Gas Pipeline Leak Detection by Integrating Dynamic Modeling and Machine Learning Under the Transient State
Abstract
1. Introduction
2. Methodology
2.1. Leak Calculation Model
2.2. CWT (Continuous Wavelet Transform)
- (1)
- The total area under the curve of the function is zero:
- (2)
- The total area of is finite:
2.3. Machine Learning Model and Evaluation Methods
2.3.1. GoogLeNet
- (1)
- 1 × 1 Convolution: GoogLeNet uses 1 × 1 convolutions to reduce the number of feature maps, which in turn decreases the computational load, allowing the network to become deeper.
- (2)
- Inception Module: This structure introduces a neural network within the main neural network, enabling the extraction of a wider variety of features.
- (3)
- Average Pooling: For the fully connected layers, GoogLeNet uses average pooling, which creates a one-dimensional vector by averaging each feature map. This significantly reduces the number of learnable parameters.
- (4)
- Auxiliary Classifier: To address the vanishing gradient problem, which can occur in deeper networks, GoogLeNet includes two auxiliary classifiers to help with gradient flow during backpropagation.
2.3.2. SqueezeNet
2.3.3. Evaluation Methods
- (1)
- Precision is the ratio of true positives to the total number of predicted positives (Equation (14)).
- (2)
- Recall is the ratio of true positives to the total number of actual positives (Equation (15)).
2.4. Flowchart of Transient Leak Detection System Development Process
3. Results and Discussion
