Annual Electric Load Forecasting by a Least Squares Support Vector Machine with a Fruit Fly Optimization Algorithm
Abstract
:1. Introduction
2. Methodology of the LSSVM-FOA Model
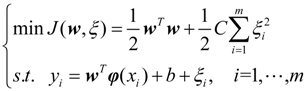
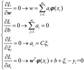
2.1. Least Squares Support Vector Machine (LSSVM) Model
2.2. Fruit Fly Optimization Algorithm (FOA)

2.3. LSSVMFOA Forecasting Model

3. Example Computation and Discussion
3.1. The Preprocessing of Sample Data
| Year | Electricity consumption | Year | Electricity consumption | Year | Electricity consumption |
|---|---|---|---|---|---|
| 1978 | 246.53 | 1990 | 623.59 | 2002 | 1633.15 |
| 1979 | 282.02 | 1991 | 680.96 | 2003 | 1903.16 |
| 1980 | 300.63 | 1992 | 759.27 | 2004 | 2197.14 |
| 1981 | 309.65 | 1993 | 842.65 | 2005 | 2494.03 |
| 1982 | 327.92 | 1994 | 926.04 | 2006 | 2858.80 |
| 1983 | 351.86 | 1995 | 1002.34 | 2007 | 3271.18 |
| 1984 | 377.89 | 1996 | 1076.43 | 2008 | 3454.14 |
| 1985 | 411.90 | 1997 | 1128.44 | 2009 | 3703.22 |
| 1986 | 451.03 | 1998 | 1159.84 | 2010 | 4199.90 |
| 1987 | 498.84 | 1999 | 1230.52 | 2011 | 4690.00 |
| 1988 | 547.23 | 2000 | 1347.24 | - | - |
| 1989 | 587.18 | 2001 | 1463.35 | - | - |
3.2. The Selection of Comparison Models
3.3. FOA Result for Parameter Determination of the LSSVM Model

3.4. Forecasting Result and Discussion
| Year | Actual value | LSSVM-FOA | LSSVM | LSSVM-CSA | GRNN | Regression |
|---|---|---|---|---|---|---|
| 2006 | 2858.80 | 2896.83 | 2914.43 | 2915.69 | 2954.72 | 2794.15 |
| 2007 | 3271.18 | 3218.18 | 3180.73 | 3250.50 | 3151.32 | 3257.77 |
| 2008 | 3454.14 | 3532.38 | 3562.55 | 3576.02 | 3522.79 | 3708.16 |
| 2009 | 3703.22 | 3680.91 | 3866.61 | 3763.08 | 3833.16 | 3591.50 |
| 2010 | 4199.90 | 4250.26 | 4282.43 | 4301.53 | 4247.11 | 4068.92 |
| 2011 | 4690.00 | 4651.95 | 4602.62 | 4616.40 | 4572.24 | 4853.09 |

| Model | LSSVM-FOA | LSSVM | LSSVM-CSA | GRNN | Regression |
|---|---|---|---|---|---|
| MAPE (%) | 1.305 | 2.682 | 1.959 | 2.692 | 3.273 |
| MSE | 2476 | 10695 | 6308 | 10210 | 20853 |
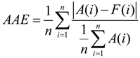
| AAE | 0.0126 | 0.0265 | 0.0196 | 0.0261 | 0.0333 |
4. Conclusions
Acknowledgments
References
- Wang, J.J.; Li, L.; Niu, D.X.; Tan, Z.F. An annual load forecasting model based on support vector regression with differential evolution algorithm. Appl. Energy 2012, 94, 65–70. [Google Scholar] [CrossRef]
- Pappas, S.S.; Ekonomou, L.; Karamousantas, D.C.; Chatzarakis, G.E.; Katsikas, S.K.; Liatsis, P. Electricity demand loads modeling using auto regressive moving average (ARMA) models. Energy 2008, 33, 1353–1360. [Google Scholar] [CrossRef]
- Dong, R.J.; Pedrycz, W. A granular time series approach to long-term forecasting and trend forecasting. Phys. A Stat. Mech. Appl. 2008, 387, 3253–3270. [Google Scholar] [CrossRef]
- Pappas, S.S.; Ekonomou, L.; Karampelas, P.; Karamousantas, D.C.; Katsikas, S.K.; Chatzarakis, G.E.; Skafidas, P.D. Electricity demand load forecasting of the Hellenic power system using an ARMA model. Electr. Power Syst. Res. 2010, 80, 256–264. [Google Scholar] [CrossRef]
- Ai-Hamadi, H.M.; Soliman, S.A. Long-term/mid-term electric load forecasting based on short-term correlation and annual growth. Electr. Power Syst. Res. 2005, 74, 353–361. [Google Scholar]
