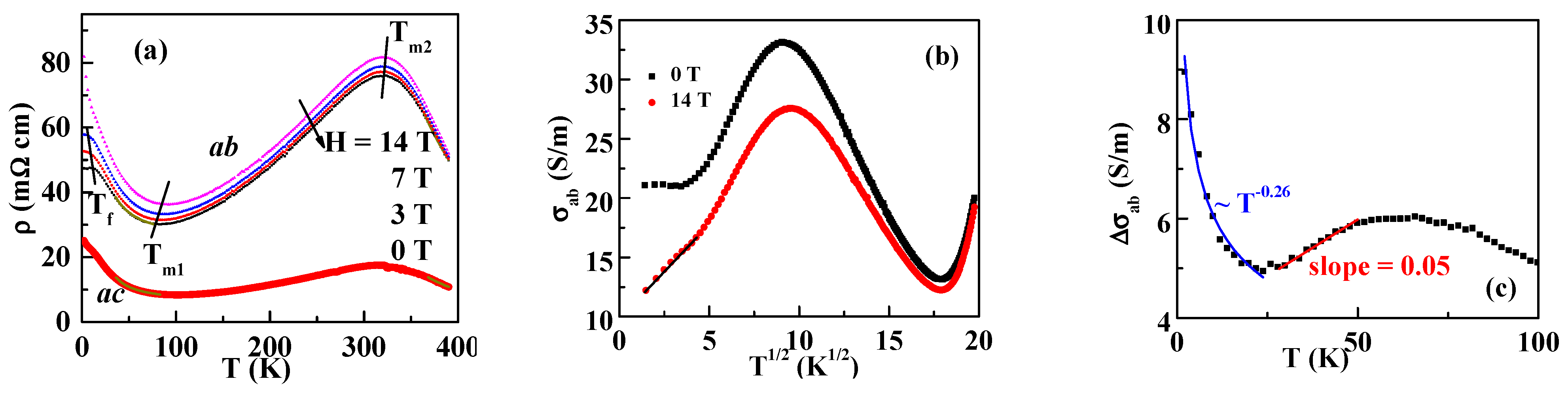
3. Results and Discussions
4. Conclusions
Author Contributions
Funding
Acknowledgments
Conflicts of Interest
References
- Pinhas, H.; Malka, D.; Danan, Y.; Sinvani, M.; Zalevsky, Z. Design of fiber-integrated tunable thermo-optic C-band filter based on coated silicon slab. J. Eur. Opt. Soc. Rapid Publ. 2017, 13, 32. [Google Scholar] [CrossRef]
- Malka, D.; Berke, B.A.; Tischler, Y.; Zalevsky, Z. Improving Raman spectra of pure silicon using super-resolved method. J. Opt. 2019, 21, 075801. [Google Scholar] [CrossRef]
- Fu, J.; Qi, S.; Yang, L.; Dai, Y.; Dai, S. Characterization of Chrysanthemum ClSOC1-1 and ClSOC1-2, homologous genes of SOC1. Plant Mol. Biol. Rep. 2013, 32, 740–749. [Google Scholar] [CrossRef]
- Khosla, R.P.; Fischer, J.R. Magnetoresistance in Degenerate CdS: Localized Magnetic Moments. Phys. Rev. B 1970, 2, 4084–4097. [Google Scholar] [CrossRef]
- Wan, C.; Zhang, X.; Gao, X.; Wang, J.; Tan, X. Geometrical enhancement of low-field magnetoresistance in silicon. Nature 2011, 477, 304–307. [Google Scholar] [CrossRef] [PubMed]
- Sitenko, T.N.; Lyashenko, V.I.; Tyagulskii, I.P. Anisotropy of the magnetoresistance in GaAs monocrystalline films. Phys. Status Sol. 1972, 9, 51–57. [Google Scholar] [CrossRef]
- Xiong, Z.; Wu, D.; Vardeny, Z.V.; Shi, J. Giant magnetoresistance in organic spin-valves. Nature 2004, 427, 821–824. [Google Scholar] [CrossRef]
- Francis, T.L.; Mermer, O.; Veeraraghavan, G.; Wohlgenannt, M. Large magnetoresistance at room temperature in semiconducting polymer sandwich devices. New J. Phys. 2004, 6, 185. [Google Scholar] [CrossRef]
- Hu, B.; Wu, Y. Tuning magnetoresistance between positive and negative values in organic semiconductors. Nat. Mater. 2007, 6, 985–991. [Google Scholar] [CrossRef]
- Santos, T.S.; Lee, J.S.; Migdal, P.; Lekshmi, I.C.; Satpati, B.; Moodera, J.S. Room-temperature tunnel magnetoresistance and spin-polarized tunneling through an organic semiconductor barrier. Phys. Rev. Lett. 2007, 98, 016601. [Google Scholar] [CrossRef]
- Liang, T.; Gibson, Q.; Ali, M.N.; Liu, M.; Cava, R.J.; Ong, N.P. Ultrahigh mobility and giant magnetoresistance in the Dirac semimetal Cd3As2. Nat. Mater. 2014, 14, 280–284. [Google Scholar] [CrossRef]
- Ali, M.N.; Xiong, J.; Flynn, S.; Tao, J.; Gibson, Q.D.; Schoop, L.M.; Liang, T.; Haldolaarachchige, N.; Hirschberger, M.; Ong, N.P.; et al. Large, non-saturating magnetoresistance in WTe2. Nature 2014, 514, 205–208. [Google Scholar] [CrossRef] [PubMed]
