Adsorption Analyses of Phenol from Aqueous Solutions Using Magadiite Modified with Organo-Functional Groups: Kinetic and Equilibrium Studies
Abstract
1. Introduction
2. Experimental
2.1. Sorbent Materials Collection
2.2. Adsorbent Preparation
2.3. Adsorption Experiments and Calculations
2.4. Characterization Methods
2.4.1. SEM Images
2.4.2. FTIR Spectra
2.4.3. XRD Analysis
2.4.4. Physical Adsorption/Desorption of N2 and Specific Surface Area Determination
2.5. Adsorption Kinetics Study
2.5.1. Pseudo-First-Order Kinetic Model
2.5.2. Pseudo-Second-Order Kinetic Model
2.6. Adsorption Isotherms
2.6.1. Langmuir Isotherm Model
2.6.2. Freundlich Isotherm Model
3. Results and Discussions
3.1. Characterization of Adsorbents
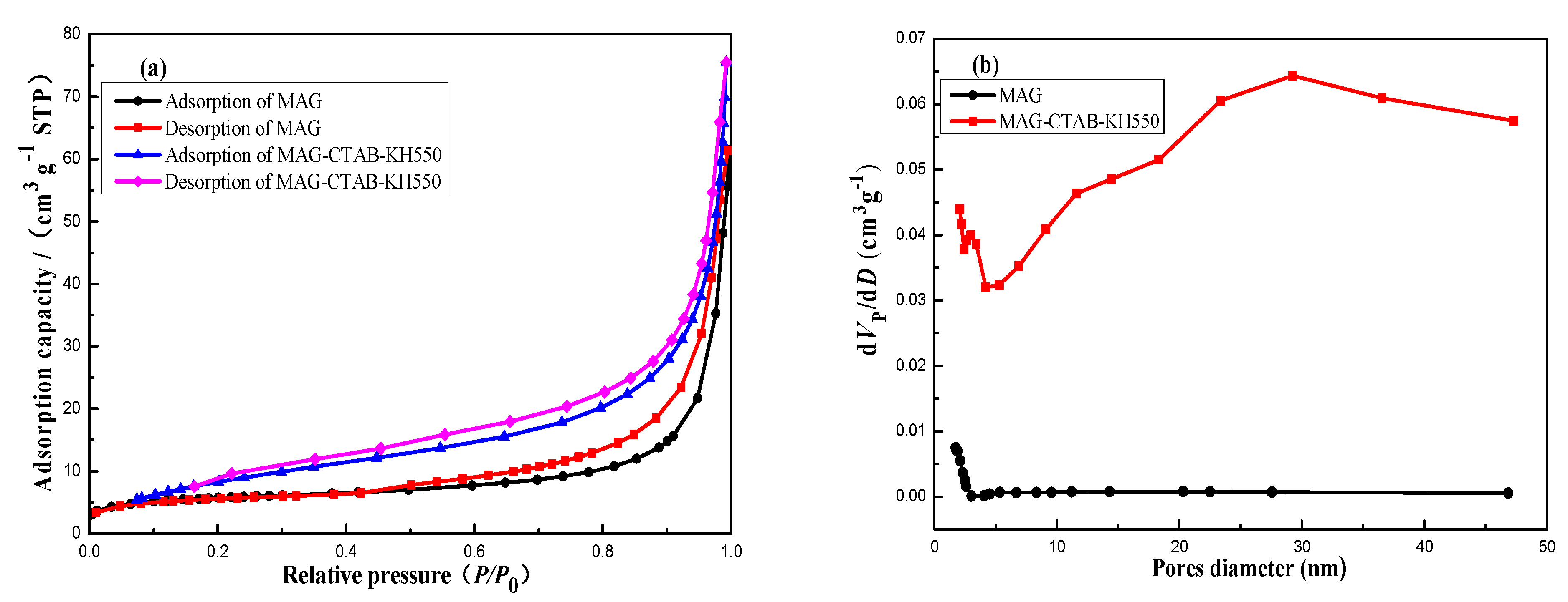
3.2. The Specific Surface Areas and Pore Size Distributions Calculations
3.3. Effects of Factors on the Phenol Adsorption
3.3.1. Effects of Adsorbent Dosage
3.3.2. Effects of Initial Concentration of Phenol
3.3.3. Effects of Adsorption Time
3.3.4. Effects of pH Value and Adsorption Mechanisms
3.4. Study of Adsorption Kinetics
3.5. Study of Adsorption Isotherms
4. Conclusions
Author Contributions
Funding
Acknowledgments
Conflicts of Interest
References
- Ji, X.; Ding, J.; Xie, X.; Cheng, Y.; Huang, Y.; Qin, L.; Han, C. Pollution status and human exposure of decabromodiphenyl ether (BDE-209) in China. ACS Omega. 2017, 2, 3333–3348. [Google Scholar] [CrossRef]
- Dabrowski, A.; Podkoscielny, P.; Hubicki, Z.; Barczak, M. Adsorption of phenolic compounds by activated carbon—A critical review. Chemosphere 2005, 58, 1049–1070. [Google Scholar] [CrossRef] [PubMed]
- De Moraes, M.F.; de Oliveira, T.F.; Cuellar, J.; Castiglioni, G.L. Phenol degradation using adsorption methods, advanced oxidative process (H2O2/UV) and H2O2/UV/activated carbon coupling: influence of homogeneous and heterogeneous phase. Desalin. Water Treat. 2017, 100, 38–45. [Google Scholar] [CrossRef]
- Khardenacis, A.A.; Kapley, A.; Purohit, H.J. Phenol-mediated improved performance of active biomass for treatment of distillery wastewater. Int. Biodeter. Biodegr. 2008, 62, 38–45. [Google Scholar] [CrossRef]
- Wei, X.; Wu, H.; Sun, F. Magnetite/Fe–Al–montmorillomite as a fenton catalyst with efficient degradation of phenol. J. Colloid Interf. Sci. 2017, 504, 611–619. [Google Scholar] [CrossRef]
- Ofomaja, A.E. Kinetic study and sorption mechanism of methylene blue and methyl violet onto mansonia (Mansonia altissima) wood sawdust. Chem. Eng. J. 2008, 143, 85–95. [Google Scholar] [CrossRef]
- Wu, S.; Yu, L.; Xiao, F.; You, X.; Yang, C.; Cheng, J. Synthesis of aluminum-based MOF/graphite oxide composite and enhanced removal of methyl orange. J. Alloy. Compd. 2017, 724, 625–632. [Google Scholar] [CrossRef]
- Xiao, Y.; Wan, M.; Jenkins, K.J.; Wu, S.P.; Cui, P.Q. Using activated carbon to reduce the volatile organic compounds from bituminous materials. J. Mater. Civ. Eng. 2017, 29, 04017166. [Google Scholar] [CrossRef]
