Effect of the Density Ratio on Emulsions and Their Segregation: A Direct Numerical Simulation Study
Abstract
1. Introduction
2. Governing Equations and Flow Solver
3. Numerical Setup
3.1. Considered Configurations
3.2. Droplet Detection Algorithm
3.3. Forcing Method and Procedure of the Simulation
4. Effect of Density Ratio on Emulsions
4.1. Emulsification
4.2. Droplet Size Distribution
4.3. Effect on Interface Area and Sauter Mean Diameter
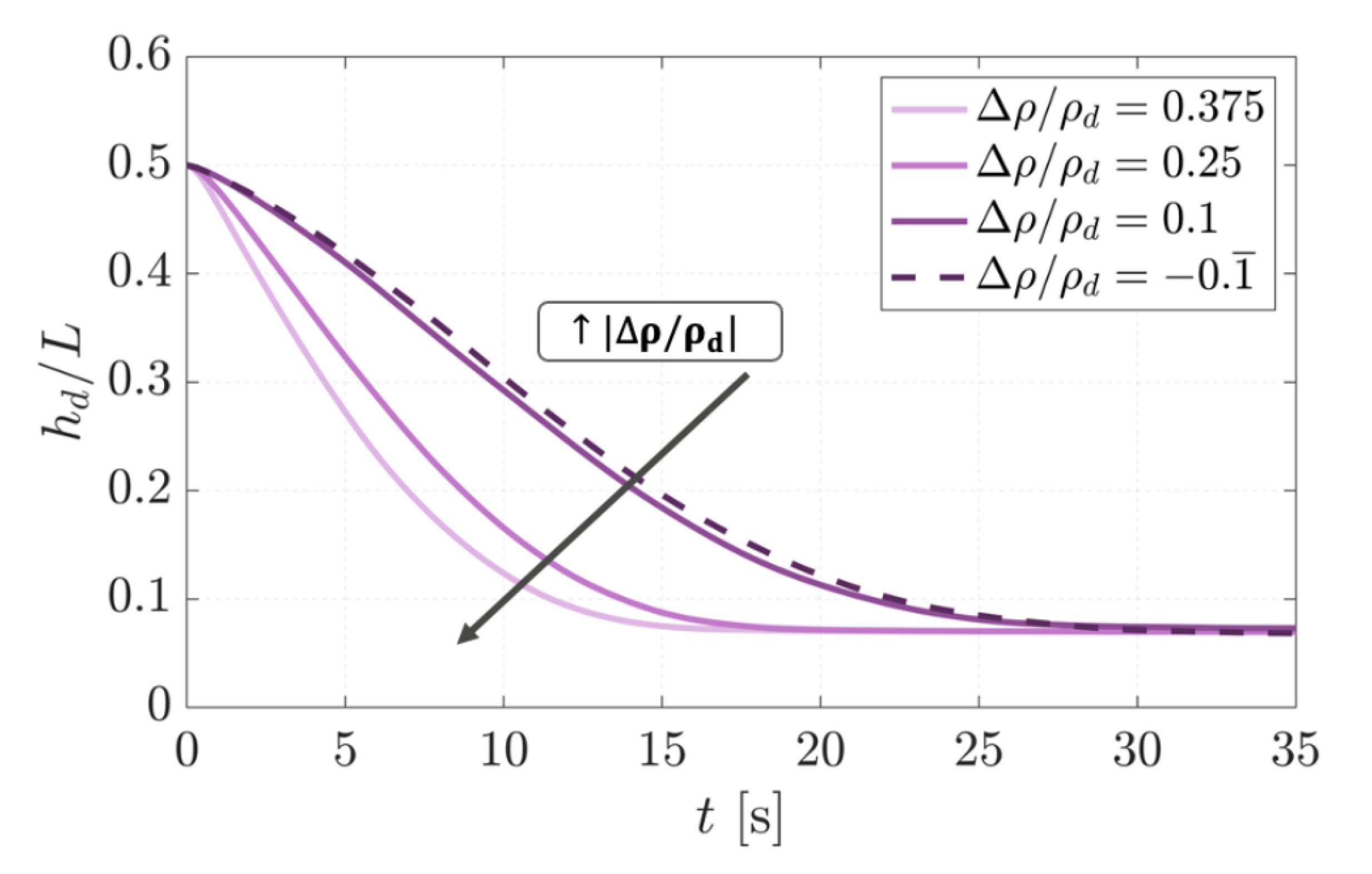
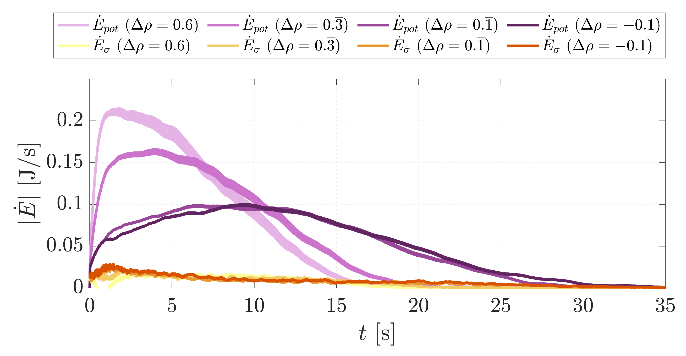
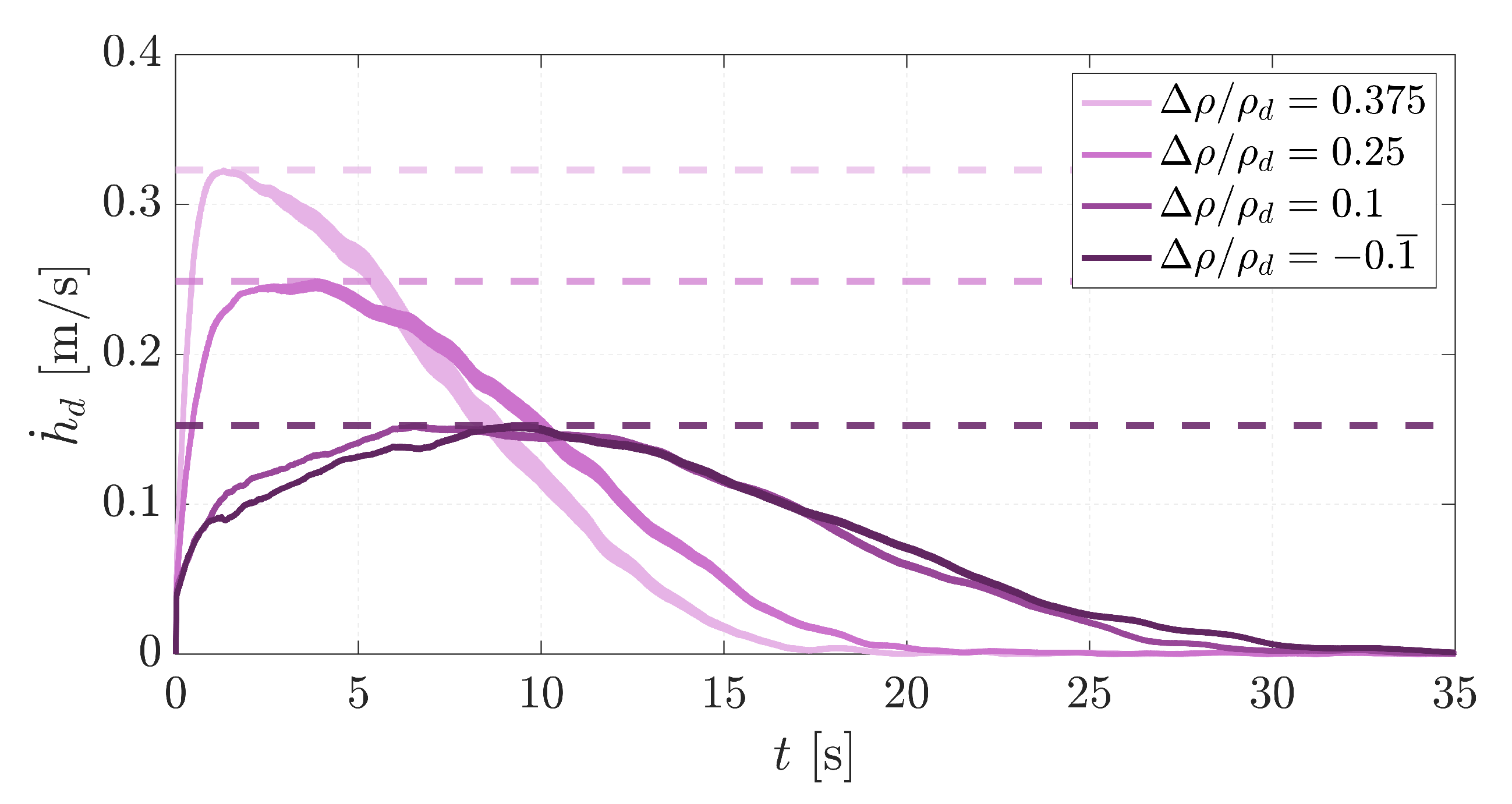
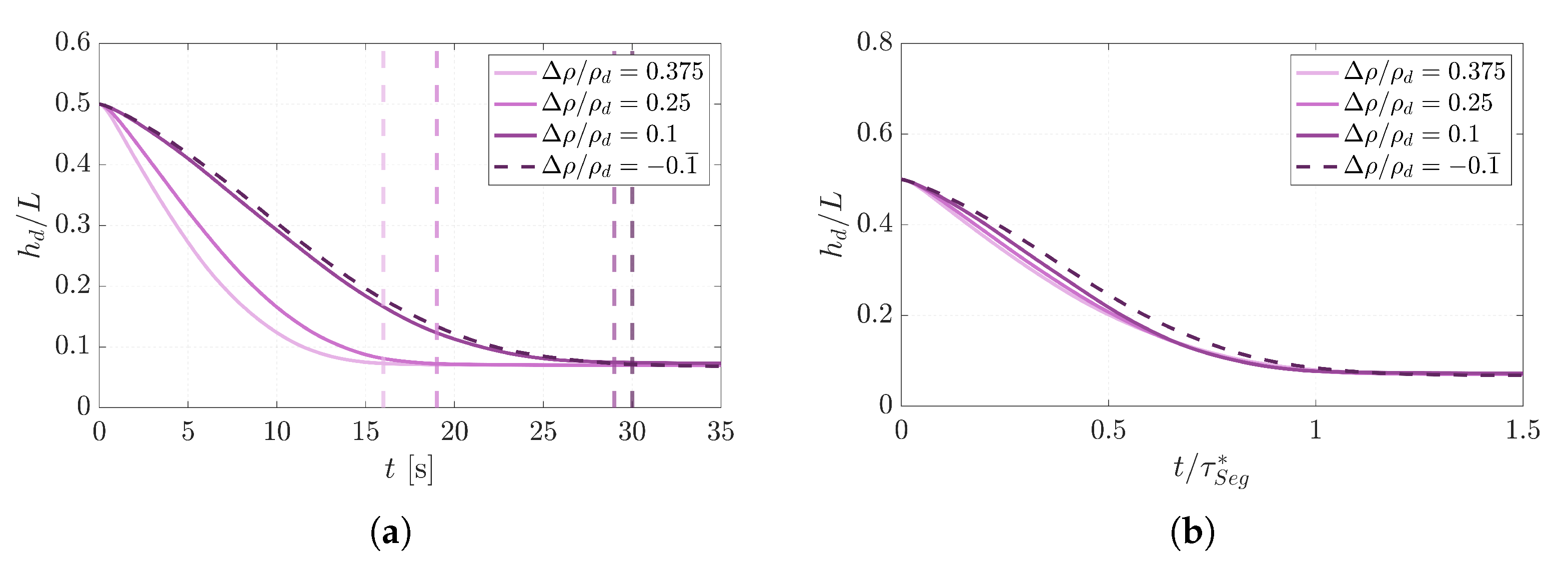
5. Segregation Process
6. Conclusions
Author Contributions
Funding
Data Availability Statement
Acknowledgments
Conflicts of Interest
Abbreviations
| CSF | Continuous surface force |
| CFD | Computational fluid dynamics |
| DNS | Direct numerical simulation |
| GWDI | Gasoline-water direct injection |
| HIT | Homogeneous isotropic turbulence |
| PARIS | Parallel, robust, interface simulator |
| Probability density function | |
| PID | Proportional–integral–derivative (controller) |
| QUICK | Quadratic upstream interpolation for convective kinematics |
| SMD | Sauter mean diameter |
| SOR | Successive over-relaxation |
| TKE | Turbulent kinetic energy |
| VoF | Volume of fluid method |
References
- Spernath, A.; Aserin, A. Microemulsions as carriers for drugs and nutraceuticals. Adv. Colloid Interface Sci. 2006, 128, 47–64. [Google Scholar] [CrossRef] [PubMed]
- Guzey, D.; McClements, D.J. Formation, stability and properties of multilayer emulsions for application in the food industry. Adv. Colloid Interface Sci. 2006, 128, 227–248. [Google Scholar] [CrossRef] [PubMed]
- Angardi, V.; Ettehadi, A.; Yücel, Ö. Critical Review of Emulsion Stability and Characterization Techniques in Oil Processing. J. Energy Resour. Technol. 2022, 144, 040801. [Google Scholar] [CrossRef]
- Wang, Z.; Bai, Y.; Zhang, H.; Liu, Y. Investigation on gelation nucleation kinetics of waxy crude oil emulsions by their thermal behavior. J. Pet. Sci. Eng. 2019, 181, 106230. [Google Scholar] [CrossRef]