- Zhou, Q.; Rhodes, D.; Zhang, Q.R.; Tang, S.; Schönemann, R.; Balicas, L. Hall effect within the colossal magnetoresistive semimetallic state of MoTe2. Phys. Rev. B 2016, 94, 121101. [Google Scholar] [CrossRef]
- Sultana, R.; Neha, P.; Goyal, R.; Patnaik, S.; Awana, V.P.S. Unusual non saturating Giant Magneto-resistance in single crystalline Bi2Te3 topological insulator. J. Magn. Magn. Mater. 2017, 428, 213–218. [Google Scholar] [CrossRef][Green Version]
- Sultana, R.; Gurjar, G.; Neha, P.; Patnaik, S.; Awana, V.P.S. Hikami-Larkin-Nagaoka (HLN) Treatment of the Magneto-Conductivity of Bi2Te3 Topological Insulator. J. Supercond. Nov. Magn. 2018, 31, 2287–2290. [Google Scholar] [CrossRef]
- Sun, P.; Oeschler, N.; Johnsen, S.; Iversen, B.B.; Steglich, F. Huge Thermoelectric Power Factor: FeSb2 versus FeAs2 and RuSb2. Appl. Phys. Express 2009, 2, 091102. [Google Scholar] [CrossRef]
- Sun, P.; Oeschler, N.; Johnsen, S.; Iversen, B.B.; Steglich, F. Thermoelectric properties of the narrow-gap semiconductors FeSb2 and RuSb2: A comparative study. J. Phys. Conf. Ser. 2009, 150, 012049. [Google Scholar] [CrossRef]
- Gippius, A.; Okhotnikov, K.; Baenitz, M.; Shevelkov, A. Band Structure Calculations and Magnetic Relaxation in Correlated Semiconductors FeSb2 and RuSb2. Solid State Phenom. 2009, 152, 287–290. [Google Scholar] [CrossRef]
- Chang, H.; Gui, X.; Huang, S.; Nepal, R.; Chapai, R.; Xing, L.; Xie, W.; Jin, R. Mn-induced ferromagnetism and enhanced thermoelectric properties in Ru1−xMnxSb2+δ. New J. Phys. 2019, 21, 033008. [Google Scholar] [CrossRef]
- Anil Kumar, P.S.; Jansen, R.; van’t Erve, O.M.J.; Vlutters, R.; Kim, S.D.; Lodder, J.C. 300% magnetocurrent in a room temperature operating spin-valve transistor. Physics C 2001, 350, 166. [Google Scholar] [CrossRef]
- Dijken, S.; Jiang, X.; Parkin, S.S.P. Giant magnetocurrent exceeding 3400% in magnetic tunnel transistors with spin-valve base layers. Appl. Phys. Lett. 2003, 83, 951–953. [Google Scholar] [CrossRef]
- Kubrak, V.; Rahman, F.; Gallagher, B.L.; Main, P.C.; Henini, M.; Marrows, C.H.; Howson, M.A. Magnetoresistance of a two-dimensional electron gas due to a single magnetic barrier and its use for nanomagnetometry. Appl. Phys. Lett. 1999, 74, 2507. [Google Scholar] [CrossRef]
- Ziese, M. Searching for quantum interference effects in La0.7Ca0.3MnO3 films on SrTiO3. Phys. Rev. B 2003, 68, 132411. [Google Scholar] [CrossRef]