- Ahmed, K.; Rehman, F.; Pires, C.T.G.V.; Rahim, A.; Santos, A.L.; Airoldi, C. Aluminum doped mesoporous silica SBA-15 for the removal of remazol yellow dye from water. Micropor. Mesopor. Mater. 2016, 236, 167–175. [Google Scholar] [CrossRef]
- Wang, G.; Zhang, S.; Hua, Y.; Su, X.; Ma, S.; Wang, J.; Tao, Q.; Wang, Y.; Komarneni, S. Phenol and/or Zn2+ adsorption by single- or dual-cation organomontmorillonites. Appl. Clay Sci. 2017, 140, 1–9. [Google Scholar] [CrossRef]
- Xu, Y.; Khan, M.A.; Wang, F.; Xia, M.; Lei, W. Novel multi amine-containing gemini surfactant modified montmorillonite as adsorbents for removal of phenols. Appl. Clay Sci. 2018, 162, 204–213. [Google Scholar] [CrossRef]
- Taraba, B.; Bulavova, P. Adsorption enthalpy of lead(II) and phenol on coals and activated carbon in the view of thermodynamic analysis and calorimetric measurements. J. Chem. Thermodyn. 2018, 116, 97–106. [Google Scholar] [CrossRef]
- Alkaram, U.F.; Mukhlis, A.A.; Al-Dujaili, A.H. The removal of phenol from aqueous solutions by adsorption using surfactant-modified bentonite and kaolinite. J. Hazard. Mater. 2009, 169, 324–332. [Google Scholar] [CrossRef] [PubMed]
- Tepmatee, P.; Siriphannon, P. Facile preparation of copper impregnated aluminum pillared montmorillonite: nanoclays for wastewater treatment. B. Pol. Acad. Sci.-Tech. 2016, 64, 553–560. [Google Scholar] [CrossRef]
- Johari, K.; Saman, N.; Song, S.T.; Chin, C.S.; Kong, H.; Mat, H. Adsorption enhancement of elemental mercury by various surface modified coconut husk as eco-friendly low-cost adsorbents. Int. Biodeterior. Biodegrad. 2016, 109, 45–52. [Google Scholar] [CrossRef]
- Ide, Y.; Ochi, N.; Ogawa, M. Effective and selective adsorption of Zn2+ from seawater on a layered silicate. Angew. Chem. Int. Ed. 2011, 50, 654–656. [Google Scholar] [CrossRef] [PubMed]
- Fang, Z.; Hu, Y.; Zhang, W.; Ruan, X. Shell-free three-dimensional graphene-based monoliths for the aqueous adsorption of organic pollutants. Chem. Eng. J. 2017, 316, 24–32. [Google Scholar] [CrossRef]
- Thiebault, T.; Guegan, R.; Boussafir, M. Adsorption mechanisms of emerging micro-pollutants with a clay mineral: Case of tramadol and doxepine pharmaceutical products. J. Colloid Interf. Sci. 2015, 453, 1–8. [Google Scholar] [CrossRef]
- Benkhatou, S.; Djelad, A.; Sassi, M.; Bouchekara, M.; Bengueddach, A. Lead(II) removal from aqueous solutions by organic thiourea derivatives intercalated magadiite. Desalin Water Treat. 2016, 57, 9383–9395. [Google Scholar] [CrossRef]
- Bandpei, A.M.; Mohseni, S.M.; Sheikhmohammadi, A.; Sardar, M.; Sarkhosh, M.; Almasian, M.; Avazpour, M.; Mosallanejad, Z.; Atafar, Z.; Nazari, S. Optimization of arsenite removal by adsorption onto organically modified montmorillonite clay: Experimental & theoretical approaches. Korean J. Chem. Eng. 2017, 34, 376–383. [Google Scholar]
- Fetisova, Y.S.; Dudarko, O.A.; Bauman, M.; Lobnik, A.; Sliesarenko, V.V. Adsorption of lead(II), cadmium(II) and dysprosium(III) from aqueous solutions using mesoporous silica modified with phosphonic acid groups. J. Sol.-Gel Sci. Techn. 2018, 88, 66–76. [Google Scholar] [CrossRef]