- Wang, Z.; Xu, Y.; Khan, N.; Zhu, C.; Gao, Y. Effects of the surfactant, polymer, and crude oil properties on the formation and stabilization of oil-based foam liquid films: Insights from the microscale. J. Mol. Liq. 2023, 373, 121194. [Google Scholar] [CrossRef]
- Heinrich, C.; Dörksen, H.; Esch, A.; Krämer, K. Gasoline water direct injection (GWDI) as a key feature for future gasoline engines. In Proceedings of the International Conference on Knocking in Gasoline Engines, Berlin, Germany, 12–13 December 2017; pp. 322–337. [Google Scholar]
- Deane, G.B.; Stokes, M.D. Scale dependence of bubble creation mechanisms in breaking waves. Nature 2002, 418, 839–844. [Google Scholar] [CrossRef]
- Garrett, C.; Li, M.; Farmer, D. The connection between bubble size spectra and energy dissipation rates in the upper ocean. J. Phys. Oceanogr. 2000, 30, 2163–2171. [Google Scholar] [CrossRef]
- Begemann, A.; Trummler, T.; Trautner, E.; Hasslberger, J.; Klein, M. Effect of turbulence intensity and surface tension on the emulsification process and its stationary state—A numerical study. Can. J. Chem. Eng. 2022, 100, 3548–3561. [Google Scholar] [CrossRef]
- Crialesi-Esposito, M.; Rosti, M.E.; Chibbaro, S.; Brandt, L. Modulation of homogeneous and isotropic turbulence in emulsions. J. Fluid Mech. 2022, 940, A19. [Google Scholar] [CrossRef]
- Pacek, A.; Man, C.; Nienow, A. On the Sauter mean diameter and size distributions in turbulent liquid/liquid dispersions in a stirred vessel. Chem. Eng. Sci. 1998, 53, 2005–2011. [Google Scholar] [CrossRef]
- Kraume, M.; Gäbler, A.; Schulze, K. Influence of physical properties on drop size distribution of stirred liquid-liquid dispersions. CHemical Eng. Technol. Ind. Chem.-Plant Equip.-Process Eng.-Biotechnol. 2004, 27, 330–334. [Google Scholar] [CrossRef]
- Koegl, M.; Mull, C.; Mishra, Y.N.; Will, S.; Zigan, L. Characterization of fuel/water mixtures and emulsions with ethanol using laser-induced fluorescence. Appl. Opt. 2020, 59, 1136–1144. [Google Scholar] [CrossRef] [PubMed]
