Adaptive Visual Servo Control for GIS Partial Discharge Detection Robots: A Model Predictive Control Approach
Abstract
1. Introduction
2. Image-Based Visual Servo Control System Model
2.1. Image-Based Visual Servo Control Architecture
2.2. Mathematical Model for Vision Servo Control
2.2.1. Core Variables and Error Definitions
2.2.2. Variance Minimization Objective Function
2.2.3. Model Linearization and Velocity Control Law Derivation
2.2.4. GIS Scenario-Based Jacobi Correction
3. Design of Adaptive Controllers Based on Model Predictive Control
Controller Design Objectives
4. Experimental Results and Analysis
4.1. Establishment of an Experimental Platform for GIS Partial Discharge Detection
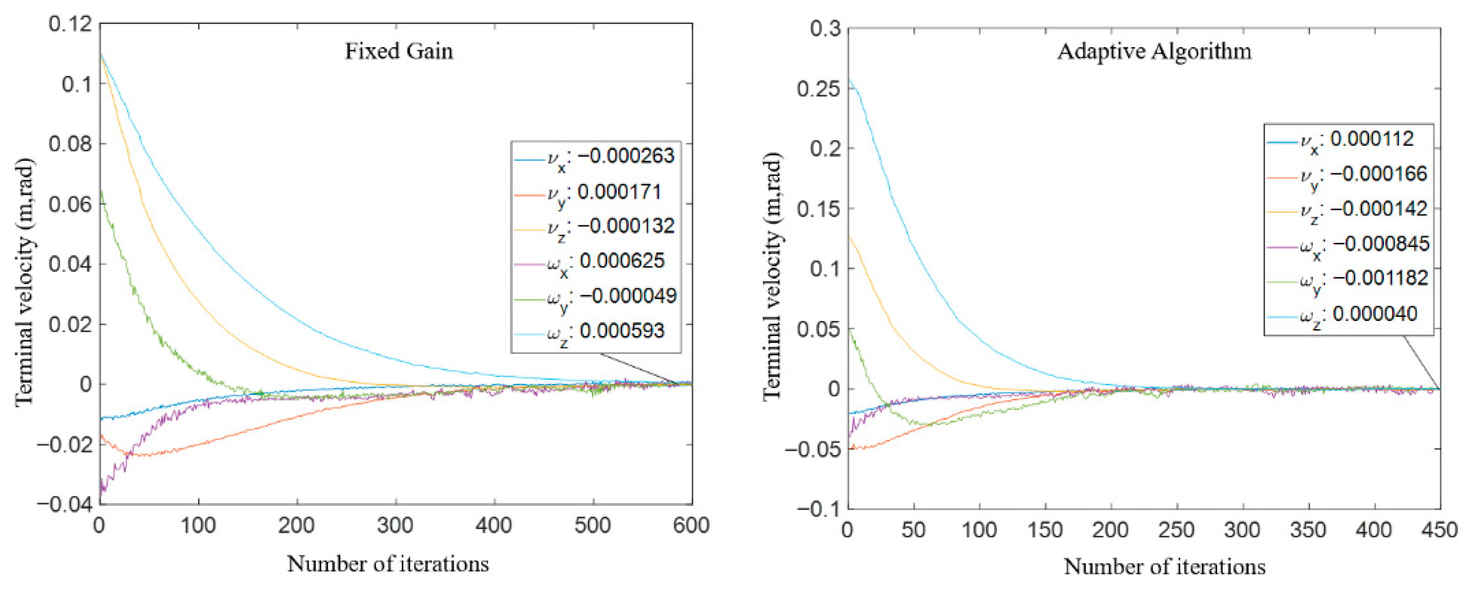
4.2. Experimental Design and Results Analysis
4.3. Economic Feasibility Analysis
5. Conclusions
Author Contributions
Funding
Data Availability Statement
Conflicts of Interest
References
- Khan, Q.; Refaat, S.S.; Abu-Rub, H.; Toliyat, H.A. Partial discharge detection and diagnosis in gas insulated switchgear: State of the art. IEEE Elect. Insul. Mag. 2019, 35, 16–33. [Google Scholar] [CrossRef]
- Huang, S.; Wu, Z.; Ren, Z.; Liu, H.; Gui, Y. Review of electric power intelligent inspection robot. Electr. Meas. Instrum. 2020, 57, 26–38. [Google Scholar]
- Chaumette, F.; Hutchinson, S. Visual servo control. I. Basic approaches. IEEE Robot. Autom. Mag. 2006, 13, 82–90. [Google Scholar] [CrossRef]
- Burlacu, A.; Condurache, D. A different approach to solving the PBVS control problem. In Proceedings of the IEEE 29th International Symposium on Industrial Electronics (ISIE), Delft, The Netherlands, 17–19 June 2020; pp. 1359–1364. [Google Scholar]
- Olson, E. AprilTag: A robust and flexible visual fiducial system. In Proceedings of the IEEE International Conference on Robotics and Automation, Shanghai, China, 9–13 May 2011; pp. 3400–3407. [Google Scholar]
- Luan, Y.; Li, J.; Li, C.; Huang, R.; Lv, J. Development and application of partial discharge detection robot for high voltage switchgear. Electr. Power 2019, 52, 169–176. [Google Scholar]
- Wei, X.; Teng, Y.; Liu, Z.; Deng, J.; Jia, Y. Application research of the partial discharge automatic detection device and diagnostic method based on the ultrasonic in long distance GIL equipment. J. Phys. Conf. Ser. 2019, 1213, 052088. [Google Scholar] [CrossRef]
