Next Article in Journal
Decoupling Analysis of Energy-Related Carbon Dioxide Emissions from Economic Growth in Poland
Next Article in Special Issue
Adaptive Hamiltonian-Based Energy Control with Built-In Integrator for PEMFC Hybrid Power Conversion Architecture
Previous Article in Journal
Energy Performance Comparison of a Chiller Plant Using the Conventional Staging and the Co-Design Approach in the Early Design Phase of Hotel Buildings
 
 
Font Type:
Arial Georgia Verdana
Font Size:
Aa Aa Aa
Line Spacing:
Column Width:
Background:
Article

Design Principles and Calculation Criteria for Skewed Notches in PM Motors

1
School of Marine Science and Technology, Northwestern Polytechnic University, Xi’an 710072, China
2
No. 38 Research Institute of China Electronics Technology Group Corporation (CETC), Hefei 230028, China
*
Author to whom correspondence should be addressed.
Energies 2023, 16(9), 3783; https://doi.org/10.3390/en16093783
Submission received: 15 March 2023 / Revised: 20 April 2023 / Accepted: 27 April 2023 / Published: 28 April 2023
(This article belongs to the Special Issue Studies of Microgrids for Electrified Transportation)

Abstract

The stator structure is one of the main factors affecting the electromagnetic performance of permanent magnet (PM) motors. In this paper, an in-depth study and analysis of how to reduce the cogging torque is carried out from the perspective of the stator structure. According to the theory of cogging torque synthesis, this paper presents a unified calculation formula for different PM motor skewed notch designs. This theory is verified with a 20-pole, 60-slot motor and a 20-pole, 24-slot motor, respectively. The formula worked out proved to be highly applicable. The formula is intended to address how to quickly obtain key data (skew angle, notch depth) in a skewed notch study.

1. Introduction

Permanent magnet brushless motors offer the advantages of high efficiency, high power factor and high torque density. They are therefore widely used in many high-performance applications in various fields. The cogging torque of a machine can lead to torque fluctuations and speed fluctuations, as well as to machine noise and vibration [1].
The stator structure type is the main factor affecting the electromagnetic performance of PM motors. Stator structure analysis is important for improving the performance of PM motors. Properly designed stator structures can effectively reduce torque ripple and improve the reliability, quietness and low speed control performance of PM motors. The presence of cogging torque is a problem that cannot be ignored in PM motor design [2], and is one of the main factors causing electromagnetic torque fluctuations and noise in PM motors [3]. The study of how to reduce the cogging torque from the stator design perspective has been one of the key research directions for PM motors. In addition, the stator structure can have a decisive influence on the fault-tolerant and reliable performance of underwater propulsion motors.
Fractional Slot Concentrated Winding (FSCW) has been widely used in recent years to improve the fault tolerance of motors [4,5,6]. Compared to the traditional distributed end winding with overlapping and crossed windings, it can significantly improve the torque density, efficiency and reliability of the motor [7,8,9,10]. In this paper, the new skewed notch design will be studied and analyzed in depth from the perspective of stator structure research, based on cogging torque analysis.
The reduction of the cogging torque can be achieved in two ways. The first is by optimizing the design of the machine itself, e.g., through pole arc optimization, rotor/stator skew and rotor tooth pairs [11,12]. The second is by later adjusting the excitation current input to the stator to counteract the cogging torque [13]. While the latter requires accurate current excitation and relies heavily on the reliability and accuracy of the sensor, the former is a fundamentally reliable and effective solution to the problem.
Rotor/stator skew design is a common approach for reducing torque ripple and cogging torque. The basic idea behind skewing is to influence the interaction between rotor magnet and stator space [14], and skewing can be achieved on either magnets or slots. Considering the processing costs, skewed slots are a more economical option. The article [14] analyses different rotor pole designs, using an IPM motor as an example. The results show that the best technique for reducing the cogging torque of this motor is the rotor pole tilting technique. In addition, these papers [15,16,17] show the excellent advantages of the rotor/stator skew slot design for the reduction of cogging torque, through experiments on several machines. The depth and width of the slots affect the slot torque effect, and therefore need to be chosen carefully.
In article [18], it is shown that a rotor notching of the right width can reduce the cogging torque by approximately 13%, using a three-phase 12/10 pole twin rotor PM machine.
The study in article [19] demonstrates that the cogging torques decrease inversely with the skew angle, using a six-pole, nine-slot IPM machine as the model. Although the article also examines in detail the design formula for this six-pole, nine-slot IPM, the formula is only available for that particular machine. The articles [20,21] are similar to the above research in that they only examine the formulae in detail for a particular machine. The formulae provided in these studies are of low generalizability and are not conducive to specialized analysis by others in the industry who wish to conduct similar studies.
Most of the current research on skewed notches appears as individual examples of optimized machines, and the above studies only point out that there is a correlation between the data (percentage reduction in cogging torque and notch width/depth/skew angle); no clear functional relationship is pointed out. This does not facilitate other scholars being able to quickly engineer research in this area. The research in this paper is an attempt to address this issue and provide a simple and effective unifying formula for scholars who wish to conduct similar research on skew notches.
In this paper, the principles of skewed notch design will be studied and discussed in depth. As a result, for the first time, a unified calculation formula and research criteria for the skewed notch design of PM motor slots are given.
This paper will be divided into the following three sections to describe the work. The first part is the background to the work. In this section, the reasons for the approach provided in this paper being normalized are presented through a collation of different skewed notch designs and a description of the core theory ‘cogging torque synthesis’. Different skewed notch/slot designs can be studied and layered using this theory and can be considered as one and the same design method. The second section is more specific, expressing the practical application of ‘cogging torque synthesis’ through formulae that ultimately lead to a general formula that can be applied to skewed notch designs. In the third part, a validation exercise is carried out using two different machines.