- Sorjamaa, A.; Hao, J.; Reyhani, N.; Ji, Y.N.; Lendasse, A. Methodology for long-term prediction of time series. Neurocomputing 2007, 70, 861–869. [Google Scholar] [CrossRef]
- Niu, D.X.; Li, J.C.; Li, J.Y.; Liu, D. Middle-long power load forecasting based on particle swarm optimization. Comput. Math. Appl. 2009, 57, 1883–1889. [Google Scholar] [CrossRef]
- Xia, C.H.; Wang, J.; McMenemy, K. Short, medium and long term load forecasting model and virtual load forecaster based on radial basis function neural networks. Int. J. Electr. Power 2010, 32, 743–750. [Google Scholar] [CrossRef]
- Hsu, C.C.; Chen, C.Y. Regional load forecasting in Taiwan—Applications of artificial neural networks. Energy Convers. Manag. 2003, 44, 1941–1949. [Google Scholar] [CrossRef]
- Abou El-Ela, A.A.; El-Zeftawy, A.A.; Allam, S.M.; Atta, G.M. Long-term load forecasting and economical operation of wind farms for Egyptian electrical network. Electr. Power Syst. Res. 2009, 79, 1032–1037. [Google Scholar] [CrossRef]
- Meng, M.; Niu, D.X. Annual electricity consumption analysis and forecasting of China based on few observations methods. Energy Convers. Manag. 2011, 52, 953–957. [Google Scholar] [CrossRef]
- Chen, T. A collaborative fuzzy-neural approach for long-term load forecasting in Taiwan. Comput. Ind. Eng. 2012, 63, 66–70. [Google Scholar]
- Kandil, M.S.; El-Debeiky, S.M.; Hasanien, N.E. The implementation of long-term forecasting strategies using a knowledge-based expert system: Part-II. Electr. Power Syst. Res. 2001, 58, 1–5. [Google Scholar] [CrossRef]
- Hong, W.C. Electric load forecasting by seasonal recurrent SVR (support vector regression) with chaotic artificial bee colony algorithm. Energy 2011, 36, 556–578. [Google Scholar] [CrossRef]
- Pai, P.F.; Hong, W.C. Support vector machines with simulated annealing algorithms in electricity load forecasting. Energy Convers. Manag. 2005, 46, 266–688. [Google Scholar] [CrossRef]
- Cortes, C.; Vapnik, V. Support-vector networks. Mach. Learn. 1995, 20, 273–297. [Google Scholar]
- Van Gestel, T.; Suykens, J.A.K.; Baesens, B.; Viaene, S.; Vanthienen, J.; Dedene, G.; de Moor, B.; Vandewalle, J. Benchmarking least squares support vector machine classifiers. Mach. Learn. 2001, 54, 5–32. [Google Scholar] [CrossRef]
- Vong, C.M.; Wong, P.K.; Li, Y.P. Prediction of automotive engine power and torque using least squares support vector machines and Bayesian inference. Eng. Appl. Artif. Intel. 2006, 19, 277–287. [Google Scholar] [CrossRef]
- Yeganeha, B.; Motlagh, S.P.; M.; Rashidi, Y.; Kamalan, H. Prediction of CO concentrations based on a hybrid partial least square and support vector machine model. Atmos. Environ. 2012, 55, 357–365. [Google Scholar] [CrossRef]
- Liao, R.J.; Zheng, H.B.; Grzybowski, S.; Yang, L.J. Particle swarm optimization-least squares support vector regression based forecasting model on dissolved gases in oil-filled power transformers. Electr. Power Syst. Res. 2011, 81, 2074–2080. [Google Scholar] [CrossRef]
- Zhao, X.H.; Wang, G.; Zhao, K.K.; Tan, D.J. On-line least squares support vector machine algorithm in gas prediction. Min. Sci. Technol. 2009, 19, 194–198. [Google Scholar]
- Wu, Q. Hybrid model based on wavelet support vector machine and modified genetic algorithm penalizing Gaussian noises for power load forecasts. Expert Syst. Appl. 2011, 38, 379–385. [Google Scholar] [CrossRef]