3.1. Model Construction and Leak Simulation
3.2. Data Acquisition and Preprocessing
3.3. CWT Analysis
3.4. Convolution Neural Network Training and Evaluation
3.5. Accuracy Improvement
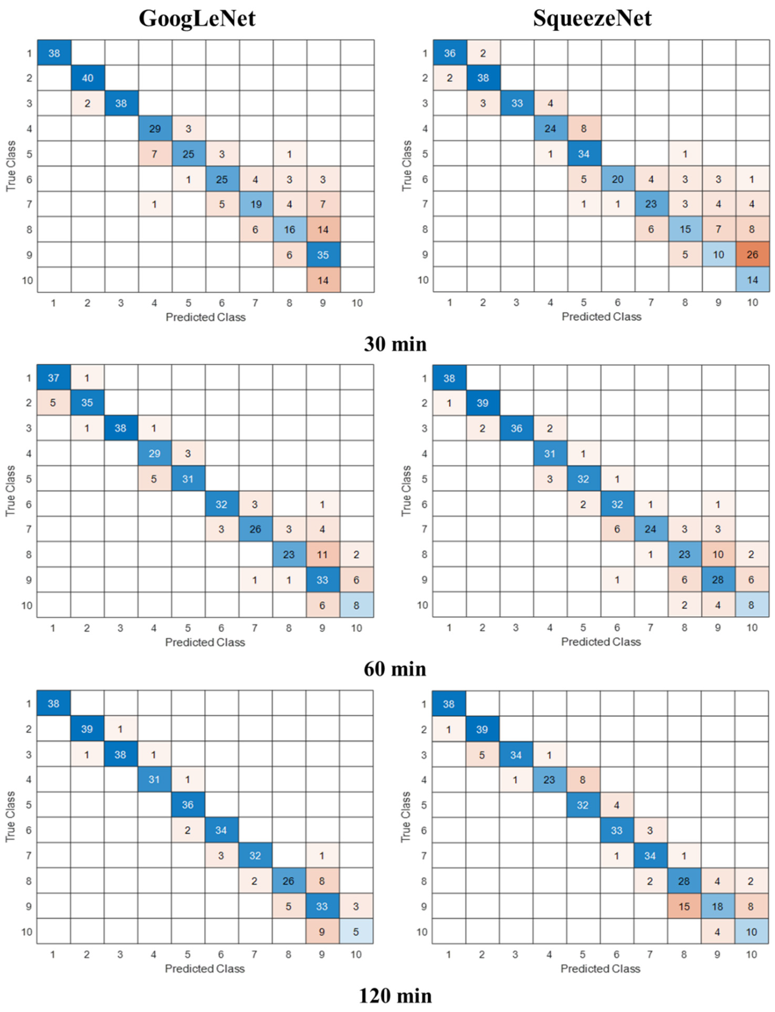
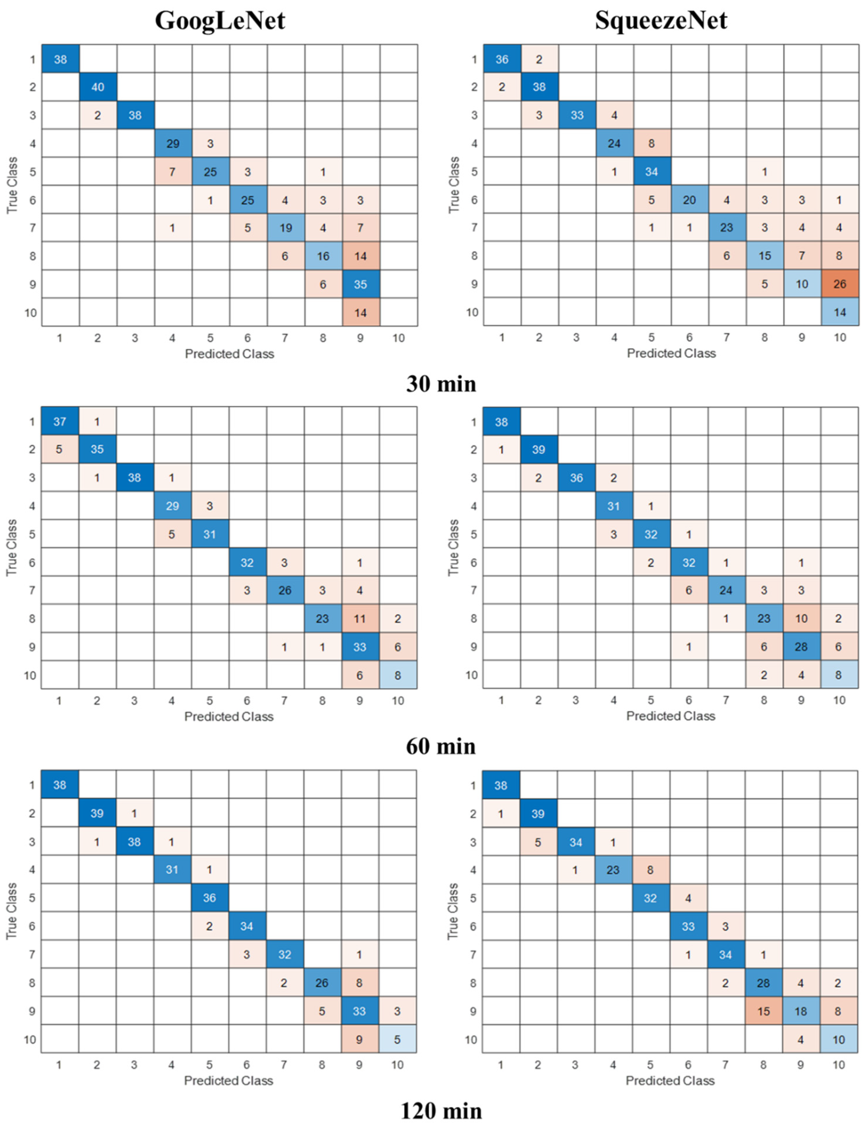
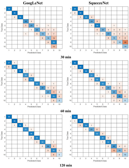
3.5.1. Data Acquisition Time Adjustment
3.5.2. Learning Data Screening
3.6. Possible Extensions of the Study
4. Conclusions
Author Contributions
Funding
Data Availability Statement
Acknowledgments
Conflicts of Interest
References
- Capelle, J.; Gilgert, J.; Dmytrakh, I.; Pluvinage, G. Sensitivity of pipelines with steel API X52 to hydrogen embrittlement. Int. J. Hydrogen Energy 2008, 33, 7630–7641. [Google Scholar] [CrossRef]
- labidine Messaoudani, Z.; Rigas, F.; Hamid, M.D.B.; Hassan, C.R.C. Hazards, safety and knowledge gaps on hydrogen transmission via natural gas grid: A critical review. Int. J. Hydrogen Energy 2016, 41, 17511–17525. [Google Scholar] [CrossRef]
- Chae, M.J.; Kim, J.H.; Moon, B.; Park, S.; Lee, Y.S. The present condition and outlook for hydrogen-natural gas blending technology. Korean J. Chem. Eng. 2022, 39, 251–262. [Google Scholar] [CrossRef]
- Mahajan, D.; Tan, K.; Venkatesh, T.; Kileti, P.; Clayton, C.R. Hydrogen blending in gas pipeline networks—A review. Energies 2022, 15, 3582. [Google Scholar] [CrossRef]
- European Industrial Gases Association, Hydrogen Pipeline Systems. Available online: https://www.eiga.eu/uploads/documents/DOC121.pdf (accessed on 10 October 2024).