- Kawabata, A. Theory of Negative Magnetoresistance I. Application to heavily doped semiconductors. J. Phys. Soc. Jpn. 1980, 49, 628–637. [Google Scholar] [CrossRef]
- Reidy, S.G.; Cheng, L.; Bailey, W.E. Dopants for independent control of precessional frequency and dampling in Ni81Fe19 (50 nm) thin films. Appl. Phys. Lett. 2003, 82, 1254. [Google Scholar] [CrossRef]
- Rawat, R.; Kushwaha, P.; Das, I. Magnetoresistance studies on RPd2Si (R = Tb, Dy, Lu) compounds. J. Phys. Condens. Matter 2009, 21, 306003. [Google Scholar] [CrossRef]
- Mukherjee, K.; Iyer, K.K.; Sampathkumaran, E.V. Evolution of a metastable phase with a magnetic phase coexistence phenomenon and its unusual sensitivity to magnetic fifield cycling in the alloys Tb5−xLuxSi3 (x ≤ 0.7). J. Phys. Condens. Matter 2011, 23, 206002. [Google Scholar] [CrossRef]
- Parker, D.R.; Green, M.; Bramwell, S.T.; Wills, A.S.; Gardner, J.S.; Neumann, D.A. Crossover from Positive to Negative Magnetoresistance in a Spinel. J. Am. Chem. Soc. 2004, 126, 2710–2711. [Google Scholar] [CrossRef]






| Compounds | Form | MR @ Magnetic Field and Temperature | Magnetic Properties | Ref. |
|---|---|---|---|---|
| LuPd2Si | polycrystal | 21% @ 8 T, 10 K | Magnetic | [26] |
| Tb0.5Lu0.5Si3 | polycrystal | 60% @ 12 T, 5 K | Magnetic | [27] |
| Zn0.95Cu0.05Cr2Se4 | polycrystal | >80% @ 7 T, 3.2 K | Magnetic | [28] |
| CdS | pingle-crystal | 1% @ 8 T, 1.2 K | Nonmagnetic | [4] |
| GaAs | film | 2% @ 0.9 T, 50 K | Nonmagnetic | [6] |
| RuSb2+d | single crystal | 82% @ 14 T, 2 K | Nonmagnetic | Present work |
© 2020 by the authors. Licensee MDPI, Basel, Switzerland. This article is an open access article distributed under the terms and conditions of the Creative Commons Attribution (CC BY) license (http://creativecommons.org/licenses/by/4.0/).
Share and Cite
Zhang, L.; Wang, Y.; Chang, H. High Positive MR and Energy Band Structure of RuSb2+. Materials 2020, 13, 3159. https://doi.org/10.3390/ma13143159
Zhang L, Wang Y, Chang H. High Positive MR and Energy Band Structure of RuSb2+. Materials. 2020; 13(14):3159. https://doi.org/10.3390/ma13143159
Chicago/Turabian StyleZhang, Liang, Yun Wang, and Hong Chang. 2020. "High Positive MR and Energy Band Structure of RuSb2+" Materials 13, no. 14: 3159. https://doi.org/10.3390/ma13143159
APA StyleZhang, L., Wang, Y., & Chang, H. (2020). High Positive MR and Energy Band Structure of RuSb2+. Materials, 13(14), 3159. https://doi.org/10.3390/ma13143159