- Frising, T.; Noïk, C.; Dalmazzone, C. The liquid/liquid sedimentation process: From droplet coalescence to technologically enhanced water/oil emulsion gravity separators: A review. J. Dispers. Sci. Technol. 2006, 27, 1035–1057. [Google Scholar] [CrossRef]
- Trummler, T.; Begemann, A.; Trautner, E.; Klein, M. Numerical investigation of the segregation of turbulent emulsions. Phys. Fluids 2022, 34, 113324. [Google Scholar] [CrossRef]
- Perlekar, P.; Biferale, L.; Sbragaglia, M.; Srivastava, S.; Toschi, F. Droplet size distribution in homogeneous isotropic turbulence. Phys. Fluids 2012, 24, 065101. [Google Scholar] [CrossRef]
- Mukherjee, S.; Safdari, A.; Shardt, O.; Kenjereš, S.; Van den Akker, H.E. Droplet–turbulence interactions and quasi-equilibrium dynamics in turbulent emulsions. J. Fluid Mech. 2019, 878, 221–276. [Google Scholar] [CrossRef]
- Dodd, M.S.; Ferrante, A. On the interaction of Taylor length scale size droplets and isotropic turbulence. J. Fluid Mech. 2016, 806, 356–412. [Google Scholar] [CrossRef]
- Lundgren, T. Linearly Forced Isotropic Turbulence, Annual Research Briefs; Technical report 461; Center for Turbulence Research: Stanford, CA, USA, 2003. [Google Scholar]
- Carroll, P.L.; Blanquart, G. A proposed modification to Lundgren’s physical space velocity forcing method for isotropic turbulence. Phys. Fluids 2013, 25, 105114. [Google Scholar] [CrossRef]
- Shao, C.; Luo, K.; Yang, Y.; Fan, J. Direct numerical simulation of droplet breakup in homogeneous isotropic turbulence: The effect of the Weber number. Int. J. Multiph. Flow 2018, 107, 263–274. [Google Scholar] [CrossRef]
- Skartlien, R.; Sollum, E.; Schumann, H. Droplet size distributions in turbulent emulsions: Breakup criteria and surfactant effects from direct numerical simulations. J. Chem. Phys. 2013, 139, 174901. [Google Scholar] [CrossRef]