- Veziro, T.; Barbir, F. Hydrogen: The wonder fuel. Int. J. Hydrogen Energy 1992, 17, 391–404. [Google Scholar] [CrossRef]
- Subani, N.; Amin, N.; Agaie, B.G. Hydrogen-natural gas mixture leak detection using reduced order modelling. Appl. Comput. Math. 2015, 4, 10. [Google Scholar] [CrossRef]
- Edelstein, K.; FracTracker Alliance. Latest Oil and Gas Incidents in the Gulf of Mexico; FracTracker Alliance: Johnstown, PA, USA, 2014; Available online: https://www.fractracker.org/2014/11/latest-incident-gulf-of-mexico/ (accessed on 12 August 2024).
- Adegboye, M.A.; Fung, W.-K.; Karnik, A. Recent advances in pipeline monitoring and oil leakage detection technologies: Principles and approaches. Sensors 2019, 19, 2548. [Google Scholar] [CrossRef] [PubMed]
- Jiang, R.; Jiang, Y. Leak Detection and Localization of Gas Pipeline Network Based on a Steady State Model. In Proceedings of the 2014 Seventh International Symposium on Computational Intelligence and Design, Hangzhou, China, 13–14 December 2014; IEEE: Piscataway, NJ, USA, 2014; pp. 10–13. [Google Scholar]
- Mallat, S. A Wavelet Tour of Signal Processing: The Sparse Way; Academic Press: Cambridge, MA, USA, 2008. [Google Scholar]
- Percival, D. Wavelet Methods for Time Series Analysis; Cambridge University Press: Cambridge, UK, 2000. [Google Scholar]
- Koza, J.R.; Bennett, F.H.; Andre, D.; Keane, M.A. Automated design of both the topology and sizing of analog electrical circuits using genetic programming. In Artificial Intelligence in Design’96; Springer: Dordrecht, The Netherlands, 1996; pp. 151–170. [Google Scholar]
- Song, Y.; Li, S. Gas leak detection in galvanised steel pipe with internal flow noise using convolutional neural network. Process Saf. Environ. Prot. 2021, 146, 736–744. [Google Scholar] [CrossRef]
- Rashid, S.; Akram, U.; Khan, S.A. WML: Wireless sensor network based machine learning for leakage detection and size estimation. Procedia Comput. Sci. 2015, 63, 171–176. [Google Scholar] [CrossRef][Green Version]
- Zhou, X.; Tang, Z.; Xu, W.; Meng, F.; Chu, X.; Xin, K.; Fu, G. Deep learning identifies accurate burst locations in water distribution networks. Water Res. 2019, 166, 115058. [Google Scholar] [CrossRef] [PubMed]
- Afebu, K.; Abbas, A.J.; Nasr, G.G.; Kadir, A. Integrated Leak Detection in Gas Pipelines Using OLGA Simulator and Artificial Neural Networks. In Proceedings of the Abu Dhabi International Petroleum Exhibition and Conference, Abu Dhabi, United Arab Emirates, 9–12 November 2015; SPE: Bellingham, DC, USA, 2015; p. D011S016R007. [Google Scholar]
- Xu, W.; Huang, J.; Sun, L.; Yao, Y.; Zhu, F.; Xie, Y.; Zhang, M. An Improved Convolutional Neural Network for Pipe Leakage Identification Based on Acoustic Emission. J. Mar. Sci. Eng. 2024, 12, 1720. [Google Scholar] [CrossRef]
- Zha, W.; Liu, Y.; Wan, Y.; Luo, R.; Li, D.; Yang, S.; Xu, Y. Forecasting monthly gas field production based on the CNN-LSTM model. Energy 2022, 260, 124889. [Google Scholar] [CrossRef]