2. Background to the Skewed Notch Study Methodology

For conventional permanent magnet motors, several common two-dimensional stator slot structures for reducing cogging torque are shown in Figure 1. Containing unequal slot widths, notch width optimization, notch offsets and top assisted slots, the 2D stator slot structures can be used to calculate slot torque using 2D finite element methods.
In addition to the two-dimensional stator slot structure, there are also more commonly used methods of reducing cogging torque such as stator slots and pole offset, which are more widely used in conventional distributed winding motors. Stator slots and pole offset are used to reduce cogging torque by deflecting the armature punch or permanent magnet by a certain angle in the circumferential direction. The position of the windings in the magnetic field differs for each layer of the air gap along the axial direction. Reference [22] states that measures such as skewed stator slots and pole deflection reduce the average torque of the motor, and reference [23] states that skewed stator slots complicate the structure of the motor, increase leakage flux and reduce output torque, especially for concentrated winding motors with a small number of teeth per pole.
The article demonstrated that while skewed stator slots and offset poles can reduce cogging torque, they also affect the air-gap magnetic density harmonic distribution and lead to distortions in the back-EMF [24].
The skewed stator slot and stator notching are developments of the usual straight stator slot structure. As shown in Figure 2, the skewed stator slot design is a layer of stator punches evenly rotated to place the winding coil teeth so that slots are deflected by a specific angle to form the skewed slot and skewed notch. The magnetic poles and the slot structure act in different directions in the axial direction, which effectively reduces the cogging torque by clipping the air-gap magnetic density harmonics of the motor.
Accompanying the skewed slot in the stator is the inclination of the winding coil. This not only makes machining more difficult, but also significantly reduces the output torque. The skewed stator slot method studied in this paper is different in that it only changes the notch position of each layer, and the slot where the armature winding is placed remains straight, causing no skew in the spatial position of the winding and having minimal impact on the main magnetic field and electromagnetic torque performance. An early study on skewed slot design was carried out in article [23]. The stator axis was divided into three layers, and the relationship between the cogging torque and the notch skew angle of the first layer and of the third layer was investigated, and the optimal combination of offset angles was obtained using a response surface model and genetic algorithm search, which was able to reduce the cogging torque by about 77%. In article [25], a combined optimization method for reducing the cogging torque of a PM brushless DC motor was investigated, using the skewed notch angle and the pole arc coefficient as optimization parameters. However, the existing studies on skewed slot design have mainly used the optimization offset angle of the agent model, without an in-depth study of the principles of skewed slot design. The model calculation is complicated, and there is no unified calculation formula or common standard for different PM motor skewed notch designs.
Experimental and simulation studies on cogging torque have found that cogging torque has a superposition effect and that the total cogging torque can be obtained by adding up the cogging torque generated by each slot, which is called cogging torque synthesis theory [26,27]. Based on the cogging torque synthesis theory, there have been many studies on skewed notch methods [28]. The skewed notch method corresponds to a combination of axial multilayer and notch offset. With the help of the slot synthesis theory and the axial multilayer superposition law, a method for reducing cogging torque with skewed notch can be studied.