- Yang, R.; Wang, Y.; Tao, M.; Dong, E.; Zhu, T.; Chen, Z.; Yang, W. Research on visual navigation manipulator for GIS ultrasonic partial discharge detection. In Proceedings of the IEEE International Conference on Mechatronics and Automation (ICMA), Beijing, China, 13–16 October 2020; pp. 437–442. [Google Scholar]
- Ji, X. Standardized Operation of Live Inspection for GIS Equipment; China Electric Power Press: Beijing, China, 2017. [Google Scholar]
- Li, S.; Li, D.; Zhang, C.; Wan, J.; Xie, M. RGB-D Image Processing Algorithm for Target Recognition and Pose Estimation of Visual Servo System. Sensors 2020, 20, 430. [Google Scholar] [CrossRef] [PubMed]
- Capolei, M.C.; Andersen, N.A.; Lund, H.H.; Falotico, E.; Tolu, S. A Cerebellar Internal Models Control Architecture for Online Sensorimotor Adaptation of a Humanoid Robot Acting in a Dynamic Environment. IEEE Robot. Autom. Lett. 2020, 5, 80–87. [Google Scholar] [CrossRef]
- Han, N.; Ren, X.; Zheng, D. Visual Servoing Control of Robotics with A Neural Network Estimator Based on Spectral Adaptive Law. IEEE Trans. Ind. Electron. 2023, 70, 12586–12595. [Google Scholar] [CrossRef]
- Hao, T.; Xu, D.; Qin, F. Image-Based Visual Servoing for Position Alignment with Orthogonal Binocular Vision. IEEE Trans. Instrum. Meas. 2023, 72, 1–10. [Google Scholar] [CrossRef]
- Ma, M.; Qian, R.; Wang, W. Vision-based Adaptive Tracking Control of a Mobile Robot: Algorithms and Experimental Validation. In Proceedings of the 2022 34th Chinese Control and Decision Conference (CCDC), Hefei, China, 15–17 August 2022; pp. 5732–5737. [Google Scholar]
- Hu, K.; Tao, J.; Wu, G.; Zeng, P. A Study of Automatic Positioning Control Based on Vision Servo Control. In Proceedings of the 2023 35th Chinese Control and Decision Conference (CCDC), Yichang, China, 20–22 May 2023; pp. 4389–4393. [Google Scholar]
- Fried, J.; Lizarralde, F.; Leite, A.C. Adaptive Image-based Visual Servoing with Time-varying Learning Rates for Uncertain Robot Manipulators. In Proceedings of the 2022 American Control Conference (ACC), Atlanta, GA, USA, 8–10 June 2022; pp. 3838–3843. [Google Scholar]
- DL/T 555-2021; Standardized Operation for Live-Line Inspection of GIS Equipment. China Electricity Council (CEC): Beijing, China, 2021.