- Aniszewski, W.; Arrufat, T.; Crialesi-Esposito, M.; Dabiri, S.; Fuster, D.; Ling, Y.; Lu, J.; Malan, L.; Pal, S.; Scardovelli, R.; et al. Parallel, robust, interface simulator (PARIS). Comput. Phys. Commun. 2021, 263, 107849. [Google Scholar] [CrossRef]
- Prosperetti, A.; Tryggvason, G. Computational Methods for Multiphase Flow; Cambridge University Press: Cambridge, UK, 2009. [Google Scholar]
- Hirt, C.W.; Nichols, B.D. Volume of fluid (VOF) method for the dynamics of free boundaries. J. Comput. Phys. 1981, 39, 201–225. [Google Scholar] [CrossRef]
- Brackbill, J.U.; Kothe, D.B.; Zemach, C. A continuum method for modeling surface tension. J. Comput. Phys. 1992, 100, 335–354. [Google Scholar] [CrossRef]
- Popinet, S. An accurate adaptive solver for surface-tension-driven interfacial flows. J. Comput. Phys. 2009, 228, 5838–5866. [Google Scholar] [CrossRef]
- Leonard, B.P. A stable and accurate convective modelling procedure based on quadratic upstream interpolation. Comput. Methods Appl. Mech. Eng. 1979, 19, 59–98. [Google Scholar] [CrossRef]
- Ling, Y.; Zaleski, S.; Scardovelli, R. Multiscale simulation of atomization with small droplets represented by a Lagrangian point-particle model. Int. J. Multiph. Flow 2015, 76, 122–143. [Google Scholar] [CrossRef]
- Ling, Y.; Fuster, D.; Zaleski, S.; Tryggvason, G. Spray formation in a quasiplanar gas-liquid mixing layer at moderate density ratios: A numerical closeup. Phys. Rev. Fluids 2017, 2, 014005. [Google Scholar] [CrossRef]
- Ketterl, S.; Klein, M. A Band-Width Filtered Forcing Based Generation of Turbulent Inflow Data for Direct Numerical or Large Eddy Simulations and its Application to Primary Breakup of Liquid Jets. Flow Turbul. Combust. 2018, 101, 413–432. [Google Scholar] [CrossRef]
- Hasslberger, J.; Ketterl, S.; Klein, M.; Chakraborty, N. Flow topologies in primary atomization of liquid jets: A direct numerical simulation analysis. J. Fluid Mech. 2019, 859, 819–838. [Google Scholar] [CrossRef]