3. Principles of the Skewed Notch Method

PM motors with large inner diameters and flat structures often have large cogging torques, which are not conducive to stable torque output and affect the vibration and noise performance of underwater propulsion. A 20-pole, 60-slot underwater propulsion permanent magnet motor with a large inner diameter, short aspect ratio and flat structure was used as an example to study the theory of cogging torque synthesis and the rule of layered superposition. The main dimensional parameters of the motor model are shown in Table 1.
The number of periods of change of the cogging torque N s is the least common multiple of the number of motor poles 2p and the number of slots Z. The mechanical angle of the cogging torque period is:
θ T c o g = 2 π N s
The available research [23] on the theory of cogging torque synthesis shows that, regardless of the distribution of the slots, the total cogging torque of a permanent magnet motor can be essentially equated to the superposition of the cogging torque effect when each slot is present individually. It is assumed that the cogging torque due to the first slot is expressed in the form of a Fourier series.
T s c _ 1 = i = 1 T s c i sin 2 p i α
where T s c i is the Fourier coefficient and α is the relative position angle of the stator to the rotor. If all slots are of the same width, the cogging torque generated by the j t h slot can be expressed as:
T s c _ j = i = 1 T s c i sin 2 p i α + ϕ j
where ϕ j is the mechanical angle between the j t h slot and the first slot. If the slots are evenly distributed, each slot corresponds to an angle of 2 π Z , and the angle between the j t h slot and the first slot is ϕ j = 2 π Z j 1 . The total cogging torque of the motor can be expressed as:
T A l l = j = 1 Z i = 1 T s c i sin 2 p i α + ϕ j
The number of slots in a group is determined by grouping the adjacent slots that differ from the rotor’s phase position, with different groups of slots producing the same magnitude and phase of slot torque, with k = N s 2 p , and number of groups m = 2 p × Z / N s .
Taking a 20-pole, 60-slot motor as an example, the static magnetic density distribution of the single-group slot and the complete motor and the corresponding cogging torque are shown in Figure 3. From the calculated cogging torque of the model, it can be seen that the cogging torque generated by the single group of slots is in the same phase as the cogging torque of the complete motor, and the total cogging torque is approximately 20 times greater than that generated by the single group of slots, verifying the correctness of the cogging torque superposition theory and notch grouping.
The motor cogging torque can be equated to the cumulative torque applied to each layer of the stator notch, i.e., the rule of cogging torque superposition in layers. If the stator is divided into Kl layers along the axial direction, the total cogging torque of the motor can be expressed as:
T A l l _ K l = l = 1 K l j = 1 Z i = 1 T s c i sin 2 p i α + ϕ j
Based on the axial layering rule of cogging torque and cogging torque synthesis theory, to analyze the skewed notch principle the stator armature can be divided into N layers in the axial direction, and each skewed slot can be regarded as a straight slot in each layer, only deflected by a certain angle in the circumferential direction, as shown in Figure 4. Neglecting the interaction forces between the layers, the slot positions are equivalently positioned to obtain the equivalent structure of the skewed notch method, as shown in Figure 5. Taking the axial division with three layers as an example, the skewed notch can be equated to offset notches under ideal conditions, with notch lengths of L1 and L2, respectively. Through structural analysis and equivalent structure study, the offset notch does not change the structure of the main magnetic circuit compared to the stator skewed slot structure. Through the above analysis, it can be found that the offset notch can be approximated as a notch structure in principle, and in terms of cogging torque synthesis theory and the optimum deflection angle for notch it can be quantified on the basis of the analysis of axial layered superposition rule and the related research on notch deflection to reduce cogging torque.
When axial stratification is not considered and the number of stator units in the motor is represented by m, Equation (4) can be expressed as:
T A l l = m j = 1 k i = 1 T s c i sin 2 p i α + ϕ j
Bringing in equation ϕ j = 2 π Z j 1 , and deforming it, we can obtain:
T A l l = m n = 1 k T s c i sin N s n α n = 1 , 2 , 3 ,
If the motor is layered axially and the reduction of a certain harmonic of the cogging torque is achieved by the relative offset angle β of the two adjacent layers of the Kl layer, the above equation can be transformed into:
T A l l _ K l = m K l l = 1 K l n = 1 k T s c i sin N s n α + l β n = 1 , 2 , 3 ,
Further deformation gives:
T A l l _ K l = m K l n = 1 k T s c i sin N s n β K l 2 sin N s n β 2 sin N s n α + K l 1 2 β n = 1 , 2 , 3 ,
If it is desired to eliminate the n t h harmonic, it is necessary to make the numerator term sin N s n β K l 2 = 0 and the denominator term sin N s n β 2 0 . This gives the formula for the notch offset angle as:
β n = 2 π N s n K l   ,   K l 2