- Espinoza, M.; Suykens, J.A.K.; de Moor, B. Fixed-size least squares support vector machines: A large Scale application in electrical load forecasting. Comput. Manag. Sci. 2006, 3, 113–129. [Google Scholar] [CrossRef]
- Espinoza, M.; Suykens, J.A.K.; Belmans, R.; de Moor, B. Electric load forecasting—Using kernel based modeling for nonlinear system identification. IEEE Control Syst. 2007, 27, 43–57. [Google Scholar] [CrossRef]
- Lin, K.P.; Pai, P.F.; Lu, Y.M.; Chang, P.T. Revenue forecasting using a least-squares support vector regression model in a fuzzy environment. Inf. Sci. 2011, 14, 196–209. [Google Scholar]
- Kisi, O.; Cimen, M. Precipitation forecasting by using wavelet-support vector machine conjunction model. Eng. Appl. Artif. Intel. 2012, 25, 783–792. [Google Scholar] [CrossRef]
- Zhou, J.Y.; Shi, J.; Li, G. Fine tuning support vector machines for short-term wind speed forecasting. Energy Convers. Manag. 2011, 52, 1990–1998. [Google Scholar] [CrossRef]
- Wang, S.; Yu, L.; Tang, L.; Wang, S.Y. A novel seasonal decomposition based least squares support vector regression ensemble learning approach for hydropower consumption forecasting in China. Energy 2011, 36, 6542–6554. [Google Scholar] [CrossRef]
- Dos Santosa, G.S.; Justi Luvizottob, L.G.; Marianib, V.C.; Dos Santos, L.C. Least squares support vector machines with tuning based on chaotic differential evolution approach applied to the identification of a thermal process. Expert Syst. Appl. 2012, 39, 4805–4812. [Google Scholar] [CrossRef]
- Sulaimana, M.H.; Mustafab, M.W.; Shareefc, H.; Abd-Khalid, S.N. An application of artificial bee colony algorithm with least squares supports vector machine for real and reactive power tracing in deregulated power system. Int. J. Electr. Power 2012, 37, 67–77. [Google Scholar] [CrossRef]
- Li, J.; Liu, J.P.; Wang, J.J. Mid-long term load forecasting based on simulated annealing and SVM algorithm. Proc. CSEE 2011, 31, 63–66. [Google Scholar]
- Pan, W.T. A new fruit fly optimization algorithm: Taking the financial distress model as an example. Knowl. Based Syst. 2012, 26, 69–74. [Google Scholar] [CrossRef]
- Suykens, J.A.K.; Vandewalle, J. Least squares support vector machine classifiers. Neural Process Lett. 1999, 9, 293–300. [Google Scholar] [CrossRef]
- Suykens, J.A.K.; van Gestel, T.; de Brabanter, J.; de Moor, B.; Vandewalle, J. Least Squares Support Vector Machines; World Scientific: Singapore, 2002. [Google Scholar]
- Keerthi, S.S.; Lin, C.J. Asymptotic behaviors of support vector machines with Gaussian kernel. Neural Comput. 2003, 15, 1667–1689. [Google Scholar] [CrossRef] [PubMed]
- Shi, D.Y.; Lu, J.; Lu, L.J. A judge model of the impact of lane closure incident on individual vehicles on freeways based on RFID technology and FOA-GRNN method. J. Wuhan Univ. Technol. 2012, 34, 63–68. [Google Scholar]
- Xu, Z.H.; Wang, F.L.; Sun, D.D.; Wang, J.Q. A forecast of export trades based on the FOA-RBF neural network [in Chinese]. Math. Pract. Theor. 2012, 42, 16–21. [Google Scholar]
- Xiao, Z.A. Design of analog filter based on fruit fly optimization algorithm. J Hubei Univ. Educ. 2012, 29, 26–29. [Google Scholar]
- China National Bureau of Statistics. China Energy Statistical Yearbook 2011; China Statistics Press: Beijing, China, 2011.