- Ling, Y.; Fuster, D.; Tryggvason, G.; Zaleski, S. A two-phase mixing layer between parallel gas and liquid streams: Multiphase turbulence statistics and influence of interfacial instability. J. Fluid Mech. 2019, 859, 268–307. [Google Scholar] [CrossRef]
- Crialesi-Esposito, M.; Gonzalez-Montero, L.; Salvador, F. Effects of isotropic and anisotropic turbulent structures over spray atomization in the near field. Int. J. Multiph. Flow 2022, 150, 103891. [Google Scholar] [CrossRef]
- Trautner, E.; Hasslberger, J.; Ketterl, S.; Klein, M. Primary atomization of liquid jets: Identification and investigation of droplets at the instant of their formation using direct numerical simulation. Int. J. Multiph. Flow 2023, 160, 104360. [Google Scholar] [CrossRef]
- Hinze, J.O. Fundamentals of the hydrodynamic mechanism of splitting in dispersion processes. AIChE J. 1955, 1, 289–295. [Google Scholar] [CrossRef]
- Yi, L.; Toschi, F.; Sun, C. Global and local statistics in turbulent emulsions. J. Fluid Mech. 2021, 912, A13. [Google Scholar] [CrossRef]
- Rosales, C.; Meneveau, C. Linear forcing in numerical simulations of isotropic turbulence: Physical space implementations and convergence properties. Phys. Fluids 2005, 17, 095106. [Google Scholar] [CrossRef]
- Pope, S.B. Book review: Turbulent flows. Meas. Sci. Technol. 2001, 12, 2020–2021. [Google Scholar] [CrossRef]
- Wagner, T.; Rottengruber, H.; Beyrau, F.; Dragomirov, P.; Schaub, M. Measurement of a Direct Water-Gasoline-Emulsion-Injection. In Proceedings of the Ilass Europe 28th European Conference on Liquid Atomization and Spray Systems, València, Spain, 6–8 September 2017; pp. 330–338. [Google Scholar]
- Qi, Y.; Masuk, A.U.M.; Ni, R. Towards a model of bubble breakup in turbulence through experimental constraints. Int. J. Multiph. Flow 2020, 132, 103397. [Google Scholar] [CrossRef]
- Levich, V.G. Physicochemical Hydrodynamics, 1st ed.; Prentice-Hall: Englewood Cliffs, NJ, USA, 1962. [Google Scholar]
- Hesketh, R.; Etchells, A.; Russell, T.F. Bubble size in horizontal pipelines. AIChE J. 1987, 33, 663. [Google Scholar] [CrossRef]










