Experimental Analysis for Determining Potential of Wastewater Sludge Mixed with Degraded Biomass as Substrates for Biogas Production
Abstract
1. Introduction
2. Materials and Methods
- -
- Solid biomass comminution—FRITSCH P16 mill, Idar-Oberstein, Germany;
- -
- Solid biomass moisture content—Heating Oven, BINDER FD 115, Tuttlinger, Germany;
- -
- Solid biomass volatile matter and ash content—Heating Furnace, Nabertherm LE14/11/P300, Lilienthal, Germany;
- -
- Solid biomass calorific value—isoperibol oxygen bomb calorimeter, IKA C6000, Staufen, Germany;
- -
- C, H, N—combustion and thermal conductivity detection, ELEMENTAR Vario MACRO Cube, Ronkonkoma, NY, USA;
- -
- CO2, CH4—DELTA 1600 S-IV, NDIR analyzer, Neckarsulm, Germany.
3. Results and Discussion
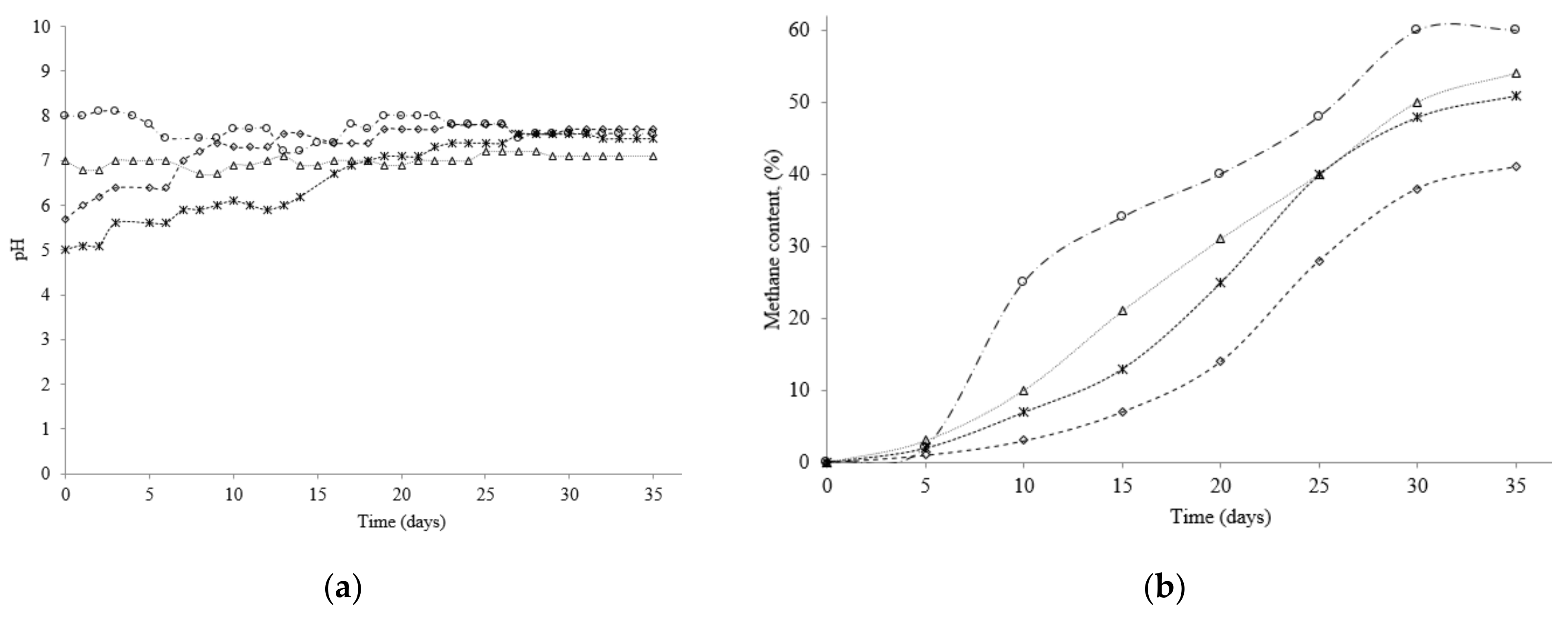
3.1. Small Scale Reactors Biogas Production Tests
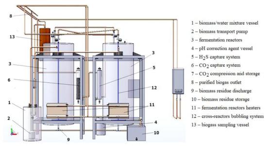
3.2. Large-Scale Reactors Biogas Production Tests Validation
4. Conclusions
Author Contributions
Funding
Data Availability Statement
Conflicts of Interest
References
- Ofoefule, A.U.; Uzodinma, E.O.; Onukwuli, O.D. Comparative study of the effect of different pretreatment methods on biogas yield from water Hyacinth (Eichhornia crassipes). Int. J. Phy. Sci. 2009, 4, 535–539. [Google Scholar]
- Veeken, A.; Kalyuzhnyi, S.; Scharff, H.; Hamelers, B. Effect of pH and VFA on hydrolysis of organic solid waste. J. Environ. Eng. ASCE 2001, 4, 1076–1081. [Google Scholar] [CrossRef]
- Gerardi, M.H. The Microbiology of Anaerobic Digesters; John Wiley & Sons, Inc.: Hoboken, NJ, USA, 2003. [Google Scholar]
- Zinder, S.H. Physiological ecology of methanogenesis. In Methanogenesis: Ecology, Physiology, Biochemistry and Genetics; Ferry, J.G., Ed.; Chapman and Hall: New York, NY, USA, 1993; pp. 128–206. [Google Scholar]
- Ahmad, T.; Zhang, D. A critical review of comparative global historical energy consumption and future demand: The story told so far. Energy Rep. 2020, 6, 1973–1991. [Google Scholar] [CrossRef]
- Milewska, B.; Milewski, D. Implications of Increasing Fuel Costs for Supply Chain Strategy. Energies 2022, 15, 6934. [Google Scholar] [CrossRef]
- Li, W.W.; Yu, H.Q.; He, Z. Towards sustainable wastewater treatment by using microbial fuel cells-centered technologies. Energy Environ. Sci. 2013, 7, 911–924. [Google Scholar] [CrossRef]
- Metcalf, E. Wastewater Engineering. Treatment and Reuse, 4th ed.; McGraw-Hill: New York, NY, USA, 2004. [Google Scholar]