- Chen, J.; Wu, H.; Liu, X.; Xiao, Y.; Wang, M.; Yang, M.; Rao, Y. A real-time distributed deep learning approach for intelligent event recognition in long distance pipeline monitoring with DOFS. In Proceedings of the 2018 International Conference on Cyber-Enabled Distributed Computing and Knowledge Discovery (CyberC), Zhengzhou, China, 18–20 October 2018; IEEE: Piscataway, NJ, USA, 2018; pp. 290–2906. [Google Scholar]
- Dinis, J.; Wojtanowicz, A.; Scott, S. Leak detection in liquid subsea flowlines with no recorded feed rate. J. Energy Resour. Technol. 1999, 121, 161–166. [Google Scholar] [CrossRef]
- Potter, M.C.; Wiggert, D.C.; Ramadan, B.H. Mechanics of Fluids SI Version; Cengage Learning: Boston, MA, USA, 2012. [Google Scholar]
- Rioul, O.; Duhamel, P. Fast algorithms for discrete and continuous wavelet transforms. IEEE Trans. Inf. Theory 1992, 38, 569–586. [Google Scholar] [CrossRef]
- Bertrand, J.; Bertrand, P.; Ovarlez, J.P. Discrete Mellin transform for signal analysis. In Proceedings of the International Conference on Acoustics, Speech, and Signal Processing, Albuquerque, NM, USA, 3–6 April 1990; IEEE: Piscataway, NJ, USA, 1990; pp. 1603–1606. [Google Scholar]
- Flandrin, P. Some aspects of non-stationary signal processing with emphasis on time-frequency and time-scale methods. In Wavelets: Time-Frequency Methods and Phase Space; Springer: Berlin/Heidelberg, Germany, 1989; pp. 68–98. [Google Scholar]
- Goupillaud, P.; Grossmann, A.; Morlet, J. Cycle-octave and related transforms in seismic signal analysis. Geoexploration 1984, 23, 85–102. [Google Scholar] [CrossRef]
- Salomon, D.; Motta, G. Handbook of Data Compression; Springer Science & Business Media: Berlin/Heidelberg, Germany, 2010. [Google Scholar]
- Guan, L.; Du, Y.; Li, L. Wavelets in petroleum industry: Past, present and future. In Proceedings of the SPE Annual Technical Conference and Exhibition, Houston, TX, USA, 26–29 September 2004; SPE: Bellingham, DC, USA, 2004; p. SPE-89952-MS. [Google Scholar]
- Szegedy, C.; Liu, W.; Jia, Y.; Sermanet, P.; Reed, S.; Anguelov, D.; Erhan, D.; Vanhoucke, V.; Rabinovich, A. Going deeper with convolutions. In Proceedings of the IEEE Conference on Computer Vision and Pattern Recognition, Boston, MA, USA, 7–12 June 2015; IEEE: Piscataway, NJ, USA, 2015; pp. 1–9. [Google Scholar]
- Iandola, F.N. SqueezeNet: AlexNet-level accuracy with 50x fewer parameters and <0.5 MB model size. arXiv 2016, arXiv:1602.07360. [Google Scholar]
- Mejia, A.H.; Brouwer, J.; Mac Kinnon, M. Hydrogen leaks at the same rate as natural gas in typical low-pressure gas infrastructure. Int. J. Hydrogen Energy 2020, 45, 8810–8826. [Google Scholar] [CrossRef]
- Kim, J.; Chae, M.; Han, J.; Park, S.; Lee, Y. The development of leak detection model in subsea gas pipeline using machine learning. J. Nat. Gas Sci. Eng. 2021, 94, 104134. [Google Scholar] [CrossRef]




















| Components | Values |
|---|---|
| Fluid | CH4 + H2 (blending) |
| Pipe material | steel, coating |
| Pipe inner diameter (cm) | 91.44 |
| Pipe length (km) | 188 |
| Number of sections (ea) | 194 |
| Size of sections (m) | ≤1000 |
| Inlet pressure (bara) | 96.5 |
| Outlet pressure (bara) | 55 |
| Inlet and outlet temperature (°C) | 20 |
| Flow rate (kg/s) | 286.57 |
| Target Mass Rate (kg/s) | Methane Mole Percent (%) | Hydrogen Mole Percent (%) | ||