| k | L | N | ||||||||||
|---|---|---|---|---|---|---|---|---|---|---|---|---|
| - | kg/m | s | N/m | - | m/s | m/s | - | - | - | m | - | m |
| 1/8 | 1 | 3.27 | 0.006 | 1 | 0.5 | 0.153 | 104 | 726 | 70 | 512 | 0.071 |
| Case | Example | |||
|---|---|---|---|---|
| - | - | kg/m | ||
| Refcase | water-in-gasoline | |||
| Reverse-Low Ratio | 0.9 | oil-in-water | ||
| Low Ratio | water-in-oil | |||
| High Ratio | 1.6 | water-in-pentane |
Disclaimer/Publisher’s Note: The statements, opinions and data contained in all publications are solely those of the individual author(s) and contributor(s) and not of MDPI and/or the editor(s). MDPI and/or the editor(s) disclaim responsibility for any injury to people or property resulting from any ideas, methods, instructions or products referred to in the content. |
© 2023 by the authors. Licensee MDPI, Basel, Switzerland. This article is an open access article distributed under the terms and conditions of the Creative Commons Attribution (CC BY) license (https://creativecommons.org/licenses/by/4.0/).
Share and Cite
Krzeczek, O.; Trummler, T.; Trautner, E.; Klein, M. Effect of the Density Ratio on Emulsions and Their Segregation: A Direct Numerical Simulation Study. Energies 2023, 16, 3160. https://doi.org/10.3390/en16073160
Krzeczek O, Trummler T, Trautner E, Klein M. Effect of the Density Ratio on Emulsions and Their Segregation: A Direct Numerical Simulation Study. Energies. 2023; 16(7):3160. https://doi.org/10.3390/en16073160
Chicago/Turabian StyleKrzeczek, Oscar, Theresa Trummler, Elias Trautner, and Markus Klein. 2023. "Effect of the Density Ratio on Emulsions and Their Segregation: A Direct Numerical Simulation Study" Energies 16, no. 7: 3160. https://doi.org/10.3390/en16073160
APA StyleKrzeczek, O., Trummler, T., Trautner, E., & Klein, M. (2023). Effect of the Density Ratio on Emulsions and Their Segregation: A Direct Numerical Simulation Study. Energies, 16(7), 3160. https://doi.org/10.3390/en16073160