- Chachuat, B.; Roche, N.; Latifi, M.A. Long-term optimal aeration strategies for small-size alternating activated sludge treatment plants. Chem. Eng. Process. Process Intensif. 2005, 44, 591–604. [Google Scholar] [CrossRef]
- Scherbakov, V.; Gogina, E.; Schukina, T.; Kuznetsova, N.; Makisha, N.; Poupyrev, E. Calculation of biogas facilities for recycling of organic sewage sludge of breeding factories. Int. J. App. Eng. Res. 2015, 10, 44353–44356. [Google Scholar]
- Gogina, E.; Gulshin, I. Simultaneous denitrification and nitrification in the lab-scale oxidation ditch with low C/N ratio. Proc. Eng. 2015, 117, 107–113. [Google Scholar]
- Gogina, E.S.; Ruzhitskaya, O.A.; Yantsen, O.V. Investigation of the processes of nitrification and denitrification in wastewater treatment. Adv. Mat. Res. 2014, 919, 2145–2148. [Google Scholar] [CrossRef]
- Gogina, E.; Makisha, N. Information technologies in view of complex solution of waste water problems. Appl. Mech. Mater. 2014, 587, 636–639. [Google Scholar] [CrossRef]
- Kulakov, A.A.; Lebedeva, E.A. Development of Engineering Solutions concerning Modernization of Wastewater Treatment Facilities Based on Technology Simulation. Wat. Treat. 2011, 12, 10–19. [Google Scholar]
- Makisha, N. Waste water and biogas—Ecology and economy. Proc. Eng. 2016, 165, 1092–1097. [Google Scholar] [CrossRef]
- Den, W.; Sharma, V.K.; Lee, M.; Nadadur, G.; Varma, R.S. Lignocellulosic Biomass Transformations via Greener Oxidative Pretreatment Processes: Access to Energy and Value-Added Chemicals. Front. Chem. 2018, 6, 141. [Google Scholar] [CrossRef]
- European Commission. Eur-Lex COM/2018/773, In-depth analysis in support on the COM(2018) 773. In A Clean Planet for All—European Strategic Long-Term Vision for a Prosperous, Modern, Competitive and Climate Neutral Economy; European Commission: Brussels, Belgium, 2018. [Google Scholar]
- Kampman, B.; Leguijt, C.; Scholten, T.; Tallat-Kelpsaite, J.; Brückman, R.; Maroulis, G.; Lesschen, J.P.; Meesters, K.; Sikirica, N.; Elbersen, B. Optimal Use of Biogas from Waste Streams. An Assessment of the Potential of Biogas from Digestion in the EU Beyond 2020; European Commission: Brussels, Belgium, 2017. [Google Scholar]
- Kamperidou, V.; Terzopoulou, P. Anaerobic Digestion of Lignocellulosic Waste Materials. Sustainability 2021, 13, 12810. [Google Scholar] [CrossRef]