4. Verification and Discussion

To verify the analysis of the skewed notch method given in this paper, the simulation is then carried out with a 20-pole, 60-slot motor and a 20-pole, 24-slot motor. For a 20-pole, 60-slot motor, N s = 60 and the number of slots per group is k = N s 2 p = 3 , when the axis is divided into three layers, for K l = 3, to eliminate the first harmonic of the cogging torque. The notch skew angle β 1 = 2° according to Equations (3)–(10). To eliminate the second harmonic of the cogging torque, the skewed notch angle is β 2 = 1°, and the skewed notch method is shown in Table 2.
For 20-pole, 24-slot motors, N s = 120 and the number of slots per group is k = N s 2 p = 6 . When the axis is divided into three layers, for K l = 3, to eliminate the first harmonic of the cogging torque, the notch skew angle β 1 = 1° according to Equations (3)–(10). To eliminate the second harmonic of the cogging torque, the skewed notch angle is β 2 = 0.5°; the skewed notch method is shown in Table 3.
Ignoring the stator slot restrictions on notch position, Figure 6a shows a comparison of the motor cogging torque waveforms for a 20-pole, 60-slot motor with a standard notch distribution and with the skewed notch method. It can be seen that by using this method to reduce the first harmonic waveform, the peak cogging torque is reduced by approximately 80.7% and the period is reduced to approximately one third of the original. Using the slot tilting method, the axes are divided into three layers, each offset by 1°. The elimination of the second harmonic reduces the peak cogging torque by approximately 52.3% with no change in period. Figure 6b shows a comparison of the motor cogging torque waveforms for a 20-pole, 24-slot motor with a standard distribution of notches and with the skewed notch method. It can be seen that the cogging torque is largely eliminated by using the skewed notch method to reduce the first harmonic method. After the elimination of the second harmonic using the skewed notch method, the peak value of cogging torque is reduced by approximately 35.8% with no change in period.
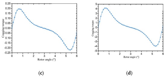
Figure 6c,d show the results of harmonic analysis of the cogging torque waveforms for the two motor models using the skewed slot design. It can be seen that the target harmonics in the cogging torque are significantly weakened by the layered skewed slot, without bringing about a significant increase in the amplitude of harmonics of other orders, and without introducing new harmonic components while reducing the harmonics of the specific order of the cogging torque.
Considering the limitation of the offset position of each layer of notch, for a 20-pole, 60-slot motor the mechanical angle occupied by each slot is only 6°, and for the model in this paper, the slots can only be offset by 1° in layers to eliminate the second harmonic. For a 20-pole, 24-slot motor, the mechanical angle occupied by a single slot is 15°, and all the offset angles in Table 3 can be achieved. The skewed notch method proposed in this paper is more suitable for concentrated winding motors with a small number of slots and a wide range of offset angles, which results in a more pronounced reduction of the cogging torque. It is found that the skewed notch design is very effective in reducing cogging torque and is very suitable for concentrated winding motors with a small number of slots and for stators with new materials. The skewed notch design parameters include the number of layers, notch skewing angle and notch width, which can be optimized in combination with the permanent magnet rotor design parameters to achieve a better reduction in cogging torque.