- Kooli, F.; Li, M.; Alshahateet, S.F.; Chen, F.; Zhu, Y. Characterization and thermal stability properties of intercalated Na-magadiite with cetyltrimethylammonium (C16TMA) surfactants. J. Phys. Chem. Solids 2006, 67, 926–931. [Google Scholar] [CrossRef]
- Almond, G.G.; Harris, R.K.; Franklin, K.R. A structural consideration of kanemite, octosilicate, magadiite and kenyaite. J. Mater. Chem. 1997, 7, 681–687. [Google Scholar] [CrossRef]
- Schwieger, W.; Selvam, T.; Gravenhorst, O.; Pfänder, N.; Schlögl, R.; Mabande, G.T.P. Intercalation of [Pt(NH3)4]2+ ions into layered sodium silicate magadiite: a useful method to enhance their stabilisation in a highly dispersed state. J. Phys. Chem. Solids 2004, 65, 413–420. [Google Scholar] [CrossRef]
- Mao, Y.; Li, S.; Ploehn, H.J. The role of interlayer grafting on the mechanical properties of magadiite/styrene-butadiene rubber composites. J. Appl. Polym. Sci. 2017, 134, 45025. [Google Scholar] [CrossRef]
- Matsuo, Y.; Yamauchi, Y. Preparation of microporous pillared magadiite from silylated magadiite and their unique inclusion behaviors of organic molecules. Micropor. Mesopor. Mat. 2013, 168, 171–177. [Google Scholar] [CrossRef]
- Azizi, S.; Mahdavi Shahri, M.; Mohamad, R. Green synthesis of zinc oxide nanoparticles for enhanced adsorption of lead ions from aqueous solutions: Equilibrium, kinetic and thermodynamic studies. Molecules 2017, 22, 831. [Google Scholar] [CrossRef] [PubMed]
- Vieira, R.B.; Pastore, H.O. Soft-Pillared@Magadiite: Influence of the interlayer space and amine type on CO2 adsorption. Dalton T. 2018, 47, 3102–3111. [Google Scholar] [CrossRef]
- Mokhtar, M. Application of synthetic layered sodium silicate magadiite nanosheets for environmental remediation of methylene blue dye in water. Materials 2017, 10, 760. [Google Scholar] [CrossRef]
- Ding, H.; Chen, Y.; Fu, T.; Bai, P.; Guo, X. Nanosheet-based magadiite: a controllable two-dimensional trap for selective capture of heavy metals. J. Mater. Chem. A 2018, 6, 13624–13632. [Google Scholar] [CrossRef]
- Guerra, D.L.; Pinto, A.A.; Airoldi, C.; Viana, R.R. Adsorption of arsenic(III) into modified lamellar Na-magadiite in aqueous medium-Thermodynamic of adsorption process. J. Solid State Chem. 2008, 181, 3374–3379. [Google Scholar] [CrossRef]
- Fujita, I.; Kuroda, K.; Ogawa, M. Adsorption of alcohols from aqueous solutions into a layered silicate modified with octyltrichlorosilane. Chem. Mater. 2005, 17, 3717–3722. [Google Scholar] [CrossRef]
- Nunes, A.R.; Moura, A.O.; Prado, A.G.S. Calorimetric aspects of adsorption of pesticides 2,4-D, diuron and atrazine on a magadiite surface. J. Therm. Anal. Calorim. 2011, 106, 445–452. [Google Scholar] [CrossRef]
- Guerra, D.L.; Pinto, A.A.; de Souza, J.A.; Airoldi, C.; Viana, R.R. Kinetic and thermodynamic uranyl (II) adsorption process into modified Na-Magadiite and Na-Kanemite. J. Hazard. Mater. 2009, 166, 1550–1555. [Google Scholar] [CrossRef] [PubMed]