- Obana, Y.; Huang, Q. Study about Variable Adjustment Rule of AC Servo Motor Using Simple Adaptive Control. In Proceedings of the 2018 15th International Conference on Control, Automation, Robotics and Vision (ICARCV), Singapore, 18–21 November 2018; pp. 644–649. [Google Scholar]
- Chen, J.; Jia, B.; Zhang, K. Trifocal Tensor-Based Adaptive Visual Trajectory Tracking Control of Mobile Robots. IEEE Trans. Cybern. 2017, 47, 3784–3798. [Google Scholar] [CrossRef] [PubMed]
- Shao, Z.; Zhang, J. Vision-Based Adaptive Trajectory Tracking Control of Wheeled Mobile Robot with Unknown Translational External Parameters. IEEE ASME Trans. Mechatron. 2024, 29, 358–365. [Google Scholar] [CrossRef]
- Taylor, G.; Kleeman, L. Hybrid Position-Based Visual Servoing with Online Calibration for a Humanoid Robot. In Proceedings of the 2004 IEEE/RSJ International Conference on Intelligent Robots and Systems (IROS), Sendai, Japan, 28 September–2 October 2004; pp. 686–691. [Google Scholar]
- Cai, C.; Dean-Leon, E.; Mendoza, D.; Somani, N.; Knoll, A. Uncalibrated 3D Stereo Image-Based Dynamic Visual Servoing for Robot Manipulators. In Proceedings of the 2013 IEEE/RSJ International Conference on Intelligent Robots and Systems, Tokyo, Japan, 3–7 November 2013; pp. 63–70. [Google Scholar]
- Liang, X.; Wang, H.; Liu, Y.H.; You, B.; Liu, Z.; Jing, Z.; Chen, W. Fully Uncalibrated Image-Based Visual Servoing of 2DOFs Planar Manipulators with a Fixed Camera. IEEE Trans. Cybern. 2022, 52, 10895–10908. [Google Scholar] [CrossRef] [PubMed]
- Kermorgant, O.; Chaumette, F. Dealing with constraints in sensor-based robot control. IEEE Trans. Robot. 2013, 30, 244–257. [Google Scholar] [CrossRef]
- Cheng, M.; Li, D.; Zhou, N.; Tang, H.; Wang, G.; Li, S.; Bhatti, U.A.; Khan, M.K. Vision-Motion Codesign for Low-Level Trajectory Generation in Visual Servoing Systems. IEEE Trans. Instrum. Meas. 2023, 72, 1–14. [Google Scholar] [CrossRef]
- Han, L.; Zhang, Y.; Wang, H. Hybrid Adaptive Vision-Force Control Under the Bottleneck Constraint. IEEE Trans. Control Syst. Technol. 2023, 31, 382–393. [Google Scholar] [CrossRef]
- Ilyushin, Y.V.; Novozhilov, I.M. Software implementation of a pulse regulator of a distributed control object. In Proceedings of the IEEE II International Conference on Control in Technical Systems (CTS), St. Petersburg, Russia, 25–27 October 2017; pp. 315–317. [Google Scholar]





| Performance Metrics | Fixed Gain Group (Control Group) | Adaptive Gain Group (Experimental Group) | Performance Enhancement |
|---|---|---|---|
| Average number of iterations to convergence | 550 | 250 | 54.5% |
| Single-point alignment time (s) | 11 | 5 | 54.5% |
| End-speed oscillation amplitude (%) | ±15 | ±5 | 66.7% |
| Maximum Contact Force (N) | 1.2 | 0.6 | 50.0% |
| Positioning Accuracy (mm) | ±1.5 | ±0.8 | 46.7% |
| Feature Point Tracking Loss Rate (%) | >30 | <10 | >66.7% |
| Standard Deviation of Single Positioning Error (mm) | ±0.3 | ±0.1 | - |
| Control Method | Convergence Time (s) | Positioning Accuracy (mm) | Tracking Success Rate Under Electromagnetic Interference (%) | Single-Frame Computation Time (ms) |
|---|---|---|---|---|
| Fixed Gain IBVS (as referenced in this document) | 11 | 70 | 10 | |
| Neural Network Adaptation [12] | 8 | 85 | 45 | |
| Sliding Mode Control Adaptive [23] | 9 | 88 | 35 | |
| This paper’s MPC adaptive | 5 | 92 | 17 |
| Item | Manual Inspection | Proposed System | Key Advantage |
|---|---|---|---|
| Total Hardware Investment | - | $11,000 | One-time reasonable investment |
| Unit Bay Inspection Cost | $110 | $20 | 82% cost reduction |
| Annual Maintenance Cost | $730 | $170 | 77% maintenance savings |
| Investment Payback Period | - | 1.8 years | Rapid cost recovery |
Disclaimer/Publisher’s Note: The statements, opinions and data contained in all publications are solely those of the individual author(s) and contributor(s) and not of MDPI and/or the editor(s). MDPI and/or the editor(s) disclaim responsibility for any injury to people or property resulting from any ideas, methods, instructions or products referred to in the content. |
© 2025 by the authors. Licensee MDPI, Basel, Switzerland. This article is an open access article distributed under the terms and conditions of the Creative Commons Attribution (CC BY) license (https://creativecommons.org/licenses/by/4.0/).
Share and Cite
Luo, Y.; Zhang, Z.; Xie, Y. Adaptive Visual Servo Control for GIS Partial Discharge Detection Robots: A Model Predictive Control Approach. Energies 2025, 18, 6365. https://doi.org/10.3390/en18236365
Luo Y, Zhang Z, Xie Y. Adaptive Visual Servo Control for GIS Partial Discharge Detection Robots: A Model Predictive Control Approach. Energies. 2025; 18(23):6365. https://doi.org/10.3390/en18236365
Chicago/Turabian StyleLuo, Yongchao, Zifan Zhang, and Yingxi Xie. 2025. "Adaptive Visual Servo Control for GIS Partial Discharge Detection Robots: A Model Predictive Control Approach" Energies 18, no. 23: 6365. https://doi.org/10.3390/en18236365
APA StyleLuo, Y., Zhang, Z., & Xie, Y. (2025). Adaptive Visual Servo Control for GIS Partial Discharge Detection Robots: A Model Predictive Control Approach. Energies, 18(23), 6365. https://doi.org/10.3390/en18236365