5. Conclusions

This paper focuses on the influence of the stator structure of PM motors on the performance of the motors. Through the stator structure design, the cogging torque is reduced, the electromagnetic torque is increased, the torque fluctuation is reduced, and the fault tolerance of the motors is enhanced, laying a theoretical foundation for improving the performance of the motors in terms of output torque, vibration and noise, processing performance and reliability.
Based on the existing research on skewed notch design, this paper presents an in-depth study on the principle of skewed notch design and gives the first unified calculation formula and general standard for a skewed notch design of permanent magnet motors, and validates the calculation formula β n = 2 π N s n K l   ,   K l 2 . The skewed notch design reduces the specific order harmonics of the cogging torque without introducing new harmonic components, thus achieving a very good reduction in cogging torque. The skewed notch design is suitable for concentrated winding motors with a small number of slots. The main parameters of the skewed notch design are the number of layers, the notch skew angle and the notch width.
The equations derived in this paper have been validated on two different machines and have been shown to be effective. As a conclusion, a general formula is provided that can be used to quickly determine the skew angle and slot depth in the skew notch design.

Author Contributions

Conceptualization, S.J.; methodology, S.J.; software, Y.L.; data curation, S.J.; writing—original draft, S.J.; writing—review & editing, H.O.; validation, W.T.; supervision, W.T.; investigation, S.J.; formal analysis, S.J. All authors have read and agreed to the published version of the manuscript.

Funding

This research received no external funding.

Data Availability Statement

Data sharing not applicable. No new data were created or analyzed in this study. Data sharing is not applicable to this article.

Conflicts of Interest

The authors declare no conflict of interest.