- Erisman, J.W.; van Grinsven, H.; Leip, A.; Mosier, A.; Bleeker, A. Nitrogen and biofuels; an overview of the current state of knowledge. Nutr. Cycl. Agroecosyst. 2010, 86, 211–223. [Google Scholar] [CrossRef]
- Wu, Y.; Zhao, F.; Liu, S.; Wang, L.; Qiu, L.; Alexandrov, G.; Jothiprakash, V. Bioenergy production and environmental impacts. Geosci. Lett. 2018, 5, 14. [Google Scholar] [CrossRef]
- Popp, J.; Lakner, Z.; Harangi-Rákos, M.; Fári, M. The effect of bioenergy expansion: Food, energy and environment. Renew. Sustain. Energy Rev. 2014, 32, 559–578. [Google Scholar] [CrossRef]
- Paolini, V.; Petracchini, F.; Segreto, M.; Tomassetti, L.; Naja, N.; Cecinato, A. Environmental impact of biogas: A short review of current knowledge. J. Environ. Sci. Health Part. A Toxic Hazard. Subst. Environ. Eng. 2018, 53, 899–906. [Google Scholar] [CrossRef]
- Pierie, F.; van Someren, C.E.J.; Benders, R.M.J.; Bekkering, J.; van Gemert, W.J.T.; Moll, H.C. Environmental and energy system analysis of bio-methane production pathways: A comparison between feedstocks and process optimizations. Appl. Energy 2015, 160, 456–466. [Google Scholar] [CrossRef]
- Admasu, A.; Bogale, W.; Mekonnen, Y.S. Experimental and simulation analysis of biogas production from beverage wastewater sludge for electricity generation. Sci. Rep. 2022, 12, 9107. [Google Scholar] [CrossRef]
- Murphy, J.D.; Thamsiriroj, T. Fundamental science and engineering of the anaerobic digestion process for biogas production. In The Biogas Handbook. Science, Production and Applications; Wellinger, A., Murphy, J., Baxter, D., Eds.; Series in Energy; Woodhead Publishing: Sawston, UK, 2013; pp. 104–130. [Google Scholar] [CrossRef]
- Khalid, A.; Arshad, M.; Anjum, M.; Mahmood, T.; Dawson, L. The anaerobic digestion of solid organic waste. Waste Manag. 2011, 31, 1737–1744. [Google Scholar] [CrossRef]
- Fytili, D.; Zabaniotou, A. Utilization of sewage sludge in EU application of old and new methods—A review. Renew. Sustain. Energy Rev. 2008, 12, 116–140. [Google Scholar] [CrossRef]
- Oladejo, J.; Shi, K.; Luo, X.; Yang, G.; Wu, T. A review of sludge-to-energy recovery methods. Energies 2019, 12, 60. [Google Scholar] [CrossRef]
- Sreekrishnan, T.R.; Kohli, S.; Rana, V. Enhancement of biogas production from solid substrates using different techniques—A review. Bioresour. Technol. 2004, 95, 1–10. [Google Scholar] [CrossRef]
- Rosenberg, L.; Kornelius, G. Experimental investigation of biogas production from feedlot cattle manure. J. Energy S. Afr. 2017, 28, 1–8. [Google Scholar] [CrossRef]