- Electricity Power Supply and Demand of 2011 in China Released by China Electricity Council [in Chinese]. Available online: http: //tj.cec.org.cn/fenxiyuce/yunxingfenxi/gongxufenxiyuce/2012-02-03/79721.html (accessed on 1 September 2012).
- De Souza, X.S.; Suykens, J.A.K.; Vandewalle, J.; Bolle, D. Coupled simulated annealing. IEEE Trans. Syst. Man Cybern. Part B Cybern. 2010, 40, 320–335. [Google Scholar] [CrossRef]
- Specht, D.F. A general regression neural network. IEEE Trans. Neural Netw. 1991, 2, 568–576. [Google Scholar] [CrossRef] [PubMed]
- Amiri, M.; Davande, H.; Sadeghian, A.; Chartier, S. Feedback associative memory based on a new hybrid model of generalized regression and self-feedback neural networks. Neural Netw. 2010, 23, 69–74. [Google Scholar] [CrossRef]
- LS-SVMlab, version 1.8; Department of Electrical Engineering (ESAT), Katholieke Universiteit Leuven: Leuven, Belgium, 2011. Available online: http://www.esat.kuleuven.be/sista/lssvmlab/ (accessed on 1 September 2012).
- De Brabanter, K.; Karsmakers, P.; Ojeda, F.; Alzate, C.; de Brabanter, J.; Pelckmans, K.; de Moor, B.; Vandewalle, J.; Suykens, J.A.K. LS-SVMlab Toolbox User’s Guide Version 1.8; World Scientific: Singapore, 2002; pp. 10–146. [Google Scholar]
- Niu, D.X.; Wang, Y.L.; Wu, D.D. Power load forecasting using support vector machine and ant colony optimization. Expert Syst. Appl. 2010, 37, 2531–2539. [Google Scholar] [CrossRef]
© 2012 by the authors; licensee MDPI, Basel, Switzerland. This article is an open access article distributed under the terms and conditions of the Creative Commons Attribution license (http://creativecommons.org/licenses/by/3.0/).
Share and Cite
Li, H.; Guo, S.; Zhao, H.; Su, C.; Wang, B. Annual Electric Load Forecasting by a Least Squares Support Vector Machine with a Fruit Fly Optimization Algorithm. Energies 2012, 5, 4430-4445. https://doi.org/10.3390/en5114430
Li H, Guo S, Zhao H, Su C, Wang B. Annual Electric Load Forecasting by a Least Squares Support Vector Machine with a Fruit Fly Optimization Algorithm. Energies. 2012; 5(11):4430-4445. https://doi.org/10.3390/en5114430
Chicago/Turabian StyleLi, Hongze, Sen Guo, Huiru Zhao, Chenbo Su, and Bao Wang. 2012. "Annual Electric Load Forecasting by a Least Squares Support Vector Machine with a Fruit Fly Optimization Algorithm" Energies 5, no. 11: 4430-4445. https://doi.org/10.3390/en5114430
APA StyleLi, H., Guo, S., Zhao, H., Su, C., & Wang, B. (2012). Annual Electric Load Forecasting by a Least Squares Support Vector Machine with a Fruit Fly Optimization Algorithm. Energies, 5(11), 4430-4445. https://doi.org/10.3390/en5114430