References

  1. Jia, H.; Cheng, M.; Hua, W.; Zhao, W.; Li, W. Torque Ripple Suppression in Flux-Switching PM Motor by Harmonic Current Injection Based on Voltage Space-Vector Modulation. IEEE Trans. Magn. 2010, 46, 1527–1530. [Google Scholar] [CrossRef]
  2. Abbaszadeh, K.; Rezaee Alam, F.; Saied, S.A. Cogging torque optimization in surface-mounted permanent-magnet motors by using design of experiment. Energy Convers. Manag. 2011, 52, 3075–3082. [Google Scholar] [CrossRef]
  3. Islam, R.; Husain, I. Analytical Model for Predicting Noise and Vibration in Permanent-Magnet Synchronous Motors. IEEE Trans. Ind. Appl. 2010, 46, 2346–2354. [Google Scholar] [CrossRef]
  4. Li, Y.X.; Zhu, Z.Q.; Thomas, A.S.; Wu, Z.Y.; Wu, X.M. Novel Modular Fractional Slot Permanent Magnet Machines with Redundant Teeth. IEEE Trans. Magn. 2019, 55, 1–10. [Google Scholar] [CrossRef]
  5. Liu, G.; Zhai, F.; Chen, Q.; Xu, G. Torque Pulsation Reduction in Fractional-Slot Concentrated-Windings IPM Motors by Lowering Sub-Harmonics. IEEE Trans. Energy Convers. 2019, 34, 2084–2095. [Google Scholar] [CrossRef]
  6. Li, G.J.; Zhu, Z.Q.; Chu, W.Q.; Foster, M.P.; Stone, D.A. Influence of Flux Gaps on Electromagnetic Performance of Novel Modular PM Machines. IEEE Trans. Energy Convers. 2014, 29, 716–726. [Google Scholar] [CrossRef]
  7. Sun, K.; Tian, S. Multiobjective Optimization of IPMSM With FSCW Applying Rotor Notch Design for Torque Performance Improvement. IEEE Trans. Magn. 2022, 58, 1–9. [Google Scholar] [CrossRef]
  8. Zhou, C.; Huang, X.; Li, Z.; Cao, W. Design Consideration of Fractional Slot Concentrated Winding Interior Permanent Magnet Synchronous Motor for EV and HEV Applications. IEEE Access 2021, 9, 64116–64126. [Google Scholar] [CrossRef]
  9. Zhao, W.; Zhu, S.; Ji, J.; Liu, G.; Mao, Y. Analysis and Reduction of Electromagnetic Vibration in Fractional-Slot Concentrated-Windings PM Machines. IEEE Trans. Ind. Electron. 2022, 69, 3357–3367. [Google Scholar] [CrossRef]
  10. Zhao, B.; Gong, J.; Tong, T.; Xu, Y.; Semail, E.; Nguyen, N.-K.; Gillon, F. A Novel Five-Phase Fractional Slot Concentrated Winding with Low Space Harmonic Contents. IEEE Trans. Magn. 2021, 57, 1–5. [Google Scholar] [CrossRef]
  11. Bianchi, N.; Bolognani, S. Design techniques for reducing the cogging torque in surface-mounted PM motors. IEEE Trans. Ind. Appl. 2002, 38, 1259–1265. [Google Scholar] [CrossRef]
  12. Gong, Y.; Chau, K.T.; Jiang, J.Z.; Yu, C.; Li, W. Design of Doubly Salient Permanent Magnet Motors with Minimum Torque Ripple. IEEE Trans. Magn. 2009, 45, 4704–4707. [Google Scholar] [CrossRef]
  13. Lee, G.-H.; Kim, S.-I.; Hong, J.-P.; Bahn, J.-H. Torque Ripple Reduction of Interior Permanent Magnet Synchronous Motor Using Harmonic Injected Current. IEEE Trans. Magn. 2008, 44, 1582–1585. [Google Scholar] [CrossRef]
  14. Sulaiman, E.; Romalan, G.M.; Halim, N.A. Skewing and notching configurations for torque pulsation minimization in spoke-type interior permanent magnet motors. In Proceedings of the 2016 International Conference on Control, Electronics, Renewable Energy and Communications (ICCEREC), Bandung, Indonesia, 13–15 September 2016; pp. 202–207. [Google Scholar] [CrossRef]
  15. Perianayagam, C.A.; Krishnakumar, V.; Dhanushvarma, R. Stator Notching Design of Permanent Magnet Brushless DC Motor to Mitigate the Cogging Torque. In Proceedings of the 2020 IEEE International Conference on Power Electronics, Drives and Energy Systems (PEDES), Jaipur, India, 16–19 December 2020; pp. 1–6. [Google Scholar] [CrossRef]