|---|---|---|---|---|
| 286.57 | 90 | 10 | ||
| Min | Max | Interval size | Number of cases | |
| Leak size (cm) | 1 | 10 | 1 | 10 |
| Leak location (km) | 0 | 188 | ≤1 | 194 |
| Parameters | Values |
|---|---|
| Number of images | 1940 |
| Size of input image | 224 × 224 × 3 |
| Output layer node | 10 |
| Number of hidden layers | 144 |
| Pooling layer | Max pooling |
| Activation function | ReLU |
| Evaluation | Accuracy (%) Confusion matrix |
| Hyperparameter | Value Ranges | |
|---|---|---|
| GoogLeNet | SqueezeNet | |
| Learning rate | 0.001–0.0001 | |
| 0.0001 | 0.0001 | |
| Leak size batch size | 3–100 | |
| 7 | 3 | |
| Leak size epoch | 10–100 | |
| 30 | 20 | |
| Leak location batch size | 3–100 | |
| 3 | 3 | |
| Leak location epoch | 10–100 | |
| 20 | 20 | |
| Leak size accuracy | 90.26% | 85.13% |
| Leak location accuracy | 78.60% | 70.62% |
| Data Acquisition Time (min) | Detection Type | GoogLeNet Accuracy | SqueezeNet Accuracy |
|---|---|---|---|
| 15 min | Leak size | 64.10% | 48.21% |
| 30 min | Leak size | 88.21% | 87.18% |
| 60 min | Leak size | 90.26% | 85.13% |
| Data Acquisition Time (min) | Detection Type | GoogLeNet Accuracy | SqueezeNet Accuracy |
| 30 min | Leak location | 68.30% | 61.60% |
| 60 min | Leak location | 78.60% | 70.62% |
| 120 min | Leak location | 83.25% | 78.61% |
| Data Acquisition Time (min) | CNN Model | Initial Leak Size | Data Acquisition Time (min) |
|---|---|---|---|
| 15 min | GoogLeNet | 68.30% | 75.93% |
| SqueezeNet | 61.60% | 70.77% | |
| 30 min | GoogLeNet | 78.60% | 83.67% |
| SqueezeNet | 70.62% | 83.38% | |
| 60 min | GoogLeNet | 83.25% | 89.68% |
| SqueezeNet | 78.61% | 82.81% |
Disclaimer/Publisher’s Note: The statements, opinions and data contained in all publications are solely those of the individual author(s) and contributor(s) and not of MDPI and/or the editor(s). MDPI and/or the editor(s) disclaim responsibility for any injury to people or property resulting from any ideas, methods, instructions or products referred to in the content. |
© 2024 by the authors. Licensee MDPI, Basel, Switzerland. This article is an open access article distributed under the terms and conditions of the Creative Commons Attribution (CC BY) license (https://creativecommons.org/licenses/by/4.0/).
Share and Cite
Kim, J.; Han, S.; Kim, D.; Lee, Y. Gas Pipeline Leak Detection by Integrating Dynamic Modeling and Machine Learning Under the Transient State. Energies 2024, 17, 5517. https://doi.org/10.3390/en17215517
Kim J, Han S, Kim D, Lee Y. Gas Pipeline Leak Detection by Integrating Dynamic Modeling and Machine Learning Under the Transient State. Energies. 2024; 17(21):5517. https://doi.org/10.3390/en17215517
Chicago/Turabian StyleKim, Juhyun, Sunlee Han, Daehee Kim, and Youngsoo Lee. 2024. "Gas Pipeline Leak Detection by Integrating Dynamic Modeling and Machine Learning Under the Transient State" Energies 17, no. 21: 5517. https://doi.org/10.3390/en17215517
APA StyleKim, J., Han, S., Kim, D., & Lee, Y. (2024). Gas Pipeline Leak Detection by Integrating Dynamic Modeling and Machine Learning Under the Transient State. Energies, 17(21), 5517. https://doi.org/10.3390/en17215517