- Debowski, M.; Zielinki, M. Wastewater Treatment and Biogas Production: Innovative Technologies, Research and Development Directions. Energies 2022, 15, 2122. [Google Scholar] [CrossRef]






| Material | Moisture Content * [%] | Ash Content * [%] | Gross Calorific Value * [J/g] | Net Calorific Value * [%] | Carbon [%] | Hydrogen [%] | Nitrogen [%] | Sulphur * [%] | Chlorine * [%] | Volatile Matter * [%] |
|---|---|---|---|---|---|---|---|---|---|---|
| Corn | 10 | 1.55 | 18,400 | 16,800 | 40.3 | 6.6 | 1.3 | 0.103 | 0.034 | 85.7 |
| Wheat | 9.65 | 5.55 | 19,000 | 17,500 | 41.1 | 6.1 | 2.1 | 0.149 | 0.042 | 78.5 |
| Barley | 10.5 | 2.5 | 18,600 | 17,300 | 40.4 | 6.1 | 1.45 | 0.114 | 0.104 | 82.7 |
| Rye | 10.2 | 1.65 | 18,600 | 17,300 | 40.5 | 6.4 | 1.5 | 0.111 | 0.075 | 84.5 |
| Waste water ** | 5.8 | 36 | 15,000 | 14,100 | 32.1 | 5.1 | 5.1 | 0.51 | 0.11 | 37.7 |
| Corn * | Wheat * | Rye * | Barley * | |
|---|---|---|---|---|
| Biogas [l] | 13.8 | 17.1 | 27.5 | 17.6 |
| Rye * | Barley * | |
|---|---|---|
| Biogas [m3] | 29.058 | 18.097 |
Publisher’s Note: MDPI stays neutral with regard to jurisdictional claims in published maps and institutional affiliations. |
© 2022 by the authors. Licensee MDPI, Basel, Switzerland. This article is an open access article distributed under the terms and conditions of the Creative Commons Attribution (CC BY) license (https://creativecommons.org/licenses/by/4.0/).
Share and Cite
Cioabla, A.E.; Popescu, F.; Bacos, T.B. Experimental Analysis for Determining Potential of Wastewater Sludge Mixed with Degraded Biomass as Substrates for Biogas Production. Energies 2022, 15, 8773. https://doi.org/10.3390/en15228773
Cioabla AE, Popescu F, Bacos TB. Experimental Analysis for Determining Potential of Wastewater Sludge Mixed with Degraded Biomass as Substrates for Biogas Production. Energies. 2022; 15(22):8773. https://doi.org/10.3390/en15228773
Chicago/Turabian StyleCioabla, Adrian Eugen, Francisc Popescu, and Timotei Bogdan Bacos. 2022. "Experimental Analysis for Determining Potential of Wastewater Sludge Mixed with Degraded Biomass as Substrates for Biogas Production" Energies 15, no. 22: 8773. https://doi.org/10.3390/en15228773
APA StyleCioabla, A. E., Popescu, F., & Bacos, T. B. (2022). Experimental Analysis for Determining Potential of Wastewater Sludge Mixed with Degraded Biomass as Substrates for Biogas Production. Energies, 15(22), 8773. https://doi.org/10.3390/en15228773