  16. An Innovative Semi-FEA Based, Variable Magnet-Step-Skew to Minimize Cogging Torque and Torque Pulsations in Permanent Magnet Synchronous Motors |IEEE Journals & Magazine| IEEE Xplore. Available online: https://ieeexplore.ieee.org/document/9260156 (accessed on 3 April 2023).
  17. Boduroglu, A.; Gulec, M.; Demir, Y.; Yolacan, E.; Aydin, M. A New Asymmetric Planar V-Shaped Magnet Arrangement for A Linear PM Synchronous Motor. IEEE Trans. Magn. 2019, 55, 1–5. [Google Scholar] [CrossRef]
  18. Hao, L.; Lin, M.; Xu, D.; Zhang, W.; Li, N. Rotor design techniques for reducing the cogging torque in a novel dual-rotor axial field flux-switching permanent magnet machine. In Proceedings of the 2014 17th International Conference on Electrical Machines and Systems (ICEMS), Hangzhou, China, 22–25 October 2014; pp. 1581–1586. [Google Scholar] [CrossRef]
  19. Park, K.; Lee, J.H.; Kim, Y.-J.; Jung, S.-Y. A novel torque ripple reduction method for IPMSM using asymmetric notch lamination design. In Proceedings of the 2016 19th International Conference on Electrical Machines and Systems (ICEMS), Chiba, Japan, 13–16 November 2016; pp. 1–4. [Google Scholar] [CrossRef]
  20. Du, Z.S.; Lipo, T.A. Torque Ripple Minimization in Interior Permanent Magnet Machines Using Axial Pole Shaping. In Proceedings of the 2018 IEEE Energy Conversion Congress and Exposition (ECCE), Portland, OR, USA, 23–27 September 2018; pp. 6922–6929. [Google Scholar] [CrossRef]
  21. Wang, Y.; Zhao, W.; Yu, M.; Yang, Y.; Kwon, B. Design and Optimization of a Novel Dual-Stator Flux-Switching Permanent Magnet Machine. In Proceedings of the 2020 IEEE 3rd Student Conference on Electrical Machines and Systems (SCEMS), Jinan, China, 4–6 December 2020; pp. 89–93. [Google Scholar] [CrossRef]
  22. Grcar, B.; Cafuta, P.; Stumberger, G.; Stankovic, A.M. Control-based reduction of pulsating torque for PMAC machines. IEEE Trans. Energy Convers. 2002, 17, 169–175. [Google Scholar] [CrossRef]
  23. Abbaszadeh, K.; Rezaee Alam, F.; Teshnehlab, M. Slot opening optimization of surface mounted permanent magnet motor for cogging torque reduction. Energy Convers. Manag. 2012, 55, 108–115. [Google Scholar] [CrossRef]
  24. Wang, X.; Jia, X. Optimization for the Slot Opening to Reduce Cogging Torque in High-Power BLDC in Electric Vehicles. Trans. China Electrotech. Soc. 2013, 287, 40–45. [Google Scholar]
  25. Song, B.; Li, Y.; Chen, B. New method for reducing cogging torque in brushless DC motors for integrated motor propulsion. J. Xian Jiaotong Univ. 2016, 505, 151–156. [Google Scholar]
  26. Zhu, Z.Q.; Ruangsinchaiwanich, S.; Ishak, D.; Howe, D. Analysis of cogging torque in brushless Machines having nonuniformly distributed stator slots and stepped rotor magnets. IEEE Trans. Magn. 2005, 41, 3910–3912. [Google Scholar] [CrossRef]
  27. Huang, S.; Liu, T.; Ouyang, H.; Gao, J. Notch shifting based cogging torque weakening method for permanent magnet motor gears. Electr. J. Eng. Technol. 2013, 28, 99–106. [Google Scholar]
  28. Liu, T. Study on the Weakening Method of Tooth Slot Torque of Surface-Mounted Permanent Magnet Synchronous Motor; Hunan University: Changsha, China, 2012. [Google Scholar]
Figure 1. Common structures for reducing cogging torque. ① Standard slot, ② top assisted slots, ③ unequal slot width, ④ offset of slot.
Figure 1. Common structures for reducing cogging torque. ① Standard slot, ② top assisted slots, ③ unequal slot width, ④ offset of slot.
Energies 16 03783 g001