- Ge, M.; Du, M.; Zheng, L.; Wang, B.; Zhou, X.; Jia, Z.; Hu, G.; Jahangir Alam, S.M. A maleic anhydride grafted sugarcane bagasse adsorbent and its performance on the removal of methylene blue from related wastewater. Mater. Chem. Phys. 2017, 192, 147–155. [Google Scholar] [CrossRef]
- Zhou, Y.; Zhang, H.; Cai, L.; Guo, J.; Wang, Y.; Ji, L.; Song, W. Preparation and characterization of macroalgae biochar nanomaterials with highly efficient adsorption and photodegradation ability. Materials 2018, 11, 1709. [Google Scholar] [CrossRef] [PubMed]
- Tan, K.L.; Hameed, B.H. Insight into the adsorption kinetics models for the removal of contaminants from aqueous solutions. J. Taiwan Inst. Chem. E. 2017, 74, 25–48. [Google Scholar] [CrossRef]
- Li, X.; Wang, Z.; Liang, H.; Ning, J.; Li, G.; Zhou, Z. Chitosan modification persimmon tannin bioadsorbent for highly efficient removal of Pb(II) from aqueous environment: the adsorption equilibrium, kinetics and thermodynamics. Environ. Technol. 2019, 40, 112–124. [Google Scholar] [CrossRef] [PubMed]
- Mohebali, S.; Bastani, D.; Shayesteh, H. Methylene blue removal using modified celery (Apium graveolens) as a low-cost biosorbent in batch mode: Kinetic, equilibrium, and thermodynamic studies. J. Mol. Struct. 2018, 1173, 541–551. [Google Scholar] [CrossRef]
- Zulfiqar, M.; Chowdhury, S.; Sufian, S.; Omar, A.A. Enhanced photocatalytic activity of Orange II in aqueous solution using solvent-based TiO2 nanotubes: Kinetic, equilibrium and thermodynamic studies. J. Clean. Prod. 2018, 203, 848–859. [Google Scholar] [CrossRef]
- Okutomo, S.; Kuroda, K.; Ogawa, M. Preparation and characterization of silylated-magadiites. Appl. Clay Sci. 1999, 15, 253–264. [Google Scholar] [CrossRef]
- Park, K.; Jeong, S.; Kwon, O. Interlamellar silylation of H-kenyaite with 3-aminopropyltriethoxysilane. Appl. Clay Sci. 2004, 27, 21–27. [Google Scholar] [CrossRef]
- Tepmatee, P.; Siriphannon, P. Effect of preparation method on structure and adsorption capacity of aluminum pillared montmorillonite. Mater. Res. Bull. 2013, 48, 4856–4866. [Google Scholar] [CrossRef]
- Ge, M.; Cao, L.; Du, M.; Hu, G.; Jahangir Alam, S.M. Competitive adsorption analyses of a pure magadiite and a new silylated magadiite on methylene blue and phenol from related aqueous solution. Mater. Chem. Phys. 2018, 217, 393–402. [Google Scholar] [CrossRef]
- Ghiaci, M.; Abbaspur, A.; Kia, R.; Seyedeyn-Azad, F. Equilibrium isotherm studies for the sorption of benzene, toluene, and phenol onto organo-zeolites and as-synthesized MCM-41. Sep. Purif. Technol. 2004, 40, 217–229. [Google Scholar] [CrossRef]
- Liu, R.; Frost, R.L.; Martens, W.N.; Yuan, Y. Synthesis, characterization of mono, di and tri alkyl surfactant intercalated Wyoming montmorillonite for the removal of phenol from aqueous systems. J. Colloid Interf. Sci. 2008, 327, 287–294. [Google Scholar] [CrossRef]
- Pradhan, N.; Rene, E.; Lens, P.; Dipasquale, L.; D Ippolito, G.; Fontana, A.; Panico, A.; Esposito, G. Adsorption behaviour of lactic acid on granular activated carbon and anionic resins: thermodynamics, isotherms and kinetic studies. Energies 2017, 10, 665. [Google Scholar] [CrossRef]