Figure 2. Stator skewed notch design.
Figure 2. Stator skewed notch design.
Energies 16 03783 g002
Figure 3. Static magnetic density distribution of a single-slot motor model (a) versus a complete motor model (b). Cogging torque of a single-slot motor model (c) versus a complete motor model (d).
Figure 3. Static magnetic density distribution of a single-slot motor model (a) versus a complete motor model (b). Cogging torque of a single-slot motor model (c) versus a complete motor model (d).
Energies 16 03783 g003aEnergies 16 03783 g003b
Figure 4. Notch position per layer.
Figure 4. Notch position per layer.
Energies 16 03783 g004
Figure 5. Equivalent structure for notch distribution.
Figure 5. Equivalent structure for notch distribution.
Energies 16 03783 g005
Figure 6. (a) Comparison of cogging torque of 20-pole, 60-slot motors. (b) Comparison of cogging torque of 20-pole, 24-slot motors. (c) Cogging torque harmonic analysis of 20-pole, 60-slot motor. (d) Cogging torque harmonic analysis of 20-pole, 24-slot motor.
Figure 6. (a) Comparison of cogging torque of 20-pole, 60-slot motors. (b) Comparison of cogging torque of 20-pole, 24-slot motors. (c) Cogging torque harmonic analysis of 20-pole, 60-slot motor. (d) Cogging torque harmonic analysis of 20-pole, 24-slot motor.
Energies 16 03783 g006aEnergies 16 03783 g006b
Table 1. Main dimensional parameters of the motor model.
Table 1. Main dimensional parameters of the motor model.
Main ParametersValueMain ParametersValue
Stator inner diameter (mm)324Rotor outer diameter (mm)319
Stator armature length(mm)39Rotor yoke inner diameter (mm)300
Pole pairs10Rotor yoke outer diameter (mm)312
Slots60PM thickness (mm)3.5
Airgap (mm)2.5Rotor tightening sleeve thickness (mm)0.25
Table 2. The 20-pole 60-slot motor notch skew angle.
Table 2. The 20-pole 60-slot motor notch skew angle.
Axial LayeringSkewed Notch Angle (Elimination of 1st Harmonic)Skewed Notch Angle (Elimination of 2nd Harmonic)
1
2
3
Table 3. The 20-pole, 24-slot motor notch skew angle.
Table 3. The 20-pole, 24-slot motor notch skew angle.
Axial LayeringSkewed Notch Angle (Elimination of 1st Harmonic)Skewed Notch Angle (Elimination of 2nd Harmonic)
10.5°
2
30.5°
Disclaimer/Publisher’s Note: The statements, opinions and data contained in all publications are solely those of the individual author(s) and contributor(s) and not of MDPI and/or the editor(s). MDPI and/or the editor(s) disclaim responsibility for any injury to people or property resulting from any ideas, methods, instructions or products referred to in the content.

Share and Cite

MDPI and ACS Style

Ji, S.; Li, Y.; Ou, H.; Tian, W. Design Principles and Calculation Criteria for Skewed Notches in PM Motors. Energies 2023, 16, 3783. https://doi.org/10.3390/en16093783

AMA Style

Ji S, Li Y, Ou H, Tian W. Design Principles and Calculation Criteria for Skewed Notches in PM Motors. Energies. 2023; 16(9):3783. https://doi.org/10.3390/en16093783

Chicago/Turabian Style

Ji, Siwei, Yukai Li, Huanyu Ou, and Wenlong Tian. 2023. "Design Principles and Calculation Criteria for Skewed Notches in PM Motors" Energies 16, no. 9: 3783. https://doi.org/10.3390/en16093783

APA Style

Ji, S., Li, Y., Ou, H., & Tian, W. (2023). Design Principles and Calculation Criteria for Skewed Notches in PM Motors. Energies, 16(9), 3783. https://doi.org/10.3390/en16093783

Note that from the first issue of 2016, this journal uses article numbers instead of page numbers. See further details here.

Article Metrics

Back to TopTop