- Lalhriatpuia, C.; Tiwari, D.; Tiwari, A.; Lee, S.M. Immobilized nanopillars-TiO2 in the efficient removal of micro-pollutants from aqueous solutions: Physico-chemical studies. Chem. Eng. J. 2015, 281, 782–792. [Google Scholar] [CrossRef]
- Navarro, A.; Hernandez-Vega, A.; Masud, M.; Roberson, L.; Diaz-Vázquez, L. Bioremoval of phenol from aqueous solutions using native caribbean seaweed. Environments 2017, 4, 1. [Google Scholar] [CrossRef]








| Isotherms parameters | Adsorbents | |
|---|---|---|
| MAG | MAG–CTAB–KH550 | |
| specific surface area (m2/g) | 21.4174 | 33.8239 |
| pore volume (cm3/g) | 0.0756 | 0.1167 |
| pore size (nm) | 14.1259 | 13.8004 |
| sample mass (g) | 0.0751 | 0.0649 |
| Constant, C (BET) | 12.9096 | 22.8386 |
| Vm (STP) | 4.9199 | 7.7699 |
| Adsorbents | qm (mg/g) | References |
|---|---|---|
| Na-Mt | 8.29 | [11] |
| Bentonite | 8.435 | [13] |
| Kaolin | 2.351 | [13] |
| Zeolite | 32.6 | [45] |
| MAG | 48.59 | This study |
| MAG–CTAB–KH550 | 56.13 | This study |
| Active carbon | 108.2 | [12] |
| Model | Parameter | Adsorbents | |
|---|---|---|---|
| MAG | MAG–CTAB–KH550 | ||
| Pseudo-first-order | K1 (g·mg−1·min−1) | 0.05916 | 0.06544 |
| qe (mg·g−1) | 17.34 | 25.01 | |
| R2 | 0.9777 | 0.9845 | |
| Pseudo-second-order | K2 (g·mg−1·min−1) | 0.00071 | 0.00045 |
| qe (mg·g−1) | 37.66 | 47.11 | |
| R2 | 0.9994 | 0.9995 | |
| Experiments | qet (mg·g−1) | 36.35 | 45.26 |
| Model | Parameter | Adsorbents | |
|---|---|---|---|
| MAG | MAG–CTAB–KH550 | ||
| Langmuir model | qm (mg/g) | 52.19 | 60.02 |
| KL (L/mg) | 0.084 | 0.401 | |
| R2 | 0.982 | 0.998 | |
| Freundlich model | n | 1.715 | 2.503 |
| KF | 6.527 | 17.128 | |
| R2 | 0.891 | 0.804 | |
© 2018 by the authors. Licensee MDPI, Basel, Switzerland. This article is an open access article distributed under the terms and conditions of the Creative Commons Attribution (CC BY) license (http://creativecommons.org/licenses/by/4.0/).
Share and Cite
Ge, M.; Wang, X.; Du, M.; Liang, G.; Hu, G.; S.M., J.A. Adsorption Analyses of Phenol from Aqueous Solutions Using Magadiite Modified with Organo-Functional Groups: Kinetic and Equilibrium Studies. Materials 2019, 12, 96. https://doi.org/10.3390/ma12010096
Ge M, Wang X, Du M, Liang G, Hu G, S.M. JA. Adsorption Analyses of Phenol from Aqueous Solutions Using Magadiite Modified with Organo-Functional Groups: Kinetic and Equilibrium Studies. Materials. 2019; 12(1):96. https://doi.org/10.3390/ma12010096
Chicago/Turabian StyleGe, Mingliang, Xubin Wang, Mingyi Du, Guodong Liang, Guoqing Hu, and Jahangir Alam S.M. 2019. "Adsorption Analyses of Phenol from Aqueous Solutions Using Magadiite Modified with Organo-Functional Groups: Kinetic and Equilibrium Studies" Materials 12, no. 1: 96. https://doi.org/10.3390/ma12010096
APA StyleGe, M., Wang, X., Du, M., Liang, G., Hu, G., & S.M., J. A. (2019). Adsorption Analyses of Phenol from Aqueous Solutions Using Magadiite Modified with Organo-Functional Groups: Kinetic and Equilibrium Studies. Materials, 12(1), 96. https://doi.org/10.3390/ma12010096